DOC문서Chapter 16.doc

닫기

background image

CHAPTER 16

Acids and Bases

1.

Acids were recognized primarily from their sour taste. Bases were recognized from their bitter tas
te and slippery feel on skin.

2.

HCl(g

2

H O

  

  H

+(aq) + Cl–(aq)

NaOH(s

2

H O

  

  Na

+(aq) + OH–(aq)

3.

The Arrhenius definitions of acid and base are restricted to aqueous solutions, in which a substan
ce producing H+(aq) ions is considered an acid and a substance producing OH–(aq) ions is consid
ered a base. 

The Brønsted-Lowry definitions of acid and base are less restrictive, and define an acid as a speci
es capable of donating protons (regardless of the solvent), and a base as a species capable of recei
ving the protons being donated. In the equation HA(aq) + H2O(l)    H3O+(aq) + A–(aq), HA is a 
Brønsted-Lowry acid because it donates a proton to water; water is a Brønsted-Lowry base becau
se it receives the proton from HA.

4.

Conjugate acid–base pairs differ from each other by one proton (one hydrogen ion, H+). For exam
ple, CH3COOH (acetic acid), differs from its conjugate base, CH3COO– (acetate ion), by a single 
H+ ion.

CH3COOH(aq

 CH3COO–(aq) + H+(aq)

5.

Water accepts a proton in going from H2O to H3O+ which makes it a base in the Brønsted–Lowry 
model.

6.

acids; bases

7.

a. 

a conjugate pair: the two species differ by one proton 

b. 

not a conjugate pair

HClO, ClO–

HClO2, ClO2– 

c.

not a conjugate pair 

H3PO4, H2PO4–

HPO42–, PO43– 

d. 

not a conjugate pair

H2CO3, HCO3–

HCO3–, CO32–

363


background image

Chapter 16:  Acids and Bases

8.

a. 

not a conjugate pair 

H2SO4, HSO4–

HSO4–, SO42– 

b. 

a conjugate pair: the two species differ by one proton 

c. 

not a conjugate pair

HClO4, ClO4–

HCl, Cl– 

d. 

not a conjugate pair

NH4+, NH3

NH3, NH2–

9.

a.

HF (acid) + H2O (base) 

 F– (base) + H3O+ (acid)

b.

CN– (base) + H2O (acid) 

 HCN (acid) + OH– (base)  

c.

HCO3– (base) + H2O (acid) 

 H2CO3 (acid) + OH– (base)

10.

a.

NH3 (base) + H2O (acid) 

 NH4+ (acid) + OH– (base)

b.

PO43– (base) + H2O (acid) 

 HPO42– (acid) + OH– (base)

c.

C2H3O2– (base) + H2O (acid) 

 HC2H3O2 (acid) + OH– (base)

11.

The conjugate acid of the species indicated would have one additional proton:

a.

HPO42–

b.

HIO3

c.

HNO3

d.

NH3

12.

The conjugate acid of the species indicated would have one additional proton:

a.

HClO

b.

HCl

c.

HClO3

d.

HClO4

13.

The conjugate bases of the species indicated would have one less proton:

a.

HS–

b.

S2–

c.

NH2–

d.

HSO3–

364


background image

Chapter 16:  Acids and Bases

14.

The conjugate bases of the species indicated would have one less proton:

a.

BrO–

b.

NO2–

c.

SO32–

d.

CH3NH2

15.

a.

HSO3–(aq) + H2O(l

 SO32–(aq) + H3O+(aq)

b. 

CO32–(aq) + H2O(l

 HCO3–(aq) + OH–(aq)

c. 

H2PO4–(aq) + H2O(l

 HPO42–(aq) + H3O+(aq)

d. 

C2H3O2–(aq) + H2O(l

 HC2H3O2(aq) + OH–(aq)

16.

a. 

O2–(aq) + H2O(l

 OH–(aq) + OH–(aq)

b. 

NH3(aq) + H2O(l

 NH4+(aq) + OH–(aq)

c. 

HSO4–(aq) + H2O(l

 SO42–(aq) + H3O+(aq)

d. 

HNO2(aq) + H2O(l

 NO2–(aq) + H3O+(aq)

17.

A strong acid is one for which the equilibrium in water lies far to the right. A strong acid is almos
t completely converted to its conjugate base when dissolved in water. A strong acid’s anion (its c
onjugate base) must be very poor at attracting, or holding onto, protons. A regular arrow (  ) rat
her than a double arrow (

) is used when writing an equation for the dissociation of a strong ac

id to indicate this.

18.

To say that an acid is weak in aqueous solution means that the acid does not easily transfer proton
s to water (and does not fully ionize). If an acid does not lose protons easily, then the acid’s anion
must be a strong attractor of protons (good at holding on to protons).

19.

If water is a much stronger base than the anion of the acid, then protons will be attracted more str
ongly to water molecules than to the anions, and the acid will ionize well.  If the anion of the acid
is a much stronger base than water, then the anions will hold on to their protons (or will attract an
y protons present in the water), and the acid will ionize poorly.

20.

A strong acid is one that loses its protons easily and fully ionizes in water; this means that the aci
d’s conjugate base must be poor at attracting and holding on to protons, and is therefore a relative
ly weak base. A weak acid is one that resists loss of its protons and does not ionize well in water; 
this means that the acid’s conjugate base attracts and holds onto protons tightly and is a relatively 
strong base.

21.

The hydronium ion is H3O+.

For a general acid HA: HA + H2O    A– + H3O+

22.

H2SO4 (sulfuric): H2SO4 + H2O    HSO4– + H3O+

HCl (hydrochloric): HCl + H2O    Cl– + H3O+

HNO3 (nitric): HNO3 + H2O    NO3– + H3O+

HClO4 (perchloric): HClO4 + H2O    ClO4– + H3O+

365


background image

Chapter 16:  Acids and Bases

23.

CH3COOH + H2O 

 CH3COO– + H3O+

CH3CH2COOH + H2O 

 CH3CH2COO– + H3O+

24.

An oxyacid is an acid containing a particular element which is bonded to one or more oxygen ato
ms.  HNO3, H2SO4, HClO4 are oxyacids. HCl, HF, HBr are not oxyacids.

25.

Acids that are weak have relatively strong conjugate bases.

a.

CN– is a relatively strong base; HCN is a weak acid.

b.

HS– is a relatively strong base; H2S is a weak acid.

c.

BrO4– is a very weak base; HBrO4 is a strong acid.

d.

NO3– is a very weak base; HNO3 is a strong acid.

26.

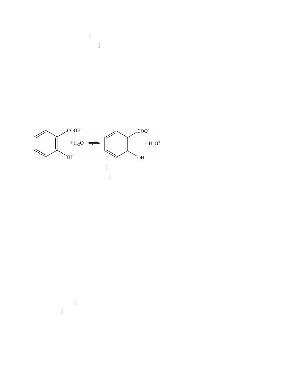
Salicylic acid is a monoprotic acid: only the hydrogen of the carboxyl group ionizes.

27.

water as base:   HF + H2O 

 F– + H3O+

water as acid: NH3 + H2O 

 NH4+ + OH–

28.

For example, HCO3– can behave as an acid if it reacts with something that more strongly gains pr
otons than does HCO3– itself. For example, HCO3– would behave as an acid when reacting with h
ydroxide ion (a much stronger base).

HCO3–(aq) + OH–(aq)    CO32–(aq) + H2O(l).

On the other hand, HCO3– would behave as a base when reacted with something that more readily
loses protons than does HCO3– itself. For example, HCO3– would behave as a base when reacting 
with hydrochloric acid (a much stronger acid).

HCO3–(aq) + HCl(aq)    H2CO3(aq) + Cl–(aq)

For H2PO4–, similar equations can be written:

H2PO4–(aq) + OH–(aq)    HPO42–(aq) + H2O(l)

H2PO4–(aq) + H3O+(aq)    H3PO4(aq) + H2O(l)

29.

The ion–product constant for water is the equilibrium constant for the reaction in which water aut
oionizes; the constant says that in water or an aqueous solution, there is an equilibrium between h
ydronium ion and hydroxide ion such that the product of their concentrations fulfills the value of t
he constant.

H2O + H2O 

 H3O+ + OH–

Kw = [H3O+][OH–] = 1.0  10–14

H2O 

 H+ + OH–

Kw = [H+] [OH–] = 1.0  10–14

30.

The hydrogen ion concentration and the hydroxide ion concentration of water are not independen
t: they are related by the equilibrium

366


background image

Chapter 16:  Acids and Bases

H2O(l

 H+(aq) + OH–(aq)

for which Kw = [H+][OH–] = 1.0  10–14 at 25C.

If the concentration of one of these ions is increased by addition of a reagent producing H+ or 
OH–, then the concentration of the complementary ion will have to decrease so that the value of 
Kw will hold true. So if an acid is added to a solution, the concentration of hydroxide ion in the 
solution will decrease to a lower value. Similarly, if a base is added to a solution, then the 
concentration of hydrogen ion will have to decrease to a lower value.

31.

Kw = [H+][OH–] = 1.0  10–14 at 25C

a.

[H+] = 

14

–4

1.0   10

2.32   10 M

 = 4.3  10–11 M; solution is basic

b.

[H+] = 

14

–10

1.0   10

8.99   10 M

 = 1.1  10–5 M; solution is acidic

c.

[H+] = 

14

–6

1.0   10

4.34   10 M

 = 2.3  10–9 M; solution is basic

d.

[H+] = 

14

–12

1.0   10

6.22   10 M

 = 1.6  10–3 M; solution is acidic

32.

Kw = [H+][OH–] = 1.0  10–14 at 25C

a.

; solution is basic

b.

; solution is acidic

c.

; solution is basic

d.

; solution is basic

33.

Kw = [H+][OH–] = 1.0  10–14 at 25C

a.

[OH–] = 

14

–4

1.0   10

4.01   10 M

 = 2.5  10–11 M; solution is acidic

b.

[OH–] = 

14

–6

1.0   10

7.22   10 M

 = 1.4  10–9 M; solution is acidic

c.

[OH–] = 

14

–7

1.0   10

8.05   10 M

 = 1.2  10–8 M; solution is acidic

d.

[OH–] = 

14

–9

1.0   10

5.43   10 M

 = 1.8  10–6 M; solution is basic

34.

Kw = [H+][OH–] = 1.0  10–14 at 25C 

367


background image

Chapter 16:  Acids and Bases

a.

[OH–] = 

14

–7

1.0   10

1.02   10 M

 = 9.8  10–8 M; solution is acidic

b.

[OH–] = 

14

–8

1.0   10

9.77   10 M

 = 1.02  10–7 (1.0 × 10-7 M); solution is slightly basic

c.

[OH–] = 

14

–3

1.0   10

3.41   10 M

 = 2.9  10–12 M; solution is acidic

d.

[OH–] = 

14

–11

1.0   10

4.79   10 M

 = 2.1  10–4 M; solution is basic

35.

a.

[H+] = 1.2  10–3 M is more acidic

b.

[H+] = 2.6  10–6 M is more acidic

c.

[H+] = 0.000010 M is more acidic

36.

a.

[OH–] = 6.03 × 10–4 M is more basic

b.

[OH–] = 4.21 × 10–6 M is more basic

c.

[OH–] = 8.04 × 10–4 M is more basic

37.

Because the concentrations of [H+] and [OH–] in aqueous solutions tend to be expressed in scienti
fic notation, and these numbers have negative exponents for their powers of ten, it tends to be clu
msy to make comparisons between different concentrations of these ions (see questions 35 and 36
above). The pH scale converts such numbers into “ordinary” numbers between 0 and 14 that can 
be more easily compared. The pH of a solution is defined as the negative of the base 10 logarithm
of the hydrogen ion concentration, pH = –log[H+].

38.

Answer depends on student choice.

39.

As 2.33  10–6 has three significant figures, the pH should be expressed to the third decimal plac
e. The figure before the decimal place in a pH is not one of the significant digits: the figure before
the decimal place is related to the power of ten (exponent) of the concentration.

40.

pH 1–2, deep red; pH 4, purple; pH 8, blue; pH 11, green 

41.

pH = –log[H+]

a.

pH = –log[4.02 × 10–3 M] = 2.396; solution is acidic

b.

pH = –log[8.99 × 10–7 M] = 6.046; solution is acidic

c.

pH = –log[2.39 × 10–6 M] = 5.622; solution is acidic

d.

pH = –log[1.89 × 10–10 M] = 9.724; solution is basic

42.

pH = –log[H+]

a.

pH = –log[0.00100 M] = 3.000; solution is acidic

b.

pH = –log[2.19 × 10–4 M] = 3.660; solution is acidic

c.

pH = –log[9.18 × 10–11 M] = 10.037; solution is basic

d.

pH = –log[4.71 × 10–7 M] = 6.327; solution is acidic

368


background image

Chapter 16:  Acids and Bases

43.

pOH = –log[OH–]

pH = 14.00 – pOH

a.

pOH = –log[4.73 × 10–4 M] = 3.325

pH = 14.00 – 3.325 = 10.675 = 10.68; solution is basic

b.

pOH = –log[5.99 × 10–1 M] = 0.223

pH = 14.00 – 0.223 = 13.777= 13.78; solution is basic

c.

pOH = –log[2.87 × 10–8 M] = 7.542

pH = 14.00 – 7.542 = 6.458 = 6.46; solution is acidic

d.

pOH = –log[6.39 × 10–3 M] = 2.194

pH = 14.00 – 2.194 = 11.806 = 11.81; solution is basic

44.

pOH = –log[OH–]

pH = 14.00 – pOH

a.

pOH = –log[8.63 × 10–3 M] = 2.064

pH = 14.00 – 2.064 = 11.936= 11.94; solution is basic

b.

pOH = –log[7.44 × 10–6 M] = 5.128

pH = 14.00 – 5.128 = 8.872 = 8.87; solution is basic

c.

pOH = –log[9.35 × 10–9 M] = 8.029

pH = 14.00 – 8.029 = 5.971 = 5.97; solution is acidic

d.

pOH = –log[1.21 × 10–11 M] = 10.917

pH = 14.00 – 10.917 = 3.083 = 3.08; solution is acidic

45.

pH = 14.00 – pOH

a.

pH = 14.00 – 4.32 = 9.68; solution is basic

b.

pH = 14.00 – 8.90 = 5.10; solution is acidic

c.

pH = 14.00 – 1.81 = 12.19; solution is basic

d.

pH = 14.00 – 13.1 = 0.9; solution is acidic

46.

pOH = 14.00 – pH

a.

pOH = 14.00 – 9.78 = 4.22; solution is basic

b.

pOH = 14.00 – 4.01 = 9.99; solution is acidic

c.

pOH = 14.00 – 2.79 = 11.21; solution is acidic

d.

pOH = 14.00 – 11.21 = 2.79; solution is basic

47.

a.

pH = –log[4.76  10–8 M] = 7.322; solution is basic

[OH–] = 

14

8

1.0   10

4.76   10  M

 = 2.10  10–7 M

b.

pH = –log[8.92  10–3 M] = 2.050; solution is acidic

369


background image

Chapter 16:  Acids and Bases

[OH–] = 

14

3

1.0   10

8.92   10  M

 = 1.1  10–12 M

c.

pH = –log[7.00  10–5 M] = 4.155; solution is acidic

[OH–] = 

14

5

1.0   10

7.00   10  M

 = 1.4  10–10 M

d.

pH = –log[1.25  10–12 M] = 11.903; solution is basic

[OH–] = 

14

12

1.0   10

1.25   10    

M

 = 8.0  10–3 M

48.

a.

pH = –log[1.91 × 10–2 M] = 1.719; solution is acidic

[OH–] = 

14

2

1.0   10

1.91 × 10  M

 = 5.2 × 10–13 M

b.

pH = –log[4.83 × 10–7 M] = 6.316; solution is acidic

[OH–] = 

14

7

1.0   10

4.83 × 10  M

 = 2.1 × 10–8 M

c.

pH = –log[8.92 × 10–11 M] = 10.050; solution is basic

[OH–] = 

14

11

1.0   10

8.92 × 10  M

 = 1.1 × 10–4 M

d.

pH = –log[6.14 × 10–5 M] = 4.212; solution is acidic

[OH–] = 

14

5

1.0   10

6.14 × 10     

M

 = 1.6 × 10–10 M

49.

[H+] = {inv}{log}[–pH] or 10–pH

a.

[H+] = {inv}{log}[–9.01] = 9.8  10–10 M

b.

[H+] = {inv}{log}[–6.89] = 1.3  10–7 M

c.

[H+] = {inv}{log}[–1.02] = 9.5  10–2 M

d.

[H+] = {inv}{log}[–7.00] = 1.0  10–7 M

50.

[H+] = {inv}{log}[–pH] or 10–pH

a.

[H+] = {inv}{log}[–1.04] =  9.1 × 10–2 M

b.

[H+] = {inv}{log}[–13.1] = 8 × 10–14 M

c.

[H+] = {inv}{log}[–5.99] = 1.0 × 10–6 M

d.

[H+] = {inv}{log}[–8.62] = 2.4 × 10–9 M

51.

pH + pOH = 14.00

[H+] = {inv}{log}[–pH] or 10–pH

a.

pH = 14.00 – 4.95 = 9.05

[H+] = {inv}{log}[–9.05] = 8.9  10–10 M

b.

pH = 14.00 – 7.00 = 7.00

[H+] = {inv}{log}[–7.00] = 1.0  10–7 M

c.

pH = 14.00 – 12.94 = 1.06

[H+] = {inv}{log}[–1.06] = 8.7  10–2 M

370


background image

Chapter 16:  Acids and Bases

d.

pH = 14.00 – 1.02 = 12.98

[H+] = {inv}{log}[–12.98] = 1.0  10–13 M

52.

pH + pOH = 14.00

[H+] = {inv}{log}[–pH] or 10–pH

a.

pH = 14.00 – 4.99 = 9.01

[H+] = {inv}{log}[–9.01] = 9.8  10–10 M

b.

[H+] = {inv}{log}[–7.74] = 1.8 × 10–8 M

c.

pH = 14.00 – 10.74 = 3.26

[H+] = {inv}{log}[–3.26] = 5.5  10–4 M 

d.

[H+] = {inv}{log}[–2.25] = 5.6  10–3 M 

53.

a.

pH = –log[4.78  10–2 M] = 1.321

b.

pH  = 14.00 – pOH = 14.00 – 4.56 = 9.44

c.

pOH = –log[9.74  10–3 M] = 2.011

pH = 14.00 – 2.011 = 11.99

d.

pH = –log[1.24  10–8 M] = 7.907

54.

a.

pH = –log[4.39  10–6 M] = 5.358

b.

pH = 14.00 – pOH = 14.00 – 10.36 =  3.64

c.

pOH = –log[9.37  10–9 M] = 8.028

pH = 14.00 – 8.028 =  5.97

d.

pH = –log[3.31 × 10–1 M] = 0.480

55.

Effectively no molecules of HCl remain in solution. HCl is a strong acid. Its equilibrium with wat
er lies far to the right. All the HCl molecules originally dissolved in the water will ionize.

56.

The solution contains water molecules, H3O+ ions (protons), and NO3– ions. Because HNO3 is a st
rong acid, which is completely ionized in water, there are no HNO3 molecules present.

57.

a.

HCl is a strong acid and completely ionized so

[H+] = 1.04  10–4 M

pH = –log[1.04  10–4] = 3.983.

b.

HNO3 is a strong acid and completely ionized so

[H+] = 0.00301 M

pH = –log[0.00301] = 2.521.

c.

HClO4 is a strong acid and completely ionized so

[H+] = 5.41  10–4 M

pH = –log[5.41  10–4] = 3.267.

371


background image

Chapter 16:  Acids and Bases

d.

HNO3 is a strong acid and completely ionized so

[H+] = 6.42  10–2 M

pH = –log[6.42  10–2] = 1.192.

58.

a.

HNO3 is a strong acid and completely ionized so [H+] = 1.21  10–3 M and pH = 2.917.

b.

HClO4 is a strong acid and completely ionized so [H+] = 0.000199 M and pH = 3.701.

c.

HCl is a strong acid and completely ionized so [H+] = 5.01  10–5 M and pH = 4.300.

d.

HBr is a strong acid and completely ionized so [H+] = 0.00104 M and pH = 2.983.

59.

A buffered solution is one that resists change in its pH even when a strong acid or base is added t
o it. A solution is buffered by the presence of the combination of a weak acid and its conjugate ba
se.

60.

A buffered solution consists of a mixture of a weak acid and its conjugate base; one example of a 
buffered solution is a mixture of acetic acid (CH3COOH) and sodium acetate (NaCH3COO).

61.

The conjugate base component of the buffer mixture is capable of combining with any strong aci
d that might be added to the buffered solution. For the example of acetate ion (C2H3O2–) given in t
he solution to question 60, the equation is

HCl(aq) + C2H3O2–(aq)    HC2H3O2(aq) + Cl–(aq).

62.

The weak acid component of a buffered solution is capable of reacting with added strong base. Fo
r example, using the buffered solution given as an example in Question 60, acetic acid would con
sume added sodium hydroxide as follows:

CH3COOH(aq) + NaOH(aq)    NaCH3COO(aq) + H2O(l).

Acetic acid neutralizes the added NaOH and prevents it from having much effect on the overall 
pH of the solution.

63.

a.

not a buffer: although HCl and Cl– are conjugates, HCl is not a weak acid.

b.

a buffer: CH3COOH and CH3COO– are conjugates

c.

a buffer: H2S and HS– are conjugates

d.

not a buffer: S2– (of Na2S) is not the conjugate base of H2S

64.

HCl:  

H3O+ + C2H3O2–    HC2H3O2 + H2O

NaOH:  

OH– + HC2H3O2    C2H3O2– + H2O

65.

In whatever solvent is used, a Brønsted–Lowry acid will still be a proton donor. In liquid ammoni
a, HCl would still be an acid as shown in the following equation:

HCl + NH3    Cl– + NH4+

in which the proton is transferred from HCl to NH3. Similarly, OH– would still be a base (proton 
acceptor) in liquid ammonia as indicated in the equation

OH– + NH3    H2O + NH2–

in which OH– could receive a proton from ammonia.

372


background image

Chapter 16:  Acids and Bases

66.

a.

NaOH is completely ionized, so [OH–] = 0.10 M.

pOH = –log[0.10] = 1.00

pH = 14.00 – 1.00 = 13.00

b.

KOH is completely ionized, so [OH–] = 2.0  10–4 M.

pOH = –log[2.0  10–4] = 3.70

pH = 14.00 – 3.70 = 10.30

c.

CsOH is completely ionized, so [OH–] = 6.2  10–3 M.

pOH = –log[6.2  10–3] = 2.21

pH = 14.00 – 2.21 = 11.79

d.

NaOH is completely ionized, so [OH–] = 0.0001 M.

pOH = –log[0.0001] = 4.0

pH = 14.00 – 4.0 = 10.0

67.

a, b, and d

68.

b, c, and d

69.

In order to consume added acid, a buffered solution must contain a species capable of strongly att
racting protons. The conjugate base of a weak acid is capable of strongly attracting protons, but th
e conjugate base of a strong acid does not have a strong affinity for protons.

70.

a.

CH3COO– is a relatively strong base.

b.

F– is a relatively strong base.

c.

HS– is a relatively strong base.

d.

Cl– is a very weak base (conjugate of a strong acid).

71.

No. For any aqueous solution, the concentrations of [H+] and [OH–] are related by Kw. The produc
t of the given concentrations would not equal the value of Kw.

72.

Ordinarily in calculating the pH of strong acid solutions, the major contribution to the concentrati
on of hydrogen ion present is from the dissolved strong acid; we ordinarily neglect the small amo
unt of hydrogen ion present in such solutions due to the ionization of water. With 1.0  10–7 M H
Cl solution, however, the amount of hydrogen ion present due to the ionization of water is compa
rable
 to that present due to the addition of acid (HCl) and must be considered in the calculation o
f pH.

73.

hydroxide

74.

accepts

75.

proton

76.

base

77.

strong

373


background image

Chapter 16:  Acids and Bases

78.

C

O

OH   

CH3COOH + H2O 

 C2H3O2– + H3O+

79.

autoionization

80.

1.0  10–14

81.

decimal places

82.

lower

83.

0.20, 0.20

84.

pH

85.

buffered

86.

weak acid

87.

conjugate base

88.

a.

Equation 1:

(acid1) + (base1) → (conjugate acid1) + (conjugate base1)

Equation 2:

(base2) + (acid2) → (conjugate acid2) + (conjugate base2)

The acids are the proton donors and the bases are the proton acceptors. By looking at 
which species is positively charged or negatively charged in the products, it’s possible to 
determine which reactant is the proton donor and which is the proton acceptor.

b.

An Arrhenius acid produces hydrogen ions.  An Arrhenius base produces hydroxide ions.
Therefore, acid1 is considered an Arrhenius acid. A Brønsted-Lowry acid is a proton don
or and a Brønsted-Lowry base is a proton acceptor. Thus, acid1 and acid2 are both Brønst
ed-Lowry acids and base1 and base2 are both Brønsted-Lowry bases.

89.

a.

CH3NH2 (base), CH3NH3+ (acid); H2O (acid), OH– (base)

b.

CH3COOH (acid), CH3COO– (base); NH3 (base), NH4+ (acid)

c.

HF (acid), F– (base); NH3 (base), NH4+ (acid)

90.

The conjugate acid of the species indicated would have one additional proton:

a.

NH4+

b.

NH3

c.

H3O+

d.

H2O

91.

The conjugate bases of the species indicated would have one less proton:

374


background image

Chapter 16:  Acids and Bases

a.

H2PO4–

b.

CO32–

c.

F–

d.

HSO4–

92.

a.

A buffer: HCN and NaCN are conjugates.

b.

Not a buffer: PO43– (of K3PO4) is not the conjugate base of H3PO4.

c.

A buffer: HF and KF are conjugates.

d.

A buffer: HC3H5O2 and NaC3H5O2 are conjugates.

93.

Bases that are weak have relatively strong conjugate acids:

a.

F– is a relatively strong base; HF is a weak acid.

b.

Cl– is a very weak base; HCl is a strong acid.

c.

HSO4– is a very weak base; H2SO4 is a strong acid.

d.

NO3– is a very weak base; HNO3 is a strong acid.

94.

Kw = [H+][OH–] = 1.0  10–14 at 25C

a.

[H+] = 

14

3

1.0   10

4.22   10  M

= 2.4  10–12 M; solution is basic

b.

[H+] = 

14

13

1.0   10

1.01   10  M

 = 9.9  10–2 M; solution is acidic

c.

[H+] = 

-14

-7

1.0   10

3.05   10  M

 = 3.3  10–8 M; solution is basic

d.

[H+] = 

14

6

1.0   10

6.02   10  M

 = 1.7  10–9 M; solution is basic

95.

Kw = [H+][OH–] = 1.0  10–14 at 25C

a.

[OH–] = 

14

7

1.0   10

4.21   10  M

 = 2.4  10–8 M; solution is acidic

b.

[OH–] = 

14

1.0   10

0.00035 M

 = 2.9  10–11 M; solution is acidic

c.

[OH–] = 

14

1.0   10

0.00000010 M

 = 1.0  10–7 M; solution is neutral

d.

[OH–] = 

14

6

1.0   10

9.9   10  M

 = 1.0  10–9 M; solution is acidic

375


background image

Chapter 16:  Acids and Bases

96.

pH + pOH = 14.00

a.

pH = 14.00 – 4.32 = 9.68; solution is basic

b.

pH = 14.00 – 8.90 = 5.10; solution is acidic

c.

pH = 14.00 – 1.81 = 12.19; solution is basic

d.

pH = 14.00 – 13.1 = 0.9; solution is acidic

97.

pH = –log[H+]   pOH = –log[OH–]

pH + pOH = 14.00

a.

pH = –log[1.49  10–3 M] = 2.827; solution is acidic

b.

pOH = –log[6.54  10–4 M] = 3.184; pH = 14.00 – 3.184 = 10.816; solution is basic

c.

pH = –log[9.81  10–9 M] = 8.008; solution basic

d.

pOH = –log[7.45  10–10 M] = 9.128;  pH = 14.00 – 9.128 = 4.87; solution is acidic

98.

pOH = –log[OH–]

pH = 14.00 – pOH

a.

pOH = –log[1.4  10–6 M] = 5.85; pH = 14.00 – 5.85 = 8.15; solution is basic

b.

pOH = –log[9.35  10–9 M] = 8.029 = 8.03; pH = 14.00 – 8.029 = 5.97; solution is acidic

c.

pOH = –log[2.21  10–1 M] = 0.656 = 0.66; pH = 14.00 – 0.656 = 13.34; solution is basic

d.

pOH = –log[7.98  10–12 M] = 11.10; pH = 14.00 – 11.098 = 2.90; solution is acidic

99.

pOH = 14.00 – pH

a.

pOH = 14.00 – 1.02 = 12.98; solution is acidic

b.

pOH = 14.00 – 13.4 = 0.6; solution is basic

c.

pOH = 14.00 – 9.03 = 4.97; solution is basic

d.

pOH = 14.00 – 7.20 = 6.80; solution is basic

100.

a.

[OH–] = 

14

4

1.0   10

5.72   10  M

 = 1.75  10–11 M = 1.8  10–11 M

pOH = –log[1.75  10–11 M] = 10.76

pH = 14.00 – 10.76 = 3.24

b.

[H+] = 

14

5

1.0   10

8.91   10  M

 = 1.12  10–10 M = 1.1  10–10 M

pH = –log[1.12  10–10 M] = 9.95

pOH = 14.00 – 9.95 = 4.05

c.

[OH–] = 

14

12

1.0   10

2.87   10  M

 = 3.48  10–3 M = 3.5  10–3 M

pOH = –log[3.48  10–3 M] = 2.46

pH = 14.00 – 2.46 = 11.54

376


background image

Chapter 16:  Acids and Bases

d.

[H+] = 

14

8

1.0   10

7.22   10  M

 = 1.39  10–7 M = 1.4  10–7 M

pH = –log[1.39  10–7 M] = 6.86

pOH = 14.00 – 6.86 = 7.14

101.

a.

[H+] = {inv}{log}[–8.34] = 4.6  10–9 M

b.

[H+] = {inv}{log}[–5.90] = 1.3  10–6 M

c.

[H+] = {inv}{log}[–2.65] = 2.2  10–3 M

d.

[H+] = {inv}{log}[–12.6] = 2.5  10–13 M

102.

pH = 14.00 – pOH

[H+] = {inv}{log}[–pH] or 10–pH

a.

[H+] = {inv}{log}[–5.41] = 3.9  10–6 M

b.

pH = 14.00 – 12.04 = 1.96   

[H+] = {inv}{log}[–1.96] = 1.1  10–2 M

c.

[H+] = {inv}{log}[–11.91] = 1.2  10–12 M

d.

pH = 14.00 – 3.89 = 10.11 

[H+] = {inv}{log}[–10.11] = 7.8  10–11 M

103.

a.

pH = 14.00 – 0.90 = 13.10

[H+] = {inv}{log}[–13.10] = 7.9  10–14 M

b.

[H+] = {inv}{log}[–0.90] = 0.13 M

c.

pH = 14.00 – 10.3 = 3.7

[H+] = {inv}{log}[–3.7] = 2  10–4 M

d.

[H+] = {inv}{log}[–5.33] = 4.7  10–6 M

104.

a.

HClO4 is a strong acid and completely ionized so [H+] = 1.4  10–3 M and pH = 2.85.

b.

HCl is a strong acid and completely ionized so [H+] = 3.0  10–5 M and pH = 4.52.

c.

HNO3 is a strong acid and completely ionized so [H+] = 5.0  10–2 M and pH = 1.30.

d.

HCl is a strong acid and completely ionized so [H+] = 0.0010 M and pH = 3.00.

105.

There are many examples.  For a general weak acid (HA) and its conjugate base (A–) the general 
equations illustrating the consumption of added acid and base would be:

HA(aq) + OH–(aq)    A–(aq) + H2O

A–(aq) + H3O+(aq)    HA(aq) + H2O.

For example, for a buffer consisting of equimolar HF/NaF:

HF(aq) + OH–(aq)    F–(aq) + H2O

F–(aq) + H3O+(aq)    HF(aq) + H2O.

106.

a and d; The conjugate base has one less proton (H+) compared to its acid counterpart.

107. 

[H+]

pH

pOH

[OH–]

0.0070 M HNO30.0070 M

2.15

11.85

1.4 × 10–12 M

3.0 M KOH

3.3 × 10–15 M

14.48

-0.48

3.0 M

377


background image

Chapter 16:  Acids and Bases

108.

NaCl: neutral (Na+ and Cl– are very weak conjugates.)

RbOCl: basic (Rb+ is a very weak conjugate. OCl– is a weak base.)

KI: neutral (K+ and I– are very weak conjugates.)

Ba(ClO4)2: neutral (Ba2+ and ClO4– are very weak conjugates.)

NH4NO3: acidic (NH4+ is a weak acid. NO3– is a very weak conjugate.)

378