DOC문서Chapter 14.doc

닫기

background image

CHAPTER 14

Liquids and Solids

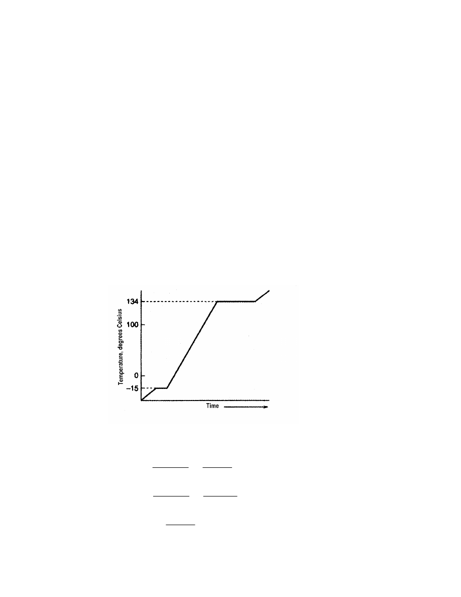
1.

Gases have lower densities than liquids or solids.

2.

Liquids and solids are less compressible than are gases.

3.

Ice floats on liquid water and it could only do that if it were less dense than liquid water. We also 
know that water expands in volume when it freezes, and since the mass of the water does not 
change, if the water expands when it freezes then the density must decrease as the same mass 
becomes dispersed in a larger volume.

4.

Since it requires so much more energy to vaporize water than to melt ice, this suggests that the 
gaseous state is significantly different from the liquid state, but that the liquid and solid state are 
relatively similar.

5.

From –5°C to 0°C, molecules within the solid vibrate faster and faster as the temperature of the 
solid increases; at 0°C (the normal melting point), the solid melts as the heat being applied is used
to break apart the forces between molecules; above 0°C, the molecules within the liquid move 
faster and faster as additional heat is applied.

6.

See Figure 14.2.

7.

Changes in state for molecular solids are physical changes because no chemical bonds are broken 
within molecules.

8.

When a solid is heated, the molecules begin to vibrate/move more quickly. When enough energy 
has been added to overcome the intermolecular forces that hold the molecules in a crystal lattice, 
the solid melts. As the liquid is heated, the molecules begin to move more quickly and more 
randomly. When enough energy has been added, molecules having sufficient kinetic energy will 
begin to escape from the surface of the liquid. Once the pressure of vapor coming from the liquid 
is equal to the pressure above the liquid, the liquid boils. Only intermolecular forces need to be 
overcome in this process: no chemical bonds are broken.

304


background image

Chapter 14:  Liquids and Solids

9.

Intramolecular forces are the forces within a molecule itself (e.g., a covalent bond is an 
intramolecular force). Intermolecular forces are forces between or among different molecules. 
Consider liquid bromine, Br2. Intramolecular forces (a covalent bond) are responsible for the fact 
that bromine atoms form discrete two-atom units (molecules) within the substance. 
Intermolecular forces between adjacent Br2 molecules are responsible for the fact that the 
substance is a liquid at room temperature and pressure.

10.

Intramolecular; intermolecular

11.

In ice, water molecules are in more or less regular, fixed positions in the ice crystal; strong 
hydrogen bonding forces exist within the ice crystal holding the water molecules together. In 
liquid water, enough heat has been applied that the molecules are no longer fixed in position (but 
are more free to roam about in the bulk of the liquid); because the water molecules are still 
relatively close together, strong hydrogen bonding forces still exist, however, which keep the 
liquid together in one place.  In steam, the water molecules possess enough kinetic energy that 
they have escaped from the liquid; because the water molecules are very far apart in steam, and 
because the molecules are moving very quickly, they do not exert any forces on each other (each 
water molecule in steam behaves independently).

12.

The molar heat of fusion of a substance represents the quantity of energy that must be applied to 
melt one mole of the substance.

13.

Heating curve for Substance X:

14.

a.

More energy is required to separate the atoms of the liquid into the freely-moving and 
widely-separated atoms of the vapor/gas.

b.

1 mol Al

293.4 kJ

1.00 g Al   

   

26.98 g Al

1 mol Al

 10.9 kJ

c.

1 mol Al

10.79 kJ

5.00 g Al   

   

26.98 g Al

1 mol Al

 –2.00 kJ (heat is evolved)

d.

10.79 kJ

0.105 mol Al   

1 mol Al

 1.13 kJ

305


background image

Chapter 14:  Liquids and Solids

15.

molar mass C6H6 = 78.11 g

melt: 8.25 g C6H6  

6

6

6

6

6

6

1 mol C H

9.92 kJ

   

78.11 g C H

1 mol C H

 = 1.05 kJ

boil: 8.25 g C6H6  

6

6

6

6

6

6

1 mol C H

30.7 kJ

   

78.11 g C H

1 mol C H

 = 3.24 kJ

More energy is required to overcome the forces holding the molecules together in the liquid state 
(to g) than to just allow the molecules to begin moving (s to l).

16.

molar mass Ag = 107.9 g

melt:  12.5 g Ag  

1 mol Ag

11.3 kJ

   

107.9 g Ag

1 mol Al

 = 1.31 kJ

condense:  4.59 g Ag  

1 mol Ag

250. kJ

   

107.9 g Ag

1 mol Ag

 = –10.6 kJ (heat is evolved)

17.

25.0 g ice (H2O) = 1.39 mol H2O

to melt the solid ice:

1.39 mol H2O  6.02 kJ/mol = 8.35 kJ

37.5 g liquid H2O = 2.08 mol H2O

to vaporize the liquid water:

2.08 mol H2O  40.6 kJ/mol = 84.5 kJ

for H2O going from 0 to 100.C:

Q = 55.2 g H2O  4.18 J/gC × 100C  = 23074 J = 23.1 kJ

18.

The molar heat of fusion of aluminum is the heat required to melt 1 mol.

113 J

22.99 g Na

   

1.00 g Na

1mol Na

 = 2598 J/mol = 2.60 kJ/mol

19.

The molecules would orient with the iodine (+) on one molecule aimed toward the chlorine (–) 
on an adjacent molecule: 

 

20.

Dipole-dipole forces get weaker as the distance between the dipoles increases.

21.

Hydrogen bonding is possible when hydrogen atoms are bonded to highly electronegative atoms 
such as oxygen, nitrogen, or fluorine. The small size of the hydrogen atom allows the dipoles to 
approach each other more closely than with other atoms.

22.

Water molecules are able to form strong hydrogen bonds with each other. These bonds are an 
especially strong form of dipole-dipole forces and are only possible when hydrogen atoms are 
bonded to the most electronegative elements (N, O, and F). The particularly strong intermolecular
forces in H2O require much higher temperatures (higher energies) to be overcome in order to 
permit the liquid to boil. We take the fact that water has a much higher boiling point than the 

306


background image

Chapter 14:  Liquids and Solids

other hydrogen compounds of the Group 6 elements as proof that a special force is at play in 
water (hydrogen bonding).

23.

The magnitude of dipole-dipole interactions is strongly dependent on the distance between the 
dipoles. In the solid and liquid states, the molecular dipoles are quite close together. In the vapor 
phase (gaseous state), however, the molecules are too far apart from one another for dipole-dipole
forces to be very strong.

24.

London dispersion forces are instantaneous dipole forces that arise when the electron cloud of an 
atom is momentarily distorted and induces a dipole in an adjacent molecule, temporarily 
separating the centers of positive and negative charge in the atom.

25.

a.

London dispersion forces (nonpolar molecules)

b.

dipole-dipole forces (polar molecules); London dispersion forces

c.

hydrogen bonding (H bonded to O); London dispersion forces

d.

London dispersion forces (nonpolar molecules)

26.

a.

London dispersion forces (noble gas atoms)

b.

London dispersion forces (nonpolar molecules)

c.

dipole-dipole forces (polar molecules); London dispersion forces

d.

hydrogen bonding (H bonded to O); London dispersion forces

27.

The boiling points increase with an increase in the molar mass of the noble gas. As the noble gas 
atoms increase in size, the valence electrons are farther from the nucleus. At greater distance from
the nucleus, it is easy for another atom’s electrons to momentarily distort the electron cloud of the
noble gas atom. As the size of the noble gas atoms increases, so does the magnitude of the 
London dispersion forces.

28.

An increase in the heat of fusion is observed for an increase in the size of the halogen atom 
involved (the electron cloud of a larger atom is more easily polarized by an approaching dipole, 
thus giving larger London dispersion forces).

29.

Both water and ammonia molecules are capable of hydrogen bonding (H attached to O, and H 
attached to N, respectively). When ammonia gas is first bubbled into a sample of water, the 
ammonia molecules begin to hydrogen bond to the water molecules and to draw the water 
molecules closer together than they would ordinarily because of the increased intermolecular 
forces.

30.

For a homogeneous mixture to be able to form at all, the forces between molecules of the two 
substances being mixed must be at least comparable in magnitude to the intermolecular forces 
within each separate substance. Apparently in the case of a water-ethanol mixture, the forces that 
exist when water and ethanol are mixed are stronger than water-water or ethanol-ethanol forces in
the separate substances. This allows ethanol and water molecules to approach each other more 
closely in the mixture than either substance’s molecules could approach a like molecule in 
separate substances. There is strong hydrogen bonding in both ethanol and water.

31.

Evaporation is when a substance passes from the liquid state to the gaseous state; condensation is 
the reverse of this process; evaporation is endothermic, condensation is exothermic.

307


background image

Chapter 14:  Liquids and Solids

32.

Vapor pressure is the pressure of vapor present at equilibrium above a liquid in a sealed container
at a particular temperature. When a liquid is placed in a closed container, molecules of the liquid 
evaporate freely into the empty space above the liquid. As the number of molecules present in the
vapor state increases with time, vapor molecules begin to rejoin the liquid state (condense). 
Eventually a dynamic equilibrium is reached between evaporation and condensation in which the 
net number of molecules present in the vapor phase becomes constant with time. Since vapor 
pressure increases with temperature, the vapor pressure of the solvent is higher on a warm day.

33.

A dynamic equilibrium exists when two opposite processes are going on at the same speed, so 
there is no net change in the system. When a liquid evaporates into the empty space above it, 
eventually, as more molecules accumulate in the vapor state, condensation will be occurring at 
the same rate as further evaporation. When evaporation and condensation are going on at the 
same rate, a fixed pressure of vapor will have developed, and there will be no further net change 
in the amount of liquid present.

34.

A liquid is injected at the bottom of the column of mercury and rises to the surface of the 
mercury, where the liquid evaporates into the vacuum above the mercury column. As the liquid 
evaporates, the pressure of vapor increases in the space above the mercury, and presses down on 
the mercury. The level of mercury, therefore, drops, and the amount by which the mercury level 
drops (in mm Hg) is equivalent to the vapor pressure of the liquid.

In the picture, the left tube represents a barometera tube of mercury inverted into a dish of 
mercury, with a vacuum above the mercury column: the height of the mercury column represents 
the pressure of the atmosphere. In the remaining 3 tubes, liquids of different volatilities are 
admitted to the bottom of the tube of mercury:  they rise through the mercury and evaporate into 
the vacuum above the column of mercury. As the pressure of vapor builds up above the mercury 
column, the height of the mercury in the tube drops. Note that diethyl ether, (C2H5)2O, shows the 
highest vapor pressure because it is the most volatile of the three liquids.

35.

a.

CH3OH: Both substances are capable of hydrogen bonding, but CH3OH has a much 
smaller molar mass. Everything else being equal, substances with lower molar masses, 
and thus lower London forces, tend to have lower boiling points.

b.

CH3CH3: The CH3CH2OH molecule is capable of hydrogen bonding which provides 
additional forces between molecules. In CH3CH3, only London forces are operating.

c.

CH4: Hydrogen bonding is possible in H2O but not in CH4.

308


background image

Chapter 14:  Liquids and Solids

36.

a.

H2S: H2O exhibits hydrogen bonding, and H2S does not. In general, substances that 
exhibit weaker intermolecular forces are more volatile.

b.

CH3OH: H2O exhibits stronger hydrogen bonding than CH3OH because there are two 
locations where hydrogen bonding is possible on water.

c.

CH3OH: Both are capable of hydrogen bonding, but generally lighter molecules are more 
volatile than heavier molecules.

37.

Hydrogen bonding can occur in both molecules. Oxygen atoms are more electronegative than 
nitrogen atoms, however, and the polarity of the O–H bond is considerably greater than the 
polarity of the N–H bond. This leads to stronger hydrogen bonding in liquid water than in liquid 
NH3.

38.

Both substances have the same molar mass. However, ethyl alcohol contains a hydrogen atom 
directly bonded to an oxygen atom. Therefore, hydrogen bonding can exist in ethyl alcohol, 
whereas only weak dipole-dipole forces can exist in dimethyl ether. Dimethyl ether is more 
volatile; ethyl alcohol has a higher boiling point.

39.

A crystalline solid is a solid with a regular, repeating microscopic arrangement of its components 
(ions, atoms, or molecules). This highly-ordered microscopic arrangement of the components of a
crystalline solid is frequently reflected macroscopically in beautiful, regularly shaped crystals for 
such solids.

40.

Ionic solids have as their fundamental particles positive and negative ions; a simple example is 
sodium chloride, in which Na+ and Cl– ions are held together by strong electrostatic forces.

Molecular solids have molecules as their fundamental particles, with the molecules being held 
together in the crystal by dipole-dipole forces, hydrogen bonding forces, or London dispersion 
forces (depending on the identity of the substance); simple examples of molecular solids include 
ice (H2O) and ordinary table sugar (sucrose).

Atomic solids have simple atoms as their fundamental particles, with the atoms being held 
together in the crystal either by covalent bonding (as in graphite or diamond) or by metallic 
bonding (as in copper or other metals).

41.

The fundamental particles in ionic solids are positive and negative ions. For example, the ionic 
solid sodium chloride consists of an alternating, regular array of Na+ and Cl– ions. Similarly, an 
ionic solid such as CaBr2 consists of a regular array of Ca2+ ions and Br– ions. In ionic crystals, 
each positive ion is surrounded by and attracted to a group of negative ions, and each negative ion
is surrounded by and attracted to a group of positive ions. The fundamental particles in molecular 
solids are discrete molecules. Although the atoms in each molecule are held together by strong 
intramolecular forces (covalent bonds), the intermolecular forces in a molecular solid are not 
nearly as strong as in an ionic solid, which leads to molecular solids typically having relatively 
low melting points.  Two examples of molecular solids are the common sugars glucose, C6H12O6, 
and sucrose, C12H22O11.

42.

The interparticle forces in ionic solids (the ionic bond) are much stronger than the interparticle 
forces in molecular solids (dipole-dipole forces, London forces, etc.). The difference in 
intermolecular forces is most clearly shown in the great differences in melting points and boiling 
points between ionic and molecular solids. For example, table salt and ordinary sugar are both 
crystalline solids that appear very similar.  Yet sugar can be melted easily in a saucepan during 
the making of candy, whereas even the full heat of a stove will not melt salt.

309


background image

Chapter 14:  Liquids and Solids

43.

Ionic solids are held together by strong electrostatic forces between the positive and negative 
ions. The forces are so strong that it becomes very difficult to move or displace ions from one 
another when an outside force is applied to the solid: so the solid is perceived as being “hard”. 
Molecular solids are held together by weaker dipole-dipole forces. When an outside force seeking
to deform or displace the solid is applied, these weaker forces are easier to overcome. The overall
magnitude of an electrostatic force is related (in part) to the magnitude of the charges involved. In
ionic compounds the charges are “full” ionic charges and the forces are strong; in molecular 
solids the charges are “partial” and the forces are weaker.

44.

Strong electrostatic forces exist between oppositely charged ions in ionic solids.

45.

In molecular solids, the molecules are held together in the crystal by hydrogen-bonding, dipole-
dipole, or London forces, which are weaker than the strong ion-ion forces that exist between 
oppositely charged ions in ionic solids (i.e., the attraction of a positive ion by several nearby ions 
of the opposite charge, and vice versa). As a result of these strong forces, ionic solids are 
typically much harder and have much higher melting and boiling points than molecular solids.

46.

In liquid hydrogen, the only intermolecular forces are weak London dispersion forces. In ethyl 
alcohol and water we have hydrogen bonding possible, but the hydrogen bonding forces are 
weaker in ethyl alcohol because of the influence of the remainder of the molecule. In sucrose, we 
also have hydrogen bonding possible, but now at several places in the molecule, leading to 
stronger forces. In calcium chloride, we have an ionic crystal lattice with even stronger forces 
between the particles.

47.

A network solid has strong covalent bonding among all the atoms in the solid, which results in 
the solid effectively being one large molecule (diamond is the best example). In a molecular 
solid, individual molecules are held together by covalent bonding among the atoms in the 
molecules, but the forces between the molecules are typically only dipole-dipole or London 
dispersion forces.

48.

Although ions exist in the solid, liquid, or dissolved states, in the solid state the ions are rigidly 
held in place in the crystal lattice and cannot move so as to conduct an electrical current.

49.

An alloy represents a mixture of elements that, as a whole, shows metallic properties. In a 
substitutional alloy, some of the host metal atoms are replaced by other metal atoms (e.g., brass, 
pewter, plumber’s solder). In an interstitial alloy, other small atoms occupy the spaces between 
the larger host metal atoms (e.g., carbon steel).

50.

Nitinol is an alloy of nickel and titanium. When nickel and titanium are heated to a sufficiently 
high temperature during the production of Nitinol, the atoms arrange themselves in a compact and
regular pattern of the atoms. 

51.

m

52.

j

53.

g

54.

f

55.

i

310


background image

Chapter 14:  Liquids and Solids

56.

d

57.

e

58.

a

59.

c

60.

l

61.

ice: 1.0 g  

3

1 cm

0.9168 g

 = 1.1 cm3

liquid: 1.0 g  

3

1 cm

0.9971 g

 = 1.0 cm3

steam:  1.0 g  

3

-4

1 cm

3.26   10  g

 = 3.1  103 cm3

62.

Diethyl ether has the larger vapor pressure. No hydrogen bonding is possible because the O atom 
does not have a hydrogen atom attached. Hydrogen bonding can occur only when a hydrogen 
atom is directly attached to a strongly electronegative atom (such as N, O, or F). Hydrogen 
bonding is possible in 1-butanol (1-butanol contains an ÷OH group).

63.

a.

KBr (ionic bonding)

b.

NaCl (ionic bonding)

c.

H2O (hydrogen bonding)

64.

None of the substances listed exhibit hydrogen bonding interactions. 

CCl2H2: dipole-dipole forces; London dispersion forces

BeF2: London dispersion forces

NO3–: London dispersion forces

HCN: dipole-dipole forces; London dispersion forces

65.

Evaporation of a substance is the liquid     vapor change of state. For every substance, a certain 
amount of energy is required to accomplish this change of state (heat of vaporization). Alcohol is 
a volatile liquid, with a relatively large heat of vaporization. Applying alcohol to a fever victim’s 
skin causes internal heat from the body to be absorbed as the heat of vaporization of the alcohol.

66.

substitutional; interstitial 

67.

molar mass of K = 39.10 g

a.

            

Q

s

m

T

 

J

0.75 

   5.00 g   (45.2 C   25.3 C) = 75 J

g  C

311


background image

Chapter 14:  Liquids and Solids

b.

2.334 kJ

1.35 mol   

1 mol

 = 3.15 kJ

c.

2.25 g  

1 mol

39.10 g

 = 0.05754 mol

0.05754 mol  

79.87 kJ

1 mol

 = 4.60 kJ

68.

Water is the solvent in which cellular processes take place in living creatures. Water in the oceans
moderates the Earth’s temperature. Water is used in industry as a cooling agent. Water serves as a
means of transportation on the Earth’s oceans. The liquid range is 0C to 100C at 1 atm pressure.

69.

From room temperature to the freezing point (0C), the average kinetic energy of the molecules in
liquid water decreases, and the molecules slow down. At the freezing point, the liquid freezes, 
with the molecules forming a crystal lattice in which there is much greater order than in the liquid
state: molecules no longer move freely, but rather are only able to vibrate somewhat. Below the 
freezing point, the molecules’ vibrations become slower as the temperature is lowered further.

70.

At higher altitudes, the boiling points of liquids, such as water, are lower because there is a lower 
atmospheric pressure above the liquid. The temperature at which food cooks is determined by the 
temperature to which the water in the food can be heated before it escapes as steam. Thus, food 
cooks at a lower temperature at high elevations where the boiling point of water is lowered.

71.

Intramolecular forces hold the atoms together within a molecule. When a molecular solid is 
melted, it is forces between molecules (not within the molecules themselves) that must be 
overcome. Intramolecular forces are typically stronger than intermolecular forces.

72.

Heat of fusion (melt); heat of vaporization (boil).

The heat of vaporization is always larger, because virtually all of the intermolecular forces must 
be overcome to form a gas. In a liquid, considerable intermolecular forces remain. Thus going 
from a solid to liquid requires less energy than going from the liquid to the gas.

73.

molar mass CS2 = 76.15 g

1.0 g CS2  

2

2

1 mol CS

76.15 g CS

 = 0.0131 mol CS2

0.131 mol  28.4 kJ/mol  = 0.37 kJ required

50. g CS2  

2

2

1 mol CS

76.15 g CS

 = 0.657 mol CS2

0.657 mol CS2  28.4 kJ/mol = 19 kJ evolved (–19 kJ)

74.

Dipole-dipole interactions are typically about 1% as strong as a covalent bond. Dipole-dipole 
interactions represent electrostatic attractions between portions of molecules that carry only a 
partial positive or negative charge. Such forces require the molecules that are interacting to come 
near enough to each other.

75.

He (London forces) < CO (London forces, dipole-dipole forces) < H2O (London forces, dipole-
dipole forces, hydrogen bonding) < NaCl (ionic)

312


background image

Chapter 14:  Liquids and Solids

76.

London dispersion forces are relatively weak forces that arise among noble gas atoms and in 
nonpolar molecules. London forces are due to instantaneous dipoles that develop when one atom 
(or molecule) momentarily distorts the electron cloud of another atom (or molecule). London 
forces are typically weaker than either permanent dipole-dipole forces or covalent bonds.

77.

a.

London dispersion forces (nonpolar molecules)

b.

hydrogen bonding (H attached to N); London dispersion forces

c.

London dispersion forces (nonpolar molecules)

d.

London dispersion forces (nonpolar molecules)

78.

a.

London dispersion forces (nonpolar atoms)

b.

hydrogen bonding (H attached to O); London dispersion forces

c.

dipole-dipole (polar molecules); London dispersion forces

d.

London dispersion forces (nonpolar molecules)

79.

volatile liquid is one that evaporates relatively easily. Volatile liquids typically have large 
vapor pressures because the intermolecular forces that would tend to prevent evaporation are 
small. Typically, London forces are the only intermolecular force in highly volatile liquids.

80.

a.

HF contains a stronger polar bond because it has a greater electronegativity difference 
between the two atoms versus HCl, therefore it has more unequal sharing of electrons.

b.

HF contains stronger dipole-dipole interactions because the molecule itself is more polar. 
It has more charge separation within the molecule, which leads to stronger dipole-dipole 
interactions between the molecules.

c.

HCl would boil first because the intermolecular forces are not as strong as in HF. HCl 
exhibits dipole-dipole interactions but HF exhibits hydrogen bonding (which is a stronger
form of dipole-dipole interactions). It would take less energy to disturb the dipole-dipole 
interactions in HCl and make it go to the gas phase. (HF would require more energy and 
thus has a higher boiling point.)

81.

Ionic solids typically have the highest melting points, because the ionic charges and close packing
in ionic solids allow for very strong forces among a given ion and its nearest neighbors of the 
opposite charge.

82.

In a crystal of ice, strong hydrogen bonding forces are present, whereas in the crystal of a 
nonpolar substance like oxygen, only the much weaker London forces exist.

83.

The electron sea model envisions a metal as a cluster of positive ions through which the valence 
electrons are able to move freely. An electrical current represents the movement of electrons, for 
example through a metal wire, and is consistent with a model in which the electrons are free to 
roam.

84.

Ice floats on liquid water; water expands when it is frozen

85.

As a liquid is heated, the molecules of the liquid gain energy and begin to move faster and more 
randomly. At some point, some molecules of liquid will have sufficient kinetic energy and will be
moving in the right direction so as to escape from the surface of the liquid. At the point where the

313


background image

Chapter 14:  Liquids and Solids

pressure of vapor leaving the liquid is equal to the pressure above the liquid, the liquid is said to 
be boiling. Only intermolecular forces need to be overcome:  no intramolecular bonds are broken.

86.

Although they are at the same temperature, steam at 100C contains a larger amount of energy 
than hot water,  equal to the heat of vaporization of water.

87.

A dipole-dipole interaction exists when the positive end of one polar molecule is attracted to the 
negative end of another polar molecule. Examples depend on student choice.

88.

Hydrogen bonding is a special case of dipole-dipole interactions that occur among molecules 
containing hydrogen atoms bonded to highly electronegative atoms such as fluorine, oxygen, or 
nitrogen.  The bonds are very polar, and the small size of the hydrogen atom (compared to other 
atoms) allows the dipoles to approach each other very closely. Examples: H2O, NH3, HF, etc.

89.

Although the noble gas elements do not have permanent dipole moments, instantaneous dipole 
moments can arise in their atoms (London dispersion forces). For example, if two xenon atoms 
approached each other, the nuclear charge on the first atom could momentarily influence the 
electron cloud on the second atom. If the electron cloud on the second atom is affected so that the 
centers of negative and positive charge in the atom momentarily do not coincide, then the atom 
momentarily behaves as a weak dipole.

90.

Evaporation and condensation are opposite processes. Evaporation is an endothermic process, 
condensation is an exothermic process. Evaporation requires an input of energy to provide the 
increased kinetic energy possessed by the molecules when they are in the gaseous state. 
Evaporation occurs when the molecules in a liquid are moving fast enough and randomly enough 
that molecules are able to escape from the surface of the liquid and become a gas.

91.

B2O3

92.

Diamonds are made of only one element (carbon).  The very strong covalent bonds among the 
carbon atoms in diamond lead to a giant molecule, and these types of substances are referred to as
network solids.

93.

(b) and (f) only exhibit London dispersion forces; (c) and (d) exhibit hydrogen bonding 
interactions; (a) and (e) have dipole-dipole forces (but not hydrogen bonding)

94.

(a), (d), and (e) are true; Molecules that only exhibit London dispersion forces can exist in any 
state of matter at room temperature depending on the molar mass of the molecule. H2O exhibits 
stronger hydrogen bonding interactions because it has a greater charge separation within the 
molecule (greater differences in electronegativities).

95.

CF3(CF2CF2)nCF3: London dispersion

CO2: London dispersion

NaI: ionic

NH4Cl: ionic

MgCl2: ionic

314


background image

Chapter 14:  Liquids and Solids

96.

CH3Cl, CH3CH2Cl, CH3CH2CH2Cl, CH3CH2CH2CH2Cl

The larger the molar mass of the molecule, the more London dispersion forces present, which 
leads to a higher boiling point.

97.

CH4, H2S, H2O, MgO

The stronger the intermolecular forces, the higher the boiling point. The strongest forces present 
in each are:

CH4: London dispersion

H2S: dipole-dipole

H2O: hydrogen bonding

MgO: ionic

98.

(b), (c), and (d) are true; LiF has stronger interactions (ionic) versus H2S (dipole-dipole) thus it 
has a lower vapor pressure. Similarly, MgO has stronger interactions (ionic) versus CH3CH2OH 
(hydrogen bonding) thus it also has a lower vapor pressure. HF exhibits stronger interactions 
(hydrogen bonding) versus HBr (dipole-dipole) thus it has a lower vapor pressure. Cl2 exhibits 
stronger interactions (London dispersion with a higher molar mass) versus Ar (London dispersion
with a lower molar mass) thus it has a higher boiling point. Water is polar, thus HCl is more 
soluble in water than CCl4 because HCl is also polar (whereas CCl4 is nonpolar).

315