PDF문서지식과 교양 13호.pdf

닫기

background image

지식과 교양

Knowledge and Liberal Arts

통권 제 13호, 2023년

교양교육혁신연구센터


background image

background image

3

[기획 주제] 챗 GPT 시대의 교양
❙김상철❙

대학에서의 AI 활용 가이드라인 현황 및 설계 방향 연구
: 생성형 AI(챗 GPT)를 중심으로 ..................................................11

❙송미숙❙

예술과 기술의 결합 : 미디어아트의 차용의 미학 ............................45

❙정옥희❙

인공지능 이미지 생성 과정에서의 심미적 경험 고찰
: 예술교육의 방향성에 대한 논의를 중심으로 ................................69

❙조용림❙

대통령의 국경일 연설문에 나타난 어휘 사용 양상
: 빅카인즈를 활용하여 ................................................................99

[지식과 문화]
❙박봉일❙

성서에 나타난 이방인과 다문화에 대한 현대적 이해와 적용에 관한 고찰
 .............................................................................................. 131

❙심상교❙

정동진독립영화제의 상상력 구조와 의미에 대한 연구
 .............................................................................................. 169

❙어지혜❙

외래어의 형태적·의미적 특성 연구
: 한국어 신문 기사 제목을 중심으로 ........................................... 195

차  례


background image

지식과 교양 Vol. 13

❙유   리❙

고려극장의 세계문화유산적 가치 탐색........................................ 217

[지식과 교육]
❙노성동❙

대학생들의 성적 괴롭힘에 대한 인식과 개선을 위한 교육 프로그램 

개발 ....................................................................................... 243

❙리치아 · 이주희❙

수정델파이 기법을 활용한 중국 대학 무용학과 한당고전무용 교육과정 

개선방안 연구 ......................................................................... 277

❙정혜인 · 김진영❙

강의평가 결과로 본 ‘추천하고 싶은 강의’의 특징
: A대학교 사례를 중심으로 ....................................................... 299

❙최정희 · 구진희❙

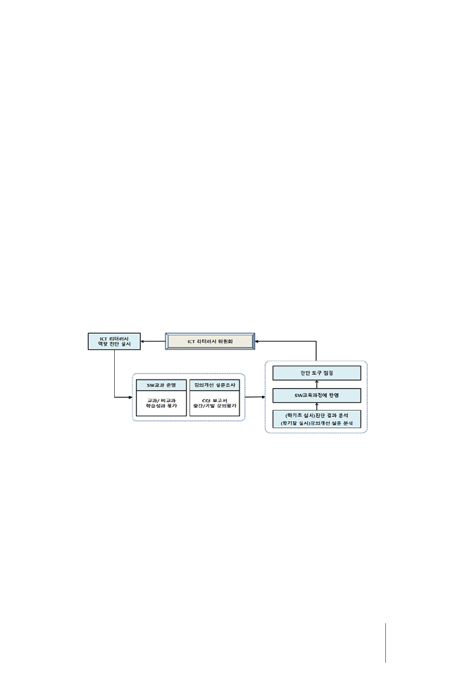
신입생 ICT 리터러시 역량진단을 통한 소프트웨어 기초교육 방안 모색
: M대학교 신입생을 중심으로 .................................................... 323

[지식과 사회]
❙김동기❙

발달장애인의 거주 서비스 욕구와 지원방안에 관한 연구 .............. 345

[지식과 과학]
❙이상호❙

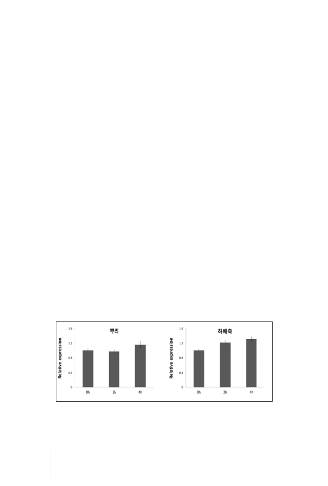
식물의 뿌리와 하배축의 옥신 분포와 굴중성 반응에 관한 연구 
: 애기장대 유식물 모델을 중심으로 ............................................ 371


background image

5

❖교양교육혁신센터 『지식과교양』 논문투고 규정 ....................... 385
❖교양교육혁신센터 『지식과교양』 논문심사 규정 ....................... 395
❖교양교육혁신센터 『지식과교양』 연구윤리 규정 ....................... 399
❖교양교육혁신센터 『지식과교양』 편집위원회 규정 .................... 410


background image

background image

Knowledge and Liberal Arts

VOL 13. 2023

Liberal Arts Innovation Center, Mokwon University

DAEJEON, KOREA


background image

background image

9

[Project Topic] Liberal Arts in the Chat GPT Era
❙Kim, Sang Cheol❙

Current status and future directions of AI utilization guidelines in 

universities ....................................................................................................11

❙Song, Mi Sook❙

Combination of art and technology : The aesthetics of borrowing from 

media art .......................................................................................................45

❙Jeong, Ok Hee❙

Aesthetic Experience in Artificial Intelligence Image Generation Process 

: Focusing on the discussion on the direction of art education ...................69

❙Joe, Yong Lim❙

A Study on the Use of Vocabulary in the President's National Day Speech

: Using BigKinds Platform ...........................................................................99

[Knowledge & Culture]
❙Park, Bong Ill❙

A Study on the Modern Understanding and Application of Strangers and 

Multiculturalism in the Bible .....................................................................131

❙Sim, Sang Gyo❙

A Study on the imaginative structure and meaning of the Jeongdongjin 

Independent Film Festival ..........................................................................169

❙Eo, Ji Hye❙

Analysis on the Morphological and Semantic Characteristics of Loanwords 

: Focused on Korean Newspaper Headlines ..............................................195

TABLE OF CONTENTS


background image

10 

지식과 교양 Vol. 13

❙Yu, Ri❙

Exploring the World Heritage Value of Koryo Theart ..............................217

[Knowledge and Education]
❙Noh, Sung Dong❙

Development of educational program for recognizing and improving 

college students' sexual harassment ...........................................................243

❙Li Qia, Ph.D. · Lee, Ju Hee❙

A Study on the Improvement of the Curriculum for traditional Chinese 

Han-Tang danc in the Department of Dance at Chinese University Using 

the Modified Delphi Techniques ................................................................277

❙Jeong, Hye In · Kim, Jinyoung❙

‘Recommended course’ based on course evaluations

: Focus on A University case ......................................................................299

❙Choi, Jeong Hee · Ku, Jin Hee❙

Exploring Basic Software Education Methods through ICT Literacy 

Competency Diagnosis for College Freshmen ..........................................323

[Knowledge and Society]
❙Kim, Dong Ki❙

A Study on the residential service needs and support measures of people 

with developmental disabilities ..................................................................345

[Knowledge and Science]
❙Lee, Sang Ho❙

Study on the Auxin Distribution and Gravitropic Response of Roots and 

Hypocotyls : Focused on Arabidopsis Seedlings as a Model Plant ..........371


background image

11

대학에서의 AI 활용 가이드라인 현황 및

설계 방향 연구

: 생성형 AI(챗 GPT)를 중심으로*

1. 서론

2022년 11월 30일 오픈 Open AI가 공개한 생성형·대화형 AI(인공지능)

인 Chat GPT(Generative Pre-trained Transformer, 챗 GPT)가 전 세계
적으로 주목받고 있다. 연일 언론과 서점가에서는 거대 언어 모델(Large 
Language Model, LLM) 기반의 대화형 인공지능 챗 GPT에 관한 기사와 
서적들이 쏟아지고 있다. 게다가 챗 GPT가 여러 국가들에서 의사·변호사와 
같은 전문직 자격시험과 대학입학 시험을 통과했다는 뉴스 또한 이어지고 
있다. 과학철학과 신학, 행정학, 사회학, 교육학 등 거의 모든 학문 분야에

김 상 철**

1. 서론
2. 이론적 배경
3. 연구 방법
4. 연구 결과(대학에서의 AI 활용 가이드라인 특징 

비교분석)

5. 결론 및 제언

목  차

* 본 논문은 '챗 GPT 시대의 교양교육의 역할 Part.2'를 주제로 진행되었던 2023년 

제7회 목원대학교 스톡스대학 교양교육혁신 학술대회에서 발표한 원고를 수정·

보완한 것임.

** 한국교육개발원 연구원

https://doi.org/10.54698/kl.2023.13.11


background image

12 

지식과 교양 Vol. 13

서는 인공지능 혹은 챗 GPT를 학술대회와 포럼의 주제로 삼았고, 각종 매
스미디어에서도 관련 내용을 수시로 다루고 있다.1) 이런 거대한 관심은 챗 
GPT가 등장한지 1년도 되지 않은 상황에서 발생했고, 챗 GPT는 두 달 만
에 사용자 1억 명을 넘기며, 인터넷 등장 이후 20년간 볼 수 없었던 증가율
로 기록되었다.

챗 GPT는 챗봇(chatbot)처럼 소통하기에 ‘대화형 인공지능(conversa-

tion AI)’이라고도 하며, ‘GPT’는 Generative Pre-trained Transformer의 
약자이다. 이는 ‘생성하는(Generative)’, ‘미리 학습된(Pre-trained)’, ‘변
환기(Transformer)’라는 의미이며, 마지막에 사용된 ‘변환기’는 ‘인공신경
망’으로도 풀이된다. 이를 종합해보면 ‘미리 학습된 인공신경망’ 혹은 ‘생
성형 사전 학습 변환기’라고 할 수 있으며, 이런 특성에 따라 챗 GPT를 ‘대
화형 인공지능’ 혹은 ‘생성형 인공지능(generative AI)’이라고 칭하기도 한
다.2) 챗 GPT가 주목받는 가장 큰 이유 중 하나는 바로 기존 검색엔진에서 
보여주는 결과 이상의 콘텐츠를 생성하는 데에 있다. 챗 GPT에 검색 혹은 
생성할 내용을 입력하면 기사, 에세이, 소설, 대화문, 블로그 등 다양한 분
야의 콘텐츠가 제공되는 것을 확인할 수 있다. 더 나아가 파이선(Python)과 
같은 프로그래밍 코드와 평가에 대한 문항 또한 전문가적인 수준에서 제시
해준다.3) 이는 AI 기술이 인간에게 쉽고 단순한 작업이나 업무를 대체하는 
정도를 넘어서서 고도의 전문성을 필요로 하는 수준까지 대체 가능하다는 
것을 의미하는 것이므로, 챗 GPT에 대한 열풍이 뜨거울 수밖에 없는 것이
다. 

1) 손화철, 「챗 GPT의 오늘을 묻다」, 『철학과 현실』 137집, 철학문화연구소, 2023, 

86-100쪽.

2) 강동훈, 「챗 지피티(Chat GPT)의 등장과 국어교육의 대응」, 『국어문학』 82집, 

2023, 469-496쪽.

3) 신동광, 「AI 도구를 활용한 중등교사 영어 출제 연수 사례 연구: Chat GPT를 중

심으로」, 『어학연구』 59권 1호, 서울대학교 언어교육원, 2023, 21-42쪽.


background image

13

대학에서의 AI 활용 가이드라인 현황 및 설계 방향 연구┃김상철

챗 GPT(GPT-3.5버전)가 주목받으면서 미국의 구글, 마이크로소프트, 

페이스북, 국내의 네이버, 카카오, 중국의 바이두 등 거대 기업들 또한 유사
한 형태의 대화형 인공지능 개발에 몰두하고 있다. 이러한 대화형 인공지
능은 증기기관, 전기, 컴퓨터, 모바일처럼 모든 사람의 삶과 환경, 그리고 
산업을 변화시킬 보편적인 기술이 될 것이라는 전망이 제기되고 있다.4) 아
울러 이러한 AI 기술의 진화는 교육을 포함하여 사회 전반에 큰 변화를 가
져올 것으로 예측된다.

챗 GPT는 사회 여러 분야에서 많은 변화를 가져오겠지만, 그 가운데 교

육 분야에서도 교수학습의 방법을 혁신하고 개선할 수 있는 중대한 기회가 
될 것으로 전망된다. 이는 엄청난 양의 데이터를 처리하면서 전문가 수준
의 응답을 제공하는 능력을 제공하는 것은 물론이고, 교사와 학생의 상호
작용부터 개별형 맞춤 학습과 평가에 이르기까지 모든 것을 혁신할 수 있
는 가능성이 있다. 반면에 교육 분야에서 챗 GPT를 사용할 때 발생할 수 있
는 문제점과 우려스러운 점 또한 상당히 존재한다. 여기에는 챗 GPT를 활
용하여 과제를 표절하는 문제부터 데이터 프라이버시 및 알고리즘 편향 가
능성과 관련된 윤리적 문제까지 챗 GPT가 교수자와 학습자에게 미칠 수많
은 부작용들이 예상된다.5)

실례로 서울의 한 사립대 A 교수는 학생들에게 각자 집에서 온라인으로 

중간고사를 보면서 각종 자료를 참고할 수 있도록 했더니 ‘챗 GPT’가 알려
준 내용을 그대로 답안지에 적어낸 학생이 상당수여서 기말고사 방식을 변
경하기로 했다. 작년에는 해당 시험의 평균 점수가 12점 만점에 7-8점이었

4) 구본권, 「챗 GPT시대의 필수역량 ‘AI. 리터러시’」, 『KISO JOURNAL』 50호, 한국

인터넷자율정책기구, 2023, 36-39쪽.

5) 노대원·홍미선, 「Chat GPT 글쓰기 표절 대응과 교육적 활용 전략」, 『국어교육연

구』 82집, 국어교육학회, 2023, 71-102쪽.

조재현, “교수들의 반격 ‘기말고사 챗 GPT 쓰면 0점’”, <조선일보>, 2023.06.17.


background image

14 

지식과 교양 Vol. 13

는데 올해 갑자기 10점을 넘었고, 그 배경에 챗 GPT가 있었다는 사실을 파
악했던 것이다. 다른 대학에서는 ‘챗 GPT를 이용해 답을 써냈더니 높은 점
수를 받았다’는 글이 학교 게시판에 올라오자, B 교수가 수강생 전원을 같
은 점수로 처리하기로 했다. B 교수는 “그동안 강의에서 배우지 않은 내용
까지 답안지에 적어낸 학생도 많았다. 기말고사에서는 시험 난도를 크게 
높여 공부 열심히 한 학생과 그렇지 않은 학생을 확실하게 구별하겠다”고 
밝혔다고 한다.6) 따라서 챗 GPT의 잠재된 가능성과 위험성을 모두 면밀히 
검토하여 교육 현장에서의 가이드라인을 엄밀하게 설계하는 것이 그 무엇
보다도 중요해졌다.

챗 GPT의 활용으로 인해 교육 현장에서는 순기능과 부작용이 동시에 

나타나고 있다. 먼저 순기능으로 학습자의 학습 동기를 유발하고, 연구 및 
학습 자료를 수집하며, 학습을 보조하고, 창작과 코딩에 도움을 주며, 교육
소외계층에게 큰 영향을 줄 수 있다. 반면에 이를 오용하거나 남용하게 되
면 거짓 정보를 받아들이게 되고, 관점이 편향적이게 되며, 표절이나 저작
권 저촉과 같은 윤리적인 문제가 발생할 수 있고, 지나치게 의존적이게 되
며, 사회적 관계와 상호 작용이 퇴화되고, 보안 문제가 발생할 염려가 있다.

전종희는 대학교육에서의 챗 GPT의 대응 현황과 현실적인 방안을 탐색

하고자 챗 GPT의 주요 특징과 관련 이슈, 국내·외 대응 현황, 대학교육에서
의 대응 방안을 제시하였으나, 챗 GPT 관련 가이드라인에 대한 종합적인 
분석과 공유를 통해 대학에 유용한 정보와 사례를 제공하지 못한 점을 제
한점으로 꼽았다.7) 이에 본 연구에서는 현재 우리나라 주요 대학에서 제작 
및 배포한 ‘AI 활용 가이드라인’의 특징을 비교 분석해보고, 이를 토대로 대

6)  조재현,  “교수들의  반격  ‘기말고사  챗  GPT  쓰면  0점’”,  <조선일보>, 

20234.06.17.

7) 전종희, 「대학교육의 챗 GPT 대응 현황 및 방안 연구」, 『문화교류와 다문화교육』 

12권 4호, 한국국제문화교류학회, 2023, 517-548쪽.


background image

15

대학에서의 AI 활용 가이드라인 현황 및 설계 방향 연구┃김상철

학이 지향하고 견지할 필요가 있는 AI 활용 가이드라인의 설계 방향을 제시
하고자 한다. 본 연구는 대학에서 급변하고 있는 챗 GPT와 같은 생성형 AI
의 활용 이슈를 파악하여 대학 고유의 최적화된 가이드라인을 설계하는 데
에 일조할 수 있을 것이다.

2. 이론적 배경

1) 챗 GPT의 이해

(1) 생성형 AI
2015년 Greg Brockman, Elon Musk, Ilya Sutskever, John Schul-

man, Sam Altman 등이 인공지능 기술의 발전을 위해 OpenAI를 설립한 
후, 다양한 분야에서 인공지능 기술을 연구 및 개발하고 있다. 챗 GPT는 자
연어 처리작업 성능이 뛰어나며, 기계 번역, 질의응답 시스템, 대화 시스템 
등의 다양한 자연어 처리 응용 분야에서 활용 가능하다.8) 

자연어 처리 응용 분야에서 뛰어난 성능을 보여주는 챗 GPT는 생성형 

인공지능(Generative AI)으로 분류된다. 생성형 인공지능은 빅데이터를 학
습한 것을 통해 시, 소설, 영상, 이미지, 코딩 등 새로운 하나의 콘텐츠를 생
성해낸다. 기존 인공지능이 데이터와 패턴 학습을 바탕으로 대상을 이해하
는 정도의 한계를 가지고 있다면, 생성형 인공지능은 기존 데이터와 새로
운 정보를 비교 및 학습함으로써 스스로 새로운 창작물을 생성 및 제작할 
수 있다는 점이 기존 인공지능과 다른 차별적인 특징이다.9)

생성형 인공지능 서비스에 대한 구체적인 특징을 살펴보면 다음과 같

다. 첫째, 딥러닝(Deep Learning) 기술을 근간으로 한다. 이는 인공신경망 

8) 정제영·조현명·황재운·문명헌·김인재, 『챗 GPT 교육혁명: Chat GPT를 활용한 

하이터치 하이테크 미래교육』, 포르체, 2023.

9) 정윤경, 「챗(Chat) GPT의 이용과 저작권 쟁점 고찰」, 『과학기술과 법』 14권 1호, 

충북대학교 법학연구소, 2023, 141-180쪽.


background image

16 

지식과 교양 Vol. 13

모델(Artificial neural network, ANN), 즉 기계학습과 인지과학에서 생물
학의 신경망(동물의 중추신경계 중 특히 뇌)에서 영감을 얻은 통계학적 학
습 알고리즘을 활용하여 인공 뉴런 학습을 통해 문제를 해결한다. 이러한 
딥러닝 기술을 활용하면 인간이 모든 기준을 제지해주지 않더라도 인공지
능이 스스로 인지하고 추론하며 판단이 가능해진다. ANN은 다양한 문제를 
해결하기 위해 설계되었으므로, 각층이 서로 다른 연산을 수행하는 다층 
구조를 가지고 있으며, 공학, 경제, 금융, 마케팅 분야에서 주식 시장 예측, 
미세먼지 예측 공정 최적화 등 문제 해결 분야에서 활용되고 있다.10) 

둘째, 자연어 처리(Natural Language Processing) 기술이 탁월하다. 

이는 인공지능이 인간의 언어를 이해하고 생성하며 조작할 수 있다는 것
을 의미한다. 다시 말해 자연어 이해(Natural Language Understanding, 
NLU) 기술을 활용하여 문맥에 적합한 단어의 의미를 적절하게 파악 및 변
환함으로써 자연어 생성(Natural Language Generation, NLG) 기술에 바
탕한 적합한 표현을 선택하여 답변이 매끄럽게 작성되도록 만든다. 특히 
NLG는 자연어 생성과정이 내용과 구조 결정, 가독성과 자연스러움과 같은 
요소들이 한 문장에 들어갈 정보 병합 기술인 어그리게이션(Aggregation)
을 통해 맥락에 맞는 어휘 선택과 지시 표현 생성 등을 거처 이루어진다.11)

셋째, 컴퓨터 비전(Comuter Vision) 기술을 갖추고 있다. 이는 디지털 

이미지와 비디오 등의 시각적 데이터에서 의미 있는 정보를 추출하고 해
석하여 특정 작업을 수행하도록 만든다. 이를 통해 이미지의 크기를 조정
하거나 색상을 보정하고 노이즈를 제거하는 등 이미지 개선 및 변형 등의 
작업이 가능해졌으며, 주어진 이미지에서 특정 패턴이나 특징을 찾아내는 

10) KIC캠퍼스 공식 블로그, https://blog.naver.com/it-edu/223026095943, 

2023.09.21.

11) KIC캠퍼스 공식 블로그, https://blog.naver.com/it-edu/223026095943, 

2023.09.21.


background image

17

대학에서의 AI 활용 가이드라인 현황 및 설계 방향 연구┃김상철

Pattern recognize는 얼굴 인식이나 문자 인식 등의 기술 발전으로 이어졌
다. 또한 이는 자율 주행이나 보안 시스템, 의료 진단 등의 분야에서 핵심적
인 역할을 수행할 수 있도록 하고 있다.12) 

넷째, 강화학습(Reinforcement learning) 기술에 바탕한다. 강화학습

은 기계 학습(machine learning)의 일종으로, 기계가 취하는 행동에 서
로 다른 보상(reward)을 제시하여, 보상을 가장 많이 받을 수 있는 방식
이 무엇인지를 스스로 학습하도록 하는 방식이다. 강화 학습은 비유하자
면, 문제를 풀었을 때 채점을 해줌으로써 높은 점수를 얻는 답을 찾는 방
식을 알아내도록 하는 것과 유사하다. 문제를 잘 해결하는 행동을 했을 
때 보상을 해준다는 점에서, 행동주의 심리학의 용어를 따라 강화 학습
(reinforcement learning)이라고 부른다. 이러한 강화 학습은 게임을 해결
하는 인공지능을 만들거나, 기계를 실시간으로 제어하는 등의 분야에 적합
하므로, 자율 주행 차량 개발, 로봇 제어 등의 분야와 지도 학습이나 비지도 
학습과 함께 쓰여서 더 효율적인 프로그램 개발에 활용되기도 한다.13) 

다섯째, 생성적 적대 신경망(Generative Adversarial Networks, GAN) 

기술을 적극 활용한다. GAN은 두 신경망 모델('생성자(Generator)'와 '감
별자(Discriminator)')의 경쟁을 통해 학습하고 결과물을 만들어내며, 이름
처럼 상반된 목적을 갖고 있다. 생성자는 실제 데이터를 학습하고 이를 바
탕으로 거짓 데이터를 생성하며, 실제에 가까운 거짓 데이터를 생성하는 
게 목적이다. 감별자는 생성자가 내놓은 데이터가 실제인지 거짓인지 판별
하도록 학습하며, 생성자의 거짓 데이터에 놀아나지 않는 게 목적이다. 생
성자는 감별자를 속이지 못한 데이터를, 감별자는 생성자에게 속은 데이터
를 입력받아 학습한다. 이 과정이 반복되면서 점점 더 실제에 가까운 거짓 
12) KIC캠퍼스 공식 블로그, https://blog.naver.com/it-edu/223026095943, 

2023.09.21.

13) 서울대학교 AI연구원, https://aiis.snu.ac.kr, 2023.09.21.


background image

18 

지식과 교양 Vol. 13

데이터를 만들 수 있게 됨으로써, 딥페이크를 통해 가짜뉴스 등이 양산되
어 사회적인 문제를 초래하기도 한다.14) 이러한 기술들을 갖춘 생성형 인공
지능 모델은 기존의 인공지능에 비해 혁신적으로 업그레이드됨으로써 더
욱 높은 창의성에 바탕한 결과를 인간에게 제공할 수 있게 되었다.

(2) 대화형 AI
챗 GPT는 생성형 인공지능으로서의 특징과 더불어 대화형 인공지능으

로서의 특징 또한 갖고 있다. ‘대화형 인공지능(Conversational AI)’이란 
“자연어 처리(NLP) 및 생성 기술을 통해 사용자와 인간과 같은 대화를 나
눌 수 있는 인공 지능 시스템을 의미하며, 이러한 시스템은 고객 서비스 챗
봇, 개인 비서 또는 음성 인식 비서 서비스와 같은 다양한 애플리케이션에 
활용될 수 있다. 아울러 대화형 인공지능의 목표는 인간과 기계 간의 커뮤
니케이션을 자동화하고 개선하여 보다 직관적이고 접근하기 쉽게 만드는 
것이다.”15) 최근에는 ‘음성’ 기반의 소통과 더불어 ‘문자’ 기반 방식을 혼합
하여 활용 영역이 확장됨에 따라 챗 GPT를 사람의 음성과 같은 소리와 더
불어 문자를 통합한 소통 방식또한 구현할 수 있게 되었다.

챗 GPT의 ‘검색 방식’과 답안의 ‘제공 형식’을 살펴보면 다음과 같다. 

일반적으로 포털사이트에서 찾고 싶은 정보나 검색어(keyword)를 입력하
면, 이에 관한 결과를 블로그나 뉴스 기사 등의 형태로 확인할 수 있다. ‘검
색 방식’ 차원에서는 주로 단어 형태로 검색어를 입력하며, 검색 결과에 따
라 입력한 검색어를 변경하기도 하고 여러 개의 검색어를 추가 변경하여 
입력하는 과정을 거치기도 한다. 검색 결과의 ‘제공 형식’ 차원에서는 블로

14) BLOTER, 「GAN(생성적 적대 신경망)-진짜 같은 가짜를 만드는 AI」, 2018.06. 

08.

15) 김형민, 「한국어교육에서의 대화형 인공지능 챗봇 적용 가능성 탐색-고급 한국

어 학습자와 Chat GPT의 상호작용 분석을 중심으로」, 『우리어문연구』 76권, 우

리어문학회, 2023, 261-292쪽.


background image

19

대학에서의 AI 활용 가이드라인 현황 및 설계 방향 연구┃김상철

그, 기사 등의 개별 페이지 형식으로 자료가 제시되며, 사용자는 개별적으
로 제시되는 각각의 검색 결과를 하나씩 확인하며 지난한 과정을 거침으로
써 만족스런 정보를 확인할 수 있게 된다.

반면에 챗 GPT 등 대화형 인공지능의 ‘검색 방식’은 결과의 제공 형식 

차원에서 기존의 포털사이트에서 제공하는 방식과 많은 차이가 있다. 이는 
바로 검색 방식 차원에서 문장 형태로 질문이 가능한 점이다. 포털사이트
에서의 검색 방식이 검색어와 같은 단순 단어 입력 방식인 것에 반해 대화
형 인공지능은 사람과 사람 사이에서 일상적으로 대화하듯이 문장 형태로 
자연스럽게 질의하고 답변하는 방식이다. 아울러 사용자가 실수로 오타를 
입력한 경우라도 맥락(context)을 고려하여 인식함으로써 사용자의 의도
에 맞게 답변하기도 하며, 이전에 나눴던 대화 내용을 기억했다가 이를 바
탕으로 이어서 대화를 이어나가기도 한다. 

한편, 검색 결과의 ‘제공 형식’ 차원에서는 완성된 글 형태로 결과를 보

여준다. 포털사이트에서의 검색 결과는 검색어를 여러 가지로 활용하여 검
색했다고 하더라도 그 결과 중 자신이 원하는 정보를 열람하여 선택하며, 
이러한 정보를 취합 및 가공하는 것 또한 사용자가 스스로 해야 한다. 이에 
반해 챗 GPT에서의 검색은 정보를 선택, 취합, 가공하는 과정을 모두 거쳐 
완전한 글의 형태로 결과물을 도출해 줄 수 있다는 점이 포털사이트와 다
른 가장 큰 차별점이다. 아울러 질문을 입력할 때, A4용지 수량이나 20줄 
내외 등의 분량에 맞춰 제시해 달라고 하는 것도 가능하며, 시나 소설, 에세
이, 보고서 등 글의 종류에 따라 다양하게 요구 및 산출될 수 있다는 점 또
한 주목해볼만한 점이다.16) 

2) 챗 GPT의 특징 및 한계

16) 강동훈, 「챗지피티(Chat GPT)의 등장과 국어교육의 대응」, 『국어문학』 82집, 

국어문학회, 2023, 469-496쪽.


background image

20 

지식과 교양 Vol. 13

2022년 11월 30일에 일반 사용자들에게 공개된 챗 GPT, 즉 GPT-3.5는 

“OpenAI에서 만든 AI시스템으로 대화 방식으로 상호 작용하도록 학습”17) 
되었다. 이 모델은 GPT-3.5의 거대 언어 모델 위에 구축되었고, 감독 학습
과 강화 학습 기술을 사용하여 미세 조정되었다. OpenAI는 “Chat GPT는 
대화 형식을 통해 후속 질문에 답하고, 실수를 인정하고, 잘못된 전제에 이
의를 제기하고, 부적절한 요청을 거부할 수 있다”.18)고 안내하였다. 

2023년 3월에 공개된 GPT-4는 챗 GPT가 출시된지 4개월 만에 나온 

업그레이드 버전이며, OpenAI에서는 GPT-3.5보다 훨씬 더 신뢰할 수 있
고, 창의적이며 미묘한 명령까지 처리할 수 있다고 발표하였다. 예를 들어 
GPT-3.5는 미국 변호사 시험에서 100명 중 하위 10%에 해당하는 성적을 
기록한 반면에, GPT-4는 상위 10%을 보였다. 미국의 대학입학자격시험
(SAT) 수학 부문에서도 GPT-4는 GPT-3.5보다 더 높은 성적을 기록하였다. 
또한 GPT-3.5은 문자만 인식 가능했던 반면에, GPT-4는 이미지도 보고 인
지 및 이해할 수 있다. GPT-4는 GPT-3.5보다 8배 많은 약 2만 5,000단어의 
문자처리능력을 보여주기도 한다. GPT-3.5이 영어만 잘했다면, GPT-4는 
한국어를 포함하여 다른 언어 능력도 뛰어나며, 영어는 85.5점, 한국어는 
77점을 받은 것으로 확인되었다.19) 다만 GPT-4는 월 20달러의 비용을 지불
해야만 이용가능하다. GPT-3.5와 GPT-4의 주요 특징을 다음과 같이 정리
해 볼 수 있다.

[표 1] GPT-3.5와 GPT-4의 특징 비교

종류

GPT-3.5

GPT-4

공개시기

2022년 11월

2023년 3월

17) OpenAI, https://platform.openai.com, 2023.09.21.
18) OpenAI, https://openai.com/blog/Chat GPT, 2023.09.21.
19) 이서희, “더 똑똑해진 GPT-4··· 미국 변호사 시험 상위 10% 안에 들었다”, <한

국일보>, 2023.03.16.


background image

21

대학에서의 AI 활용 가이드라인 현황 및 설계 방향 연구┃김상철

매개변수

1,750억 개

비공개(1조 5천억 개로 추정)

인식 가능 명령어

문자

이미지, 문자(단, 결과물은 문자로만)

인식 가능 글 길이

약 3,000개 단어

약 2만 5천개 단어

미국 통합 변호사 시험 성적

하위 10%

상위 10%

한국어 능력 수준

측정 안 됨

정확도 약 77%

플러그인(추가 확장 프로그램)

사용 불가

사용 가능

비용

무료

유료(월 20$)

챗 GPT의 특징과 한계를 챗 GPT 스스로에게 질문(Please tell us the 

main features and limitations of Chat GPT.(Chat GPT의 특징과 한계를 
알려 줘.))하였고, 한글로 번역을 요청한 결과는 다음과 같다.20) 한글로 질문
할 수도 있지만. 영문으로 질문하게 되면 답변 결과가 더 정확하기 때문이다.

Chat GPT의 특징:

1. 문맥 이해 : Chat GPT는 대화의 문맥을 이해할 수 있는 능력을 가지고 있

어, 대부분의 경우 관련된 응답을 제공할 수 있습니다.

2. 다양성 : 이 모델은 다양한 주제를 다룰 수 있습니다. 질문에 대답하거나, 

다양한 주제에 대해 설명을 제공하거나, 권장 사항을 제시하거나, 작성된 
콘텐츠를 생성하거나, 여러 주제에 대해 튜터링하거나, 심지어 스토리텔
링까지 할 수 있습니다.

3. 언어 능력 : Chat GPT는 인상적인 영어 능력을 보여줍니다. 그리고 문법, 

어휘, 관용표현에 대한 탄탄한 이해를 가지고 있습니다.

4. 확장성 : AI로서, Chat GPT는 대량의 동시 대화를 처리할 수 있는 능력을 

가지고 있습니다. 이것은 고객 서비스나 확장성이 필요한 어떠한 응용에
서도 큰 장점이 될 수 있습니다(플러그인 또한 사용 가능).

5. 훈련 데이터 : Chat GPT는 다양한 인터넷 텍스트에 대해 훈련되었습니

다. 그 결과로, 광범위한 스타일, 톤, 그리고 콘텐츠를 가진 출력을 제공
할 수 있습니다.

Chat GPT의 한계:

1. 정보의 부정확성 : Chat GPT는 대체로 신뢰할 수 있지만, 가끔은 부정확

20) 노대원·홍미선, 「Chat GPT 글쓰기 표절 대응과 교육적 활용 전략」, 『국어교육

연구』 82집, 국어교육학회, 2023, 71-102쪽.


background image

22 

지식과 교양 Vol. 13

하거나 시대에 뒤진 정보를 제공할 수 있습니다. 고정된 데이터셋에 대해 
훈련되었으며, 실시간 정보를 접근하거나 이해하는 능력이 없습니다.

2. 개인적인 인식 부재 : Chat GPT는 AI이기 때문에 개인적인 경험이나 감

정이 없습니다. 개인에 대한 데이터에 접근할 수 없으며, 대화 과정에서 
공유된 것 이외에는 알 수 없습니다. 사용자의 개인정보와 기밀성을 존중
하도록 설계되었습니다.

3. 장기 기억 부재 : Chat GPT는 과거의 상호작용을 기억하지 못합니다. 모

델과의 모든 대화는 다른 대화와 독립적입니다.

4. 오해 : 모델은 때때로 복잡한 질문이나 지시를 오해하게 되며, 그 결과로 

관련 없거나 잘못된 답변을 제공할 수 있습니다.

5. 언어 제한 : Chat GPT는 영어에 대해 확실한 지식을 가지고 있지만, 다른 

언어에 대해서는 그렇게 유능하지 않습니다.

6. 부적절한 콘텐츠 생성 가능성 : 이를 방지하기 위한 조치가 있지만, Chat 

GPT는 가끔 부적절한 요청을 생성하거나 거부하지 않을 수 있습니다.21) 

살펴보았듯이 챗 GPT는 장점도 있지만, 그 한계 또한 분명하다. 즉 챗 

GPT는 OpenAI에서 사전 학습된 거대 언어 모델이지만, 그 답변이 모두 최
적화되었다고 볼 수는 없다. 특정한 분야에서 더 나은 결과를 기대하기 위
해서는 미세조정 과정이 필요하고, 평가를 시행하여 챗 GPT 버전의 성능이 
얼마나 개선되었는지를 살펴보며, 추가적인 개선이 필요하다면 재차 미세
조정을 하여 성능을 향상시키게 된다. 이는 단어 수준의 대화 생성 능력과 
학습한 데이터에 포함된 다양한 분야의 문서와 데이터를 바탕으로 사용자
가 질문한 내용에 대한 답변이 최대한 정확하고 자연스럽게 생성되어 제공
되도록 한다. 다만, 생성되는 대화는 문장 구조나 문맥을 완전히 이해한 수
준은 아닐 수 있으므로, 특정한 문맥이나 상황에 대한 답변이 부적절하게 
생성될 수 있다는 점도 유의할 필요가 있다.22)

21) 노대원·홍미선(2023)이 GPT-4(Chat GPT May 12 Version)로 검색한 결과를 제

시함.

22) 정제영·조현명·황재운·문명헌·김인재, 『챗 GPT 교육혁명: Chat GPT를 활용한 


background image

23

대학에서의 AI 활용 가이드라인 현황 및 설계 방향 연구┃김상철

최근 OpenAI에서는 챗 GPT에 외부 서비스와 정보를 연결하여 사용

할 수 있는 ‘플러그인(plugin)’ 기능을 추가하였다. 이는 챗 GPT 안에 외부 
서비스를 연결하여 기능을 업그레이드하는 일종의 추가 확장 소프트웨어
를 의미한다. 최신의 정보 검색이 가능하도록 자체 ‘웹 브라우저’ 플러그인
을 적용한 챗 GPT는 실시간 검색을 바탕으로 이전보다 방대한 정보를 제
공할 수 있게 되었다.23) GPT-4는 유료이지만 GPT-3.5이 하지 못하는 ‘플러
그인’ 서비스 또한 갖추고 있다. 이를 활용하면 여행을 가고자 할 때 항공권
과 호텔까지 예약할 수 있다. 즉 GPT-4의 플로그인 스토어(Plugin store)에 
Expedia(항공권 및 호텔 예약 사이트) 앱을 입력하여 등록한 후, “10월 13
일에 뉴욕을 가고 싶다”라고 입력하면 항공편과 호텔 종류를 제시해주고 
이에 대한 예약까지 가능하게 된다. 이는 기존의 포털사이트에서 정보 검
색에서 그치는 것을 넘어서서 명령한 값이 ‘실행’하게 되는 시대로 변하게 
되었음을 보여준다. GPT-4는 시각, 청각 등의 여러 인터페이스를 통해 정
보를 주고받는 멀티모달(Multimodal) AI로서, 다양한 플러그인(Plugins)을 
활용할 수 있게 됨으로써 인간의 일상에 상당한 영향을 미치게 될 것이다. 
또한 이러한 챗 GPT의 학문과 사회를 초월한 ‘확장성’과 인간 일상에 대한 
직접적인 ‘실행성’은 인간의 미래와 더불어 교육에도 유의미한 파급이 예
상된다.

3) 챗 GPT 활용 교육의 순기능과 문제

(1) 챗 GPT 활용 교육의 순기능
챗 GPT는 일상생활뿐만 아니라, 교육에도 상당한 영향을 미칠 것이며, 

그에 대한 기대효과도 클 것으로 예상된다. 먼저 챗 GPT가 교육에 어떤 긍

하이터치 하이테크 미래교육』, 포르체, 2023.

23) 임성호, “챗 GPT에 붙은 ‘플러그인’, 세계 AI 서비스 생태계 바꿀까”, 〈연합뉴

스〉, 2023.04.11.


background image

24 

지식과 교양 Vol. 13

정적인 기능을 부여할 수 있는지에 대해 살펴보면 다음과 같다.

첫째, 학습자의 학습 동기를 유발할 수 있다. 대화형 인공지능 챗봇을 

통해 원하는 답변을 1회에 한해 얻게 되는 것이 아니라, 질문을 이어서 구
체적으로 연속해서 묻고, 그에 대한 답변이 더욱 상세하게 제시됨으로써 
만족감 또한 수반될 수 있기에 학습에 대한 관심과 흥미를 유발하게 될 것
이다.

둘째, 연구 또는 학습 관련 자료를 수집하고 찾는데 도움을 줄 수 있다. 

교수자나 학습자 모두 연구와 과제 수행을 위해 책과 논문, 연구자료를 각
각 검색하는 것이 아닌, 한 번에 관련 자료를 수집 및 정리까지 지원받을 수 
있게 되므로, 자료 수집을 위한 시간과 노력을 줄여줄 수 있다.

셋째, 학습자의 학습을 보조하는 역할이 가능하므로 독학을 할 수 있다. 

외국어 쓰기, 외국어 말하기, 한국어로 된 과제 등 혼자 스스로 학습하는 학
습자에게 좋은 교사가 될 수 있다. 예를 들어 작문, 어휘, 문법 등의 오류를 
찾거나 적절한 표현을 제시해 줄 수 있으므로 이러한 상호작용에 따른 외
국어 학습 능력을 제고하고,24) 향후 학습에 대한 구체적인 계획까지 도움을 
받을 수 있다.

넷째, 창작하는 데에 도움을 줄 수 있다. 챗 GPT는 앞서 살펴보았듯이, 

시나 소설, 에세이 등의 창작이 가능하며, 간단한 영화 시나리오나 드라마 
대본까지 제작 가능하다. 또한 특정 말투나 문체를 사용하도록 할 수 있고, 
특정 주제에 대한 글을 작성하게 할 수도 있어서, 관련 전공자에게 참고가 
될 수 있다.25)

다섯째, 프로그램 코딩 또한 도움을 줄 수 있다. 전직 하버드 대학교 컴

24) 차민영·임희주, 「챗 GPT의 영어 교육적 활용가능성에 대한 대학 교수자 인식 연

구」, 『문화와 융합』 45권 5호, 한국문화융합학회, 2023, 109-118쪽.

25) 윤옥한, 「Chat GPT 등장과 교양교육의 방향 탐색」, 『한국콘텐츠학회논문지』 

23권 5호, 한국콘텐츠학회, 2023, 86-96쪽.


background image

25

대학에서의 AI 활용 가이드라인 현황 및 설계 방향 연구┃김상철

퓨터과학(CS)과 교수, 전 구글 엔지니어링 디렉터, 전 애플 엔지니어링 리
드 등의 경력을 보유한 Matt Welsh는 2023년 1월 자신의 아티클에서 “프로
그래밍 종말이 코앞”이라고 주장하며, 늦어도 5-10년 내, 사람이 텍스트를 
입력하면 AI가 대신 코드를 작성해주는 일명 노코딩 시대가 올 것이라고 말
했다.26) 현재 챗 GPT가 코딩 또한 가능하므로 노코딩 시대는 이미 시작된 
것으로 볼 수 있다.

여섯째, 교육소외계층에게 많은 도움을 줄 수 있다. 교육소외계층이란 

특수교육 대상자, 학교부적응 및 학습 부진 학생, 저소득층 자녀, 한부모가
정, 농어촌 지역 학생, 저학력 성인 집단, 외국인 근로자 자녀, 새터민 자녀, 
장애인, 다문화가정자녀, 결혼 이민자 등의 교육복지가 필요한 대상을 지
칭한다.27) 이들이 교육에서 소외되는 것을 예방하는 데에 챗 GPT가 상당한 
도움이 될 것으로 사료된다.

(2) 챗 GPT 활용 교육의 문제
챗 GPT는 교육에 긍정적인 기능을 부여하는 반면에, 부정적인 영향 또

한 미침으로써 문제 또한 발생될 수 있다. 이를 살펴보면 다음과 같다.

첫째, 답변을 무분별하게 받아들이게 되면 거짓 정보를 구분할 수 없게 

된다. 학습자가 정보의 진의 여부를 확인할 수 있어야 하는데, 챗 GPT가 할
루시네이션(hallucination, 환각) 즉, 엉터리 대답을 제시하게 되는 경우가 
있기에, 관련 분야의 전문가가 아니라면 이를 구별하기 어려운 경우도 발
생하게 된다.

둘째, 답변이 편향적으로 도출되어 학습자의 관점 또한 편향적이게 될 

수 있다. 예를 들어, 남녀 평등에 관한 문제, 국가 간의 영토 분쟁에 관한 문

26) 요즘IT, “프로그래밍의 종말”, https://yozm.wishket.com/magazine/

detail/1873/, 2023.09.21.

27) 김상철, 「방송중·고 학습경험인정제 이수인정평가체제 개선 방안 연구」, 『교육

발전』 42권 2호, 서원대학교 사범대학 부설 교육연구소, 2022, 225-257쪽.


background image

26 

지식과 교양 Vol. 13

제 등에 대해 답변이 편향적으로 제시될 경우에 학습자가 이를 무비판적으
로 수용하게 된다면 학습자의 관점이 편성성을 보이게 될 염려가 있다.

셋째, 표절이나 저작권 저촉과 같은 윤리적인 문제가 발생할 수 있다. 

학습자가 챗 GPT의 답변에 지나치게 의존하여 과제를 수행할 경우, 교수자
는 챗 GPT의 표절을 정확하게 걸러내는 시스템이 완전하지 않다면, 표절인 
과제를 정당하게 제출한 과제와 동일한 선상에서 평가를 하게 됨으로써 공
정하지 못한 결과를 낳게 될 수 있다. 아울러 답변 내용을 그대로 활용하게 
되면 저작권 저촉 문제 또한 야기될 수 있다.

넷째, 지나치게 의존하게 될 수 있다. 챗 GPT에서 다양하고 풍부한 답

변을 얻게 됨으로써 학습자는 좀더 다양하고 새로운 방법이나 체험을 통해 
학습하려고 하지 않고, 챗 GPT만을 의존하게 되는 경향을 보이게 될 수 있
다. 그렇게 된다면 학생이 스스로 생각하고 비판적인 사유를 하며 창의성
을 발휘하는 역량이 감퇴될 수 있다.

다섯째, 사회적 관계와 상호 작용이 퇴화될 수 있다. 학습자들이 팀프로

젝트를 수행한다거나 함께 문제를 해결해 나가야 하는 과제를 수행할 기회
가 줄어들 수 있고, 혼자서 챗 GPT하고만 문제를 해결하려고 하게 된다면, 
학습자 간의 상호작용뿐만 아니라, 교수자와의 상호작용 또한 감소될 수 
있다. 이는 더 나아가 사회적 관계와 정서적 발달에 까지 영향을 미칠 수 있
다.

여섯째, 보안 문제가 발생할 수 있다. 교수자 혹은 학습자가 보다 정확

한 답변을 얻기 위해 대외 유출이 금지된 자료나 개인정보를 챗 GPT에 문
의해보거나 검토를 받게 될 경우, 해당 데이터는 챗 GPT 서버에 저장되어 
자신도 모르는 사이에 관련 정보가 모두에게 노출되는 문제가 발생될 수 
있다. 

살펴보았듯이, 챗 GPT를 활용한 교육이 긍정적인 영향을 미칠 수도 있


background image

27

대학에서의 AI 활용 가이드라인 현황 및 설계 방향 연구┃김상철

는 반면에, 부정적인 문제 또한 수반될 수 있음을 염두에 둘 필요가 있다. 
이는 국내 대학에서도 주목하고 있는 사실이며, 이러한 양날의 칼과 같은 
챗 GPT를 최대한 순기능 측면에서 사용하기 위해 대학별로 AI 활용 가이드
라인을 제작 및 배포하고 있다. .

3. 연구 방법

국내 대학에서 챗 GPT를 비롯한 AI(인공지능) 활용 가이드라인을 제작 

및 배포한 것은 2023년 3월 16일 고려대학교가 최초라 할 수 있다.28) 그 후 
2023년 9월 1일을 기준으로 Google 웹사이트(google.co.kr)에서 “대학 AI 
활용 가이드라인”으로 검색한 결과, 약 10여 개 이상의 대학에서 자체적으
로 인공지능 활용 가이드라인을 제작하여 교수자와 학습자에게 공유했음
이 확인되었다. 이에 본 연구에서는 Google 웹사이트에서 검색되고, 해당 
대학의 웹사이트에 게시되어 누구라도 확인 가능한 ‘AI 활용 가이드라인’
을 분석 대상으로 삼았다. 그 결과, 홈페이지에 명문화된 형태가 아니거나, 
게시되지 않은 대학들과 가이드라인이 유사한 대학들을 제외하고, 총 6개 
대학을 선정하게 되었으며, 각 대학의 이름은 가명으로 처리하였다. 따라
서 본 연구의 목적은 각 대학에서 갖추고 있는 가이드라인의 특징을 키워
드로 유목화하여 대학별로 비교 분석하고, 이를 통해 대학이 지향하고 견
지할 필요가 있는 AI 활용 가이드라인의 설계 방향을 제시하고자 한다. 

4. 연구 결과(대학에서의 AI 활용 가이드라인 특징 비교 분석)

1) A대학

28) 이현건, “고려대, 국내 대학 최초 Chat GPT 활용 가이드라인 제정”,  <대학지

성 In&Out>, 2023.03.16. ; 이보다 앞서 2023년 3월 2일에 국민대는 국내 대

학에서 최초로 인공지능 활용 가이드라인을 발표한 것으로 확인되었는데, 이

는 가이드라인이라기보다는 ‘윤리강령’을 가까운 것으로 보도되었다, 한겨레, 

2023.02.23.


background image

28 

지식과 교양 Vol. 13

A대학에서는 ‘AI 활용 가이드라인’을 ‘인공지능 교수학습 활용 가이드

라인’이라는 명칭으로 제작 및 배포하였다. 이는 총 10가지 강령 형식으로 
구성되어 있으며 주요 특징은 다음과 같다. 먼저, 인공지능의 원리를 파악
하되 맹신하거나 거부하지 말고, 정보를 선별하는 것은 본인의 책임임을 
강조하였다. 둘째, 인공지능이 창의적 인재 육성이라는 대학 고유의 목적
을 훼손하지 않도록 하고, 새로운 학습도구로 도입하는 것을 적극 탐색하
며, 혁신적인 학습 방식을 찾도록 권고하였다. 셋째, 인공지능의 사용 여부
는 교수자가 강요하는 것이 아니라 교수자와 학습자가 상호 합의하여 결정
할 것을 제시하였고, 인공지능의 결과물을 비판적으로 수용할 필요가 있음
을 규정하였다. 넷째, 과제 제출 시에 인공지능 활용 여부에 명확히 밝힐 필
요가 있다는 것과 인공지능 활용에 있어서 창의적으로 질문하고 논리적으
로 비평하는 것이 본인의 지성임을 역설하였다.

A대학은 인공지능의 기본 원리에 대한 이해, 맹신 금지, 정보 선별, 진

실 확인, 대학 목적 견지, 학습도구 활용, 새로운 학습 방식 탐색, 교수자와 
학습자의 상호 합의를 통한 사용, 결과에 대한 비판적 검토, 표절 등의 문제
에 대한 윤리 엄수, 창의성 함양 지향 등을 키워드로 ‘AI 활용 가이드라인’
을 구성한 것으로 분석된다.

2) B대학

B대학은 ‘AI 활용 가이드라인’을 ‘생성형 AI 교수 학습 기본 활용 가이

드라인’이라는 명칭으로 제작 및 배포하였다. 이는 크게 ‘생성형 AI에 대한 
소개’와 ‘교수 학습 활용 권고사항’으로 구분되어 제시되었으며, 주요 특징
은 다음과 같다. 먼저, 생성형 AI의 정의를 밝히며, 대표적 생성형 AI는 챗 
GPT로 문서를 창작하는데 활용되고 있고, 생성형 AI는 문자, 이미지, 영
상, 소리 등 다양한 자료를 활용하여 창작하는 멀티 모달 AI(Multi Modal 
Artificial Intelligence)로 발전할 것으로 예상하는 등의 생성형 AI의 활용 


background image

29

대학에서의 AI 활용 가이드라인 현황 및 설계 방향 연구┃김상철

및 발전 방향을 제시하였다. 

다음으로, ‘교수 학습 활용 권고사항’에서는 먼저, ‘교수자’와 ‘학습자’

가 생성형 AI의 교수학습 활용에 대해 논의하고 합의사항을 준수하며, 결
과를 비판적으로 검토하고 윤리적이며 책임감 있게 활용할 것을 강조하였
다. 둘째, 인공지능의 원리를 이해하고 사회 변화에 유연하게 대응하며, 대
학의 사명과 가치, 목표에 부합하도록 하고, 자료를 투명하게 공개하며 학
문 공동체의 발전에 기여하고, AI의 한계와 가능성에 대해 인식하며, 교수
학습의 질 개선을 위해 노력할 것을 강조하였다.

특히 ‘교수 학습 활용 권고사항’은 ‘교수자’와 ‘학습자’를 구분하여 구체

적인 가이드라인을 다음과 같이 제시하였다. 먼저 ‘교수자’부터 살펴보면, 
교수자는 AI의 학술 윤리적 활용에 대해 학습자와 논의 및 합의하고 학습자
에게 투명하게 공유하며, 학습자에게 결과물을 직접 검토하고 선별적으로 
사용하며, 사용에 따른 책임이 있음을 안내해주어야 한다. 아울러 생성형 
AI 이용 여부에 신뢰할 수 있는 검증 시스템이 부재하므로 검증 시스템은 
참고용으로만 활용하고, 다양한 평가 방식을 도입하여 평가의 공정성 확립
에 힘써야 함을 강조하였다.

둘째, ‘학습자’ 차원에서 살펴보면, 학습자는 AI를 윤리적으로 활용하

고, AI가 대학 교육에 미치는 영향과 그 한계 및 부정확성을 이해하며, 이용
이 허용되지 않는다면 활용하지 말 것을 명시하였다. 아울러 개인정보 및 
연구 기밀 사항은 다루지 말고, 표절하지 말며, 결과물을 반드시 검토하되 
문제의 책임은 학습자에 있다는 점을 역설하였다.

B대학은 인공지능의 기본 원리에 대한 이해, 진실 확인, 대학 목적 견

지, 학문 공동체 발전 기여 방안 탐색, 한계와 가능성 인식, 교수 학습의 질 
개선, 교수자와 학습자의 상호 합의를 통한 사용, 선별 사용, 사용자 책임, 
검증 시스템 참고용으로 활용, 결과에 대한 비판적 검토, 평가에 대한 공정


background image

30 

지식과 교양 Vol. 13

성 확립, 표절 등의 문제에 대한 윤리 엄수, 보안 철저 등을 키워드로 ‘AI 활
용 가이드라인’을 구성한 것으로 분석된다.

3) C대학

C대학은 ‘AI 활용 가이드라인’을 ‘생성형 AI 활용 가이드라인’이라는 명

칭으로 제작 및 배포하였다. 이는 ‘생성형 AI 소개’, ‘생성형 AI 활용이 교육
에 미치는 긍정적인 측면’, ‘생성형 AI 활용이 교육에 미치는 부정적인 측
면’, ‘생성형 AI의 활용 옵션’, ‘교수자 및 학습자 공통 가이드라인’, ‘교수자
용 가이드라인’, ‘학습자용 가이드라인’의 일곱 가지로 구성되었으며, 주요 
특징은 다음과 같다. 먼저, 생성형 AI의 정의를 밝히며, 생성형 AI 활용이 
교육에 미치는 긍정적인 측면으로 다양한 콘텐츠를 쉽게 생성하고, 대화형
으로 답변을 얻을 수 있으며, 창조적인 일이 수행가능하고, 번역, 요약, 합
성 등의 다양한 분야에서 활용가능하면서 맞춤형 및 상호작용 가능한 콘텐
츠를 제공하여 학습 경험을 향상시킬 수 있음을 강조하였다. 반면에 생성형 
AI 활용이 교육에 미치는 부정적인 측면으로 AI에 지나치게 의존하게 되면 
비판적 사고 능력, 창의력, 문제해결능력이 저하되고, 표절 등의 문제가 발
생될 수 있으며, 부정확한 답변이나 편향된 데이터를 습득할 수 있음을 명
시하였다.

‘생성형 AI의 활용 옵션’으로 ‘생성형 AI 사용금지’, ‘교수자의 사전 승인 

또는 출처 표기 후 생성형 AI 사용 가능’, ‘자유롭게 생성형 AI 사용 가능’을 
제시하였는데, 특히 텍스트 생성형 AI를 활용한 경우의 예시와 이미지 생
성형 AI를 활용한 경우의 예시를 구체적으로 제시한 것이 특징적이다. ‘교
수자 및 학습자 공통 가이드라인’으로 프롬프트 활용 방법을 숙지하고, 최
신 동향을 파악하며, 신뢰성 있는 정보원을 통해 결과를 맹신하지 말고 재
확인할 것을 주문하였다. ‘교수자용 가이드라인’에서는 수업과정에서의 AI 
사용여부를 최종 결정하여 활용 지침을 강의계획서에 명시하고, 필요시에 


background image

31

대학에서의 AI 활용 가이드라인 현황 및 설계 방향 연구┃김상철

사용가능한 생성형 AI목록을 제공하며, 장점과 한계, 표절과 부정행위에 
대해 설명할 것을 권고하였다. ‘학습자용 가이드라인’에서는 결과물의 책
임은 학습자에게 있음을 인지하고, 결과의 사실여부를 확인하며, 교수자가 
제시한 지침을 숙지할 것을 규정하였다.

C대학은 인공지능의 기본 원리에 대한 이해, 진실 확인, 맹신 금지, 한

계와 가능성 인식, 교육에 미치는 긍정적·부정적 측면, 강의계획서에 활용 
내용 명시, 교수자와 학습자의 공통 가이드라인 및 개별 가이드라인, 출처 
표기 예시, 선별 사용, 사용자 책임, 결과에 대한 비판적 검토, 표절 등의 문
제에 대한 윤리 엄수 등을 키워드로 ‘AI 활용 가이드라인’을 구성한 것으로 
분석된다.

4) D대학

D대학은 ‘AI 활용 가이드라인’을 ‘교수·학습 AI 활용 가이드라인’이라는 

명칭으로 제작 및 배포하였다. 이는 ‘AI 활용 원칙’, ‘AI 활용에 대한 우리
의 다짐’으로 크게 구성하였고, AI 활용 원칙과 선언에 대한 상세설명으로 
‘(지성) Intelligence: 나의 지성을 위한 AI 활용’, ‘(창의성) Creativity: 나의 
창의성을 위한 AI 활용’, ‘(인간성) Humanity: 상호존중과 협의를 통한 AI 
활용’, ‘(다양성) Diversity: 개성과 다양성 존중을 통한 AI 활용’, ‘(공공성) 
Publicity: 공익 추구를 바탕으로 한 AI 활용’, ‘(책임성) Responsibility: 안
전한 교육환경 보장을 위한 AI 활용’의 여섯 가지로 제시하였다.

‘AI 활용 원칙과 선언’에 대해 살펴보면, 먼저 ‘지성’ 부문에서는 자기 

주도적 지식 탐구와 지적 능력 개발을 위한 도구로 AI를 활용하고, ‘창의성’ 
부문에서는 지식과 경험을 비판적으로 결합하여 창의적으로 AI를 활용해
야 함을 강조하였다. ‘인간성’ 부문에서는 존중과 협의를 바탕으로 상호성
장을 돕는 방향으로 AI를 활용하고, ‘다양성’ 부문에서는 개성과 다양성을 
보장받을 수 있도록 AI를 활용할 것을 명시하였다. ‘공공성’ 부문에서는 개


background image

32 

지식과 교양 Vol. 13

인의 행복과 사회의 공익 추구를 위한 도구로 AI를 활용하고, ‘책임성’ 부문
에서는 교육적 윤리를 바탕으로 책임성 있는 자세로 AI를 활용해야 함을 규
정하였다.

D대학은 인공지능에 대한 활용 원칙, 지성과 창의성을 위한 도구 활용, 

교수자와 학습자의 상호존중과 협의, 인간의 존엄성 견지, 개성과 다양성 
존중, 공익 추구, 진실 확인, 맹신 금지, 한계와 가능성 인식, 대학 교육의 
목적 부합, 윤리적 책임, 비판적 검토, 교육에 미치는 긍정적·부정적 측면, 
강의계획서에 활용 내용 명시, 교수·학습의 공정한 기회 제공, 사회의 공익 
추구, 개인의 행복 추구, 사회에 긍정적인 영향, 사용자 책임, 보안 철저 등
을 키워드로 ‘AI 활용 가이드라인’을 구성한 것으로 분석된다.

5) E대학

E대학은 ‘AI 활용 가이드라인’을 ‘생성형 AI 활용 윤리지침’이라는 명칭

으로 제작 및 배포하였다. 이는 ‘AI 활용 방향’, ‘학습자를 위한 AI 활용 윤리 
지침’, ‘AI 활용 윤리지침’으로 구성했으며, ‘AI 활용 방향’에서는 생성형 AI
의 정의부터 맞춤형 학습 지원, 실시간 피드백 제공을 통한 학습 과정 개선, 
교수자의 교육 자료 개발, 창작활동의 보조수단, 학습자 간 협업과 토론 지
원 등에 사용될 수 있기에 교육의 새로운 변화를 가져올 수 있는 생성형 AI 
활용의 순기능에 대해 제시하였다.

‘학습자를 위한 AI 활용 윤리 지침’에서는 학습자의 학습 지원 도구로 

활용될 수 있지만, 학문적 진실성을 위반하거나 공정하지 못한 학습 결과
를 초래할 수 있고, 부정확하거나 왜곡된 정보가 제공될 수 있으므로 답변
의 정확성과 신뢰성을 확인하고, 비판적·윤리적으로 평가할 수 있는 역량
을 함양할 필요가 있음을 강조하였다. 이와 함께 ‘올바른 AI 활용을 위한 체
크리스트’를 한글과 영문 두 가지 버전으로 고안하여 한국 학생뿐만 아니
라 외국 유학생들 또한 생성형 AI 활용을 스스로 점검해 볼 수 있도록 하였


background image

33

대학에서의 AI 활용 가이드라인 현황 및 설계 방향 연구┃김상철

다.

‘AI 활용 윤리지침’에서는 먼저, 대학교육 목표 실현을 위해 학문적 수

월성과 교육의 본질을 강조하고, 이와 관련한 윤리적 활용을 위한 가이드
라인을 제시하였다. 둘째, 효과적·효율적 학습 지원을 위해 학습자 중심 교
육과 개별화 맞춤형 교육을 제시하고, 문제의 창의적 해결을 위해 AI를 활
용하는지 등에 대한 가이드라인을 명시하였다. 셋째, 윤리적·비판적 활용
을 위해 학문적 정직성과 윤리적 민감성을 규정하였고, 이에 대해 인지하
고 반성적 노력을 하고 있는지에 대해 역설하였다. 넷째, 상호협력과 다양
성 존중을 위해 교수자와 학습자가 생성형 AI 활용과 기술에 대한 변화를 
능동적으로 수용하고, 서로 상호협력하며 다양성을 존중하고, 창의적·협력
적 문제해결을 지원하는 방안을 모색할 것을 주문하였다. 

E대학은 생성형 인공지능에 대한 이해, 맞춤형 학습 지원, 학습 과정 개

선, 교육 자료 개발, 창작 활동, 협업 및 토론 지원, 정확성과 신뢰성 검토, 
비판적·윤리적 평가 및 활용, 올바른 AI 활용을 위한 체크리스트, 대학 교육
의 목표 부합, 효과적·효율적 지원, 교수자와 학습자의 상호협력과 존중, 창
의적·협력적 문제해결 지원 등을 키워드로 ‘AI 활용 가이드라인’을 구성한 
것으로 분석된다.

6) F대학

F대학은 ‘AI 활용 가이드라인’을 ‘Chat GPT등 AI의 기본 활용 가이드

라인’이라는 명칭으로 제작 및 배포하였다. 이는 ‘Chat GPT란 무엇인가?’, 
‘Chat GPT 등 생성형 AI에 대한 기본 활용 방향’, ‘Chat GPT 등 생성형 AI
에 대한 기본 활용 가이드라인’으로 구성하여 제시하였다. 

먼저, ‘Chat GPT란 무엇인가?’에서는 생성형 인공지능과 챗 GPT의 개

념, 장점 등에 대해 소개하였고, ‘Chat GPT 등 생성형 AI에 대한 기본 활용 
방향’에서는 학습자의 학습 효과를 높이고 긍정적인 교육 경험을 위해 챗 


background image

34 

지식과 교양 Vol. 13

GPT와 같은 생성형 AI를 활용할 수 있는 권리가 보장되어야 함을 강조하였
다. 다만 기본적인 가이드라인이 필요하며, 교수·학습에 부정적인 영향으
로 지적될 수 있는 표절 등의 학문적 진실성 위반, 비판적 사고 능력, 창의
적 사고 능력, 문제해결 능력 저하, 부정확하고 편향된 정보 습득, 고착화된 
고정관념의 강화 등을 경계할 필요가 있음을 규정하였다. 따라서 생성형 AI
의 적극적인 활용에 대해서는 권고하되, 학습 목표에 따라 교수자가 생성
형 AI 허용 여부를 최종 결정하고, 강의계획서에 그 활용 원칙을 명시하여 
학습자들에게 명확하게 전달될 수 있도록 해야 함을 역설하였다.

‘Chat GPT 등 생성형 AI에 대한 기본 활용 가이드라인’에서는 챗 GPT 

이용 여부를 표절 방지 프로그램(Turninit / Hugging Face / GPTZero / 
CrossPlag 등과 같은 AI Detection Tool)을 이용하여 기술적으로 탐지할 
수 있으나 완벽하게 검출하는 것은 불가능하므로, 표절 등에 대한 윤리 교
육을 실시할 필요가 있음을 명시하였다. 그리고 챗 GPT는 잘못된 답변을 
할 수 있으므로 학습자가 비판적 사고 능력을 개발할 필요가 있으며, 잘못
된 정보를 제공할 확률이 있으므로 교수자는 경험적 데이터 수집 및 분석
이 필요한 과제를 학습자에게 부여하는 방안을 권고하였다. 마지막으로 과
제 부여 시에 동료 및 교수자의 피드백을 어떻게 반영했는지에 대한 전반
적인 과정을 상세하게 기재하는 것에 대한 독려가 필요함을 강조하였다.

F대학은 생성형 인공지능에 대한 개념과 특징, 학습자의 활용 권리 보

장, 가이드라인 제시, 표절, 비판적·창의적 사고 및 문제해결 능력 저하, 부
정확하고 편향된 정보 등에 대한 부정적인 영향 경계, 교수자가 강의계획
서 등을 통해 학습자에게 AI 활용 원칙 전달 및 허용 여부 결정, 표절 방지 
프로그램을 활용하되 윤리 교육 실시, 거짓 정보 판별, 경험적 데이터 수집 
및 분석 과제 제시, 피드백에 대한 전반적인 과정을 기재한 과제 제출 독려 
등을 키워드로 ‘AI 활용 가이드라인’을 구성한 것으로 분석된다.


background image

35

대학에서의 AI 활용 가이드라인 현황 및 설계 방향 연구┃김상철

상술된 6개 대학에서 제시한 AI 활용 가이드라인의 특징을 주요 키워드

로 유목화하여 제시하면 다음의 표와 같다.

[표 2] 대학별 AI 활용 가이드라인 특징 비교

구분

A대학

(AI 교수

학습활용 

가이드

라인)

B대학

(생성형 

AI 교수 

학습기본 

활용

가이드

라인)

C대학

(생성형 

AI 활용 

가이드

라인)

D대학

(교수학습 

AI활용 

가이드

라인)

E대학

(생성형 

AI 활용 

윤리

지침)

F대학

(Chat 

GPT 등 AI

의 

기본 활용 

가이드

라인)

AI  개념, 정의, 이

O

O

O

O

비판적 검토

(맹신 금지, 정보 선별) 

O

O

O

O

O

O

대학 목적 부합

O

O

O

학습도구 활용

O

O

O

새로운 학습 방식

탐색

O

교수자와 학습자의 

상호 합의

O

O

O

O

O

윤리 엄수

O

O

O

O

O

O

보안 철저

O

O

사용자 책임

O

O

O

O

검증시스템 활용

O

O

공정성 확립

O

O

교육에 미치는 

긍정적·부정적 측면

O

O

O

O

강의계획서에 

내용 명시

O

O

O

교수자 및 

학습자 개별 

가이드라인

O

O

출처표기 예시

O

인간의 존엄성, 

개성, 다양성 존중

O

O

공익 추구

O


background image

36 

지식과 교양 Vol. 13

올바른 AI 활용을 

위한 체크리스트

O

AI 활용 권리 보장

O

윤리 교육

O

과제 제출 방안

O

강화가 필요한 역량

(창의적·비판적 사고능

력, 문제해결 능력)

O

O

O

O

O

O

5. 결론 및 제언

6개 대학의 AI 활용 가이드라인은 상이한 양상을 보이고 있으며, 학교

별로 주안점을 두고 있는 부문 또한 다름을 확인할 수 있었다. 이를 통해 향
후 대학들이 염두에 두고 제작할 필요가 있는 AI 활용 가이드라인의 설계 
방향을 제시하면 다음과 같다.

첫째, 교수자와 학습자의 주체성과 책임감을 강조할 필요가 있다. A대

학의 경우, AI를 활용하더라도 교수자와 학습자 모두가 창의적 질문과 논리
적 비평을 할 수 있어야 만이 나의 지성임을 규정한 부분은 아무리 AI의 활
용이 효율적이라도 결국 이에 대한 질문과 논평을 하기 위해서는 사용자의 
주체적 지성이 수반될 필요가 있다. 그리고 A대학에서 대학교 구성원 전체
가 책임의식을 갖고 활용할 필요가 있다는 점과 C대학에서 생성형 AI의 결
과물에 대한 책임은 학습자에게 있다는 점을 통해 가이드라인에 사용자의 
책임감을 강조할 필요가 있을 것으로 보인다.

둘째, 교수자와 학습자의 역할을 구체적으로 구분하여 제시할 필요가 

있다. B, C대학의 경우, 교수 학습 활용 권고사항과 더불어 교수자와 학습
자의 역할을 구분하여 구체적으로 제시하였다. 이는 교수자와 학습자가 숙
지해야 할 사항을 엄격하게 구분하고, 이에 따른 적합한 가이드라인을 제
시함으로써, 엄수해야 할 가이드라인의 모호성을 예방 및 차단한 것으로 


background image

37

대학에서의 AI 활용 가이드라인 현황 및 설계 방향 연구┃김상철

풀이된다. 이를 통해 교수자와 학습자 스스로가 지켜야 할 가이드라인을 
분명히 인식할 수 있도록 한 점을 차별점으로 꼽을 수 있다. 아울러 교수자
와 학습자의 상호존중과 협력, 그리고 합의를 바탕으로 생성형 AI를 활용하
여야 하며, 그의 일환으로 강의계획서에 반드시 생성형 AI 여부와 활용 가
이드라인을 제시할 필요가 있을 것이다.

셋째, 생성형 AI 활용이 교육에 미치는 긍정적인 측면과 부정적인 측면

을 제시할 필요가 있다. C, D, E, F대학은 생성형 AI 활용이 교육에 미치는 
긍정적인 측면과 부정적인 측면을 상세하게 명시하였다. 이는 대학에서 생
성형 AI 활용이 교육에 미치는 긍정적인 측면을 부각시키고 시대의 변화에 
적극 대응해나가기 위해서는 반드시 생성형 AI를 활용하는 것이 필요하다
는 점을 역설함과 동시에, 이에 따른 부작용 또한 다양하게 나타날 수 있음
을 경각시킬 수 있도록 해야 할 것이다.

넷째, 대학이 지향하는 교육 목적과 공익에 부합하는 내용을 담을 필요

가 있다. A, B, E대학에서는 대학의 목적을 D대학에서는 공익을 추구할 필
요가 있음을 강조하였다. 이는 생성형 AI를 대학의 사명과 가치, 교육목표
에 부합하는 방향으로 활용해나가는 것이 중요하며, 이를 바탕으로 학문 
공동체의 발전에도 기여할 수 있도록 할 필요가 있다. 더 나아가 공공의 이
익에 도움이 될 수 있도록 하고 사회에 긍정적인 영향을 미치는 방향으로 
활용해야 함을 강조할 필요가 있다.

다섯째, AI 활용을 위한 체크리스트를 가이드라인에 포함할 필요가 있

다. E대학의 ‘올바른 AI 활용을 위한 체크리스트’는 한국학생과 외국학생 
모두가 일독하여 숙지할 수 있도록 안배했다는 점에서 주목할 필요가 있
다. 예를 들어, “나는 생성형 AI의 사용범위와 방법에 대한 이해를 바탕으
로 적시에, 효과적으로 활용하는가?” 등의 스스로 AI 활용에 대해 점검할 
수 있는 체크리스트를 한글과 영문으로 제시함으로써, 한국학생들과 외국


background image

38 

지식과 교양 Vol. 13

학생 모두가 숙지할 수 있도록 하고, ‘’올바른 챗 GPT 활용 동의서’ 형식으
로도 활용하는 방안 또한 검토해 볼 필요가 있다.

여섯째, AI에 대한 개념, 정의, 이해에 대한 특징을 소개할 필요가 있다. 

B, C, E, F대학에서는 일단 생성형 AI가 무엇인지, 어떤 기능을 가지고 있는
지, 이를 통해 무엇을 할 수 있는지에 대한 기능 등에 대해 상세히 안내하고 
있다. 예를 들어 F대학에서는 생성형 AI를 “주어진 콘텐츠(텍스트, 이미지, 
오디오, 비디오, 코드 등)를 학습하여, 기존의 것과는 다른 유사 콘텐츠들을 
만들어내는 인공지능” 등으로 소개하기도 하며, E대학처럼 “음악, 그림, 영
상 등의 창작 작업에서 창의적인 콘텐츠도 생성” 등으로 무엇을 생성할 수 
있는지에 대해서도 제시함으로써 활용처에 대한 기본적인 이해를 돕고 있
다. 이로써 생성형 AI 혹은 챗 GPT가 무엇인지에 대해 주지시키는 것을 시
작으로 가이드라인이 제작될 필요가 있는 것이다.

일곱째, 생성형 AI 답변 결과를 검토할 수 있는 역량을 함양하고, 이를 

통해 결과를 검토해야 함을 적시할 필요가 있다. 이는 6개 대학이 모두 공
통적으로 강조한 부분으로서, 크게 창의적 사고능력, 비판적 사고능력, 문
제해결 능력 등으로 구성할 수 있다. 즉 교수자와 학습자 모두가 이러한 역
량을 갖춘 상태에서 생성형 AI 답변 결과를 활용할 수 있어야 생성형 AI를 
올바르게 활용할 수 있는 것으로 판단한 것이다. 다시 말해, 생성형 AI에서 
답변하는 내용에 오류가 있을 수 있으므로 절대적으로 신뢰하면 안 되며, 
정보를 선별할 줄 알아야 하고, 이를 위해서는 비판적인 사고능력 등의 역
량을 통해 정보를 검토해야 한다는 것을 시사한다. 

여덟째, 윤리적으로 활용해야 함을 규정할 필요가 있다. 이 또한 6개 대

학이 모두 공통적으로 강조한 부분으로서, 윤리적 활용에 대한 가이드라인
을 모든 대학이 구체적으로 명시했다는 것은 모든 대학이 윤리적인 문제에 
대해서 가장 신경을 쓰고 있는 대목이라는 점을 방증한다. 예를 들어, AI가 


background image

39

대학에서의 AI 활용 가이드라인 현황 및 설계 방향 연구┃김상철

답변한 내용을 그대로 연구나 과제에 이용함으로써 표절을 하게 된다거나, 
인용표기를 하지 않아 저작권 저촉 문제를 야기할 수 있으며, 이러한 오용
이 공정하지 못한 결과를 낳게 될 수 있다. F대학처럼 윤리 교육이 수반되
어야 함을 강조함으로써, 단순히 윤리적인 문제에 대해 엄수할 필요가 있
다는 각령을 넘어서서 윤리 교육의 실행을 부각시킬 필요도 있다. C대학의 
경우, AI 활용에 따른 출처 표기 방법을 상세하게 안내한다거나, F대학처럼 
학습자에게 부여하는 과제 제출 방안을 구체적으로 제시함으로써 교수자
의 부담을 덜은 점이 특기할 만하다.

아홉째, 보안에 유의할 것을 명시할 필요가 있다. B대학의 경우, 생성

형 AI를 사용한 기록은 알고리즘 개선에 활용되기에, 교수자와 학습자 모
두가 민감한 개인정보나 연구 기밀 사항, 대외비 등의 정보를 입력하지 않
도록 주의해야 함을 강조하였다. D대학 또한, AI를 활용하면서 사용되는 데
이터 가운데 개인정보 등의 사적 영역을 보호하되, 그 목적과 용도에 맞게 
안전하게 관리될 필요가 있음을 언급하였다. 한편, 챗 GPT를 활용하여 악
성 코드나 피싱 이메일을 생성함으로써 사이버 범죄에 활용하는 사례29) 또
한 있기에, 이에 대한 피해 또한 방지하는 방안을 모색할 필요가 있다.

이 외에도 B, F대학에서와 같이 학습자들이 표절을 하게 될 경우 검증

시스템(표절 방지 프로그램 등)을 이용하여 탐지하되, 다른 의미로 변경하
여 표절 탐지를 벗어날 수도 있으므로 참고용으로 활용하고, D대학처럼 여
섯 가지 원칙을 도식화하여 제시함으로써 AI 활용 가이드라인의 가독성을 
높이는 방법 또한 고려해 볼 수 있을 것이다. 이러한 6개 대학의 AI 활용 가
이드라인에 대한 분석 결과를 바탕으로 향후 타 대학에서는 AI 활용 가이드
라인 제작에 참고해 볼 수 있을 것으로 전망된다.

대학이 점점 챗 GPT를 적극적으로 사용하는 방향으로 변하고 있다. 과

29) 강두원, “챗 GPT 등장으로 불거진 8가지 보안 문제”, <AI타임스>, 2023.03.24.


background image

40 

지식과 교양 Vol. 13

제 표절이 염려되었던 대학들이 앞 다퉈 AI 활용 가이드라인을 제시하며 챗 
GPT를 활용한 과제를 제출할 것을 요구하고 있다. 이는 성균관대의 한 재
학생 설문조사(재학생 219명 참여)에서 33.3%가 “코딩과 프로그래밍에 챗 
GPT를 쓴다.”고 답한 점과 글쓰기(30.5%), 아이디어 생성(18.3%), 전공·시
험공부(16.9%) 등에도 활용하고 있다는 점, “AI를 사용해 학습 효율성이 높
아졌다”는 답변(86.8%)30)을 통해 대학의 달라진 인식을 확인할 수 있다. 이
제는 더 이상 대학에서 챗 GPT 활용을 우려하거나 보수적인 입장에서 활용
을 금지할 것이 아니라, 타 대학의 AI 활용 가이드라인을 토대로 자신의 대
학에 적합한 가이드라인을 제작하여 교수자와 학습자 모두에게 충분히 인
지시키고 습관화하게 만드는 것이 중요하다. 아울러 더 나아가 구체적인 
활용 방법을 개발하여 생성형 AI 사용법을 적극적으로 홍보 및 장려할 필요
가 있으며, 이는 향후 그 대학의 경쟁력과도 밀접한 관련이 있을 것으로 판
단된다.

30) 박경민, “챗 GPT 안 쓰면, 학점 깎아요”…‘표절’ 걱정했던 대학이 바뀐다 [생성

형 AI 임팩트]」, <중앙일보>, 2023.09.15..


background image

41

대학에서의 AI 활용 가이드라인 현황 및 설계 방향 연구┃김상철

참고문헌

강동훈, 「챗지피티(Chat GPT)의 등장과 국어교육의 대응」, 『국어문

학』 82집, 국어문학회, 2023, 469-496쪽.

강두원, “챗 GPT 등장으로 불거진 8가지 보안 문제”, <AI타임스>, 

2023.03.24.

구본권, 「챗 GPT시대의 필수역량 ‘AI. 리터러시’」, 『KISO JOURNAL』 

50호, 한국인터넷자율정책기구, 2023, 36-39쪽.

김상철, 「방송중·고 학습경험인정제 이수인정평가체제 개선 방안 연

구」, 『교육발전』 42권 2호, 서원대학교 사업대학 부설 교육

연구소, 2022, 225-257쪽.

김형민, 「한국어교육에서의 대화형 인공지능 챗봇 적용 가능성 탐색 

-고급 한국어 학습자와 Chat GPT의 상호작용 분석을 중심

으로」, 『우리어문연구』 76권, 우리어문학회, 2023, 261-292

쪽.

노대원·홍미선, 「Chat GPT 글쓰기 표절 대응과 교육적 활용 전략」, 

『국어교육연구』 82집, 국어교육학회, 2023, 71-102쪽.

박경민, “챗 GPT 안 쓰면, 학점 깎아요”…‘표절’ 걱정했던 대학이 바

뀐다 [생성형 AI 임팩트]」, <중앙일보>, 2023.09.15.

서울대학교 AI연구원. https://aiis.snu.ac.kr, 2023.09.21.
손화철, 「챗 GPT의 오늘을 묻다」, 『철학과 현실』 137집, 철학문화연구

소, 2023, 86-100쪽.

신동광, 「AI 도구를 활용한 중등교사 영어 출제 연수 사례 연구: 

Chat GPT를 중심으로」, 『어학연구』 59권 1호, 서울대학교 

언어교육원, 2023, 21-42쪽.

요즘IT, https://yozm.wishket.com/magazine/detail/1873/, 

2023.09.21.

윤옥한, 「Chat GPT 등장과 교양교육의 방향 탐색」, 『한국콘텐츠학

회논문지』 23권 5호, 한국콘텐츠학회, 2023, 86-96쪽.


background image

42 

지식과 교양 Vol. 13

임성호, “챗 GPT에 붙은 ‘플러그인’, 세계 AI 서비스 생태계 바꿀까”, 

<연합뉴스>, 2023.04.11.

이서희, “더 똑똑해진 GPT-4· · 미국 변호사 시험 상위 10% 안에 들

었다”, <한국일보>, 2023.03.16.

이현건, “고려대, 국내 대학 최초 Chat GPT 활용 가이드라인 제정”,  

<대학지성 In&Out>, 2023.03.16.

전종희, 「대학교육의 챗 GPT 대응 현황 및 방안 연구」, 『문화교류와 

다문화교육』 12권 4호, 한국국제문화교류학회, 2023, 517-

548쪽.

정윤경, 「챗(Chat) GPT의 이용과 저작권 쟁점 고찰」, 『과학기술과 

법』 14권 1호, 충북대학교 법학연구소, 2023, 141-180쪽.

정제영·조현명·황재운·문명헌·김인재, 『챗 GPT 교육혁명: Chat GPT

를 활용한 하이터치 하이테크 미래교육』, 포르체, 2023.

조재현, “교수들의 반격 ‘기말고사 챗 GPT 쓰면 0점’”, <조선일보>, 

20234.06.17.

차민영·임희주, 「챗 GPT의 영어 교육적 활용가능성에 대한 대학 교

수자 인식 연구」, 『문화와 융합』 45권 5호, 한국문화융합학

회, 2023, 109-118쪽.

한겨레,  “국민대,  국내  대학  최초  ‘챗  GPT’윤리  강령  선포”, 

2023.02.23.

BLOTER, 「GAN(생성적 적대 신경망)-진짜 같은 가짜를 만드는 AI」, 

2018.06.08.

Datahunt, https:/ blog.naver.com/it-edu/223026095943, 2023.09.21.

KIC

캠퍼스 공식 블로그, https:/ blog.naver.com/it-edu/223026 095943, 

2023.09.21.

OpenAI, https:/ platform.openai.com, 2023.09.21.

OpenAI, https:/ openai.com/blog/Chat GPT, 2023.09.21.


background image

43

대학에서의 AI 활용 가이드라인 현황 및 설계 방향 연구┃김상철

❚국문초록

본 연구에서는 본 연구에서는 현재 우리나라 주요 대학에서 제작 및 

배포한 ‘AI 활용 가이드라인’을 비교 분석해보고, 이를 토대로 대학이 
지향하고 견지할 필요가 있는 AI 활용 가이드라인의 설계 방향을 제시
하고자 한다. 이를 위해 생성형 AI와 대화형 AI, 챗 GPT의 특징과 챗 
GPT를 활용한 교육의 기능과 문제들을 살펴보고, Google에서 “대학 
AI 활용 가이드라인”으로 검색된 6개 대학을 선정하여 가이드라인의 
특징을 키워드로 유목화하여 대학별로 비교 분석하였다. 분석 결과, 첫
째, 교수자와 학습자의 주체성과 책임감을 강조할 필요가 있다. 둘째, 
교수자와 학습자의 역할을 구체적으로 구분하여 제시할 필요가 있다. 
셋째, 생성형 AI 활용이 교육에 미치는 긍정적인 측면과 부정적인 측면
을 제시할 필요가 있다. 넷째, 대학이 지향하는 교육 목적과 공익에 부
합하는 내용을 담을 필요가 있다. 다섯째, AI 활용을 위한 체크리스트
를 가이드라인에 포함할 필요가 있다. 여섯째, AI에 대한 개념, 정의, 이
해에 대한 특징을 소개할 필요가 있다. 일곱째, 생성형 AI 답변 결과를 
검토할 수 있는 역량을 함양하고, 이를 통해 결과를 검토해야 함을 적
시할 필요가 있다. 여덟째, 윤리적으로 활용해야 함을 규정할 필요가 있
다. 아홉째, 보안에 유의할 것을 명시할 필요가 있다. 본 연구를 통해 대
학에서는 급변하고 있는 챗 GPT와 같은 생성형 AI의 활용 이슈를 파악
하여 대학 고유의 최적화된 가이드라인을 설계하는 데에 일조할 수 있
을 것이다. 

주제어 ● AI(인공지능), 챗 GPT, 생성형 인공지능, 대화형 인공지능, 인

공지능 활용 가이드라인


background image

44 

지식과 교양 Vol. 13

❚Abstract

Current status and future directions of AI utilization 

guidelines in universities

Kim, Sang Cheol 

/ Korean Educational Development Institute

In this study, we analyze and compare the ‘AI utilization guidelines’ 

currently being produced and distributed by major universities in the Republic 
of Korea. Based on this analysis, we present the direction that universities 
should pursue and maintain in terms of their AI utilization guidelines. The 
analysis yielded several important findings, as follows. (1) Emphasizing the 
independence and responsibility of instructors and learners is essential. (2) 
Clearly distinguishing and outlining the roles of instructors and learners 
is crucial. (3) Both the positive and negative aspects of using generative 
AI in education should be addressed. (4) The guidelines should align with 
the educational mission of the university and serve the public interest. (5) 
Including a checklist for AI utilization within the guidelines is advisable. 
(6) Concepts, definitions, and characteristics of AI understanding should 
be introduced. (7) The ability to review generative AI responses should be 
cultivated, with an emphasis on the need for thorough reviews. (8) Ethical 
usage of AI must be required and explicitly stated. (9) Security concerns 
need to be clearly documented. Through this study, universities will be better 
equipped to identify and address issues related to the rapidly evolving field of 
generative AI, including technologies like Chat GPT.

Keyword ● AI, Generative AI, Conversational AI, Chat GPT, AI utilization 

guidelines

❙논문투고일:2023.10.10.❙심사완료일:2023.11.08.❙게재확정일:2023.11.28.❙


background image

45

예술과 기술의 결합 

: 미디어아트의 차용의 미학*

1. 머리말

현대미술은 과학기술 발달에 따른 미디어와 만나 새로운 예술로의 확

산과 발전을 거듭하고 있다. 미술에 미디어를 결합한 형태인 미디어아트는 
보편적으로 사진, TV, 비디오, 컴퓨터 등의 다양한 대중 매체를 미술에 도
입한 경우를 가리킨다. 그러나 ‘미디어아트’라는 용어와 정의는 현재 명확
히 정립되지 않은 상태로 용어 사용이 분분하다. 흔히 매체를 사용한 미술
을 미디어아트, 컴퓨터를 활용한 미술을 뉴미디어아트(New Media Art)나 
디지털아트(digital art)라 부르기도 하나 통념상 미디어 매체 예술을 ‘미디
어아트’로 통칭하는 경향이 있다.1)

* 본 논문은 '챗 GPT 시대의 교양교육의 역할 Part.2'를 주제로 진행되었던 2023년 

제7회 목원대학교 스톡스대학 교양교육혁신 학술대회에서 발표한 원고를 수정·

보완한 것임.

** 한국교통대학교 교양학부 강사

송 미 숙**

1. 머리말
2. 이미지 복제 
3. 이미지의 복제 차용
4. 전통 이미지의 차용과 치환
5. 맺음말 

목  차

https://doi.org/10.54698/kl.2023.13.45


background image

46 

지식과 교양 Vol. 13

미디어아트의 출발은 19세기 사진 매체의 등장과 함께 시작되었다. 사

진이 가져온 이미지 재현과 복제, 그리고 대량 생산 등으로 새로운 미술 
양식이 성립된 것이다. 뒤이은 1950년대에는 TV와 라디오 등의 대중 매
체가 보급되면서 ‘비디오아트’가 촉발되었고, 1990년대 이후에는 컴퓨터
를 기반으로 하는 미디어아트가 형성되기에 이른다.    컴퓨터를 기반으
로 하는 미술을 ‘뉴미디어아트’나 ‘디지털미디어아트’라 칭하기도 한다. 
현재 뉴미디어 아트 분야는 컴퓨터 아트(Computer Art),  일렉트릭 아트
(Electronic  Art), 디지털 아트(Digital Art), 생성예술(Generative Art), 인
터넷 아트(Internet Art), 인터랙티브 아트(Interactive Art), 퍼포먼스 아트
(Performance Art), 비디오 아트(Video Art),  로봇 아트(Robotic Art) 등
으로 세분화하여 명칭하기도 한다. 최근에는 4차 산업혁명의 핵심인 인공
지능(AI)이 등장하며 첨단 디지털 기술을 활용한 미술창작 환경의 변화가 
가속화되고 있다.2) 더군다나 근래엔 4차 산업의 핵심인 인공지능(AI)이 등
장하며 첨단 디지털 기술을 활용한 미술창작 환경의 변화가 가속화되고 있
다.

발터 벤야민(Walter Benjamin)은 19세기 사진의 발명 이후 ‘기계적 복

제의 시대(age of mechanical reproduction)’로 돌입했다고 거론한 바 있

1) ‘미디어아트’ 용어에 관한 이견들은  R. 앳킨스, 박진선 역, 『현대미술의 개념풀

이』, 시공사, 1994, 93쪽.

레프 마노비치 저, 서정신 역, 『뉴미디어의 언어』, 생각의나무, 2004.
2) 컴퓨터를 기반으로 하는 미술을 ‘뉴미디어아트’나 ‘디지털미디어아트’라 칭

하기도 한다. 현재 미디어 아트 분야는 컴퓨터 아트(Computer Art), 일렉트

릭 아트(Electronic Art), 디지털 아트(Digital Art), 생성예술(Generative Art), 

인터넷 아트(Internet Art), 인터랙티브 아트(Interactive Art), 퍼포먼스 아트

(Performance Art), 비디오 아트(Video Art), 로봇 아트(Robotic Art) 등으로 세

분화하여 명칭하기도 한다. 최근에는 4차 산업혁명의 핵심인 인공지능(AI)이 등

장하며 첨단 디지털 기술을 활용한 미술창작 환경의 변화가 가속화되고 있다, 고

충환, 「한국현대미술에서 미디어아트의 현재」, 󰡔서울아트가이드󰡕, 김달진미술연

구소, 2014.


background image

47

예술과 기술의 결합 : 미디어아트의 차용의 미학┃송미숙

다.3) 이것은 산업적인 대량 인쇄방법으로 손쉽게 그리고 대량으로 같은 이
미지를 복제해낼 수 있게 된 것을 상징한다. 이제 미술작품은 다양한 방식
으로 다수의 장소에서 감상할 수 있는 보편성을 획득하게 되었고, 미술품 
복제로 인해 원작을 통해서만 경험되었던 미적 체험의 범위를 확장하게 되
었다. 더불어 원작 이미지 복제를 적극적으로 활용한 차용(appropriation)
은 현대미술의 중요한 기법으로 부상하였다.

차용미술은 타인의 작품 이미지를 사용 변형해 새로운 작품을 만드는 

것으로,4) 차용미술의 본질은 차용작품 속에 보이는 익숙함과 새로움이라
는 중층적 미학을 생성하며 원작과는 다른 미감을 발현하는 데 있다.5) 최근 
차용미술은 테크놀로지 고도화와 발맞추어 더욱 견고하고 다양하게 변화
해 가는 중이다. 그렇지만 원작 차용을 감상자가 인식할 수 있게 의도하고 
있는 차용 미술은 대부분 저작권 침해라는 문제를 수반한다.6) 미술에 있어
서 복제의 문제는 이전부터 미술가의 윤리, 도덕과 관련되어 논란의 여지
가 있었던 문제였고, 최근 인터넷의 보급으로 이 문제는 점차 가중되고 있

3) 발터 벤야민 저, 심철민 역, 󰡔기술복제시대의 예술작품󰡕, 도서출판b, 2017.
4) 미술사에서 ‘차용’은 몇 가지 방식으로 분류되어 사용된다. 첫째, 단순차용은 오

브제를 원래 제작되었던 맥락으로부터 가져와 미술에 사용하는 것으로 마르셀 

뒤샹의 레디메이드가 그 예이다. 둘째, 오브제의 전체 또는 부분들을 다른 오브제

의 구성적인 기반(matrix)에 둠으로써 재사용되는 오브제를 변형시키는 것으로 

콜라주가 대표적 예다. 셋째, 특수한 이미지를 참고하여 특정 주제로 만든 것으

로, 대표적인 예로서 팝(pop)적 형상을 들 수 있다. 넷째, 기존의 양식들을 참고

하여 특정 주제나 회화의 일부로 구성한 것으로써 특정한 회화를 다시 이용하는 

것이 여기에 해당한다. 차용에 기법에 관한 상세한 내용은

William M. Landes, “Copyright, Borrowed Images and Appropriation Art: 

An Economic Approach”, 9 GEO. MASON L. REV. 1, vol. 1, no. 2000; 

John Paoletti, “Art and Appropriation”, The Art of Appropriation, New 

York: The Alternative Museum, 1985, pp.48-49; 

월간미술, https://monthlyart.com/encyclopedia/%EC%B0%A8%EC%9A

%A9/, 2023.09.24.

5) 김상숙 외, 『패러디와 문화』, 한양대학교 출판부, 2005, 18-119쪽.
6) 박경신, 「차용미술의 저작권법상 허용범위의 미적 판단 기준 - 절차적 기준 정립

을 중심으로」, 󰡔계간저작권󰡕 33권 1호, 한국저작권위원회, 2020, 119쪽.


background image

48 

지식과 교양 Vol. 13

는 추세이다. 인터넷을 통해 이미지에 쉽게 접근할 수 있다는 점은 차용에 
유리하게 적용되어, 그렇게 파생된 저작권 위반의 문제는 현재 여러 담론
을 형성하고 있다.7) 특히 차용의 범위가 단순한 ‘피상적 모방’이 아닌 ‘패러
디’ 등의 변형성 여부는 법률적으로 민감한 쟁점이 되기도 한다. 따라서 차
용에 주로 사용되는 작품은 저작권법에 직접적 침해를 받지 않는 고전(전
통) 작품을 대상으로 하는 경우가 적지 않은 편이다. 고전을 모티브로 한 차
용미술은 단순한 복제 차용은 물론 디지털을 기반으로 하는 뉴미디어아트
로 확장되며 새로운 미학적 패러다임을 성립하고 있다. 

이에 본고에서는 기계적 복제와 디지털을 활용한 미디어아트에서의 차

용미술 양상을 고찰하고 그 미학적 의의를 재고해 보고자 한다. 본고에서 
다룰 차용작품의 범위는 저작권법 제약에 비교적 자유로워 차용작가들이 
주요 대상으로 삼는 고전 회화에 한정할 것임을 미리 밝힌다. 본문의 전개
는 고전 회화를 복제 차용하여 원작을 새롭게 재해석하거나 원작이 내포하
고 있는 본래의 의미를 확장시키거나, 작품 해석의 다양성을 함의한 작품
들을 선정해 살펴볼 것이다. 더불어 차용작품의 미감과 미학이 고전 회화
에 대한 색다른 감상과 이해를 돕는 작용을 살펴 미술 교양 교육의 새로운 
방향성을 도출하고자 한다. 

2. 이미지 복제

인류는 아주 오래전부터 갖가지 방법을 동원해 미술품을 복제, 모사하

는데 노력했지만, 복제품은 원본에 비해 정밀도가 떨어질 수 밖에 없었다. 

7) 미술품 저작에 관한 내용은 김하은, 「팝아트, 세계를 차용하다 : Warhol v. 

Goldsmith 대법원 판례로 살피는 현대미술작품의 저작권 침해와 공정이용」, 상

명대학교 대학원석사학위 논문, 2023 : 박경신, 「차용미술의 저작권법상 허용범

위에 관한 연구」, 이화여자대학교 대학원 박사학위 논문, 2019 ; 이정인, 「현대

미술에서 이미지차용의 지적재산권에 관한 판례 연구」, 홍익대학교 대학원 박사

학위 논문, 2012.


background image

49

예술과 기술의 결합 : 미디어아트의 차용의 미학┃송미숙

또한 정교한 모사품을 만드는 것은 원작과 맞먹는 시간과 노동이 소요되어 
복제의 진정한 의미와는 상반되었다. 최근 가속화되고 있는 과학기술의 발
전은 미술품의 복제 방식에 변화를 불러오며, 미술의 본질에도 큰 영향을 
끼치고 있다. 원론적으로 미술품을 복제하는 일은 미술작품(원작)의 원본
성(originality)에서 시작됐다. 이전에는 엘리트 계급의 전유물이었던 예술
에 대해 대중이 새로운 문화적 소비자로서 등장하게 되면서 미술작품의 유
일성은 작가나 소비자 모두에게 아쉬움을 초래하는 상황을 만들었다. 따라
서 예술계는 부상하는 소비자의 기회에 걸맞는 새로운 예술형태를 필요로 
하게 되었고 이러한 사회적 추세에 동조하는 예술적 방법론이 19세기 등장
하게 되었다. 

예술품에 관한 최초의 기계복제는 19세기 사진과 영화의 발명으로 시

작된다. 수작업으로 했던 고전적 복제의 의미와는 전혀 다른 새로운 복제
기술이 탄생한 것이다. 특히 사진술의 발달은 예술작품 전체를 복제의 대
상으로 만들었을 뿐 아니라, 표현 방식의 형태와 예술적 처리 과정을 다양
화하며 그 자체로도 독자적인 예술적 위치를 획득하게 되었다. 더 나아가 
근래의 디지털 미디어 매체인 컴퓨터는 예술품 복제 제작방식의 변화와 예
술의 개념에 변혁을 가져온다. 다양한 방식으로 진행되는 복제의 유형이 
순수 예술의 전반적 가치 구조를 변모시키고 변형하게 된 것이다. 발터 벤
야민은 대량 복제가 가능해진 현대미술의 특징을 ‘아우라(Aura)의 상실’에 
있다고 보고 다음과 같이 거론했다. 

“아무리 완벽한 복제라도 거기에는 한 가지가 빠져 있다. 그것은 현재하는 
시간과 공간에서만 예술작품이 갖고있는 유일무이한 현존성, 즉, 예술작품
이 위치한 장소에서 그 예술작품이 지니고 있는 일회적 현존성이다.”8)

벤야민이 말한 아우라란, 원작이 갖는 일회적 현존성 즉, 신비한 분위기

8) 발터 벤야민, 앞의 책. p.19.


background image

50 

지식과 교양 Vol. 13

나 원작의 유일성을 뜻하는데, 원작과 감상자의 기운이 시너지를 내어 일
종의 내밀한 상호교감이 작용한다는 것이다. 그렇지만 그는 사진과 같은 
기계 복제가 아우라는 없지만 원작의 양적 변화를 가져와 예술에 대한 대
중성을 충족시킨다는 긍정적인 견해도 제시하였다.

벤야민의 아우라에 관한 견해를 차지하더라도 복제품에서는 예술품(원

작)이 가진 고유의 것들, 즉 안료나 채색의 감각, 그리고 스케일이나 질감을 
원작 그대로 느끼기는 어렵다. 그렇지만 레오나르도 다빈치나 피카소의 작
품을 미술관 밖에서도 볼 수 있는 것은 복제 기술 덕분이니 복제가 예술의 
대중화를 이끌었다는 벤야민의 주장은 타당성이 있다고 본다. 대량소비사
회의 욕구를 직접적으로 수용하고, 미술품의 소비범위를 넓힐 수 있는 방
법론으로 또는 도구적 차원에서 복제가 의미하는 바가 크다고 하겠다.

니엡스, <풍경>, 1826년경

다게르, <탕플거리의 모습>, 1838년경

[그림 1] 니엡스의 인류 최초의 사진과 다게르의 사진

이 같은 이미지 무한 복제를 가능하게 한 사진은 다게르(Louis Jacques 

Mandé Daguerre)에 의해 시작되었다.9) 1826년경 니엡스에 의해 인류 최
초의 사진이 남겨져 있으나 상용화하지 못했고, 1939년 현대적 개념의 사
진이 공식적으로 출현함으로써 당시 회화의 생존을 우려하는 여론이 일기

9) 프랑스 과학원 회원인 프랑스와 아라고(François Arago 1786-1853)는 1839

년 8월 19일 과학과 예술 아카데미의 합동 집회에서 다게르의 ‘다게레오 타입

(daguerréo type)’ 사진술을 공표한다. 앙드레 루이예 저, 정진국 역, 『사진의 제

국』, 열화당, 1992. p.32.


background image

51

예술과 기술의 결합 : 미디어아트의 차용의 미학┃송미숙

도 한다.10) 초기의 사진들이 자연이나 풍경, 정물을 복제하고 있는데 아이
러니하게도 이러한 자연 복제는 오히려 회화가 자연주의를 추구하도록 자
극했고, 인상주의, 상징주의, 추상주의 같은 새로운 표현의 미술을 탄생하
게 하는 정황을 만들었다[그림 1].11) 예술과 기술이 서로 견제와 상호작용을 
하며 예술의 다양성을 부추겼다.

그리고 무엇보다 사진은 ‘무엇이 미술인가’에 대한 새로운 자각을 불러

왔다. 1960년대 후반을 장식한 이른바 극사실주의(Super-realism) 혹은 
포토리얼리즘(Photo-realism)으로 분류되는 회화는 카메라 렌즈로 바라
보듯 실물 그대로를 묘사하여 실제보다 더 강한 인상을 남기도록 제작하였
다. 이처럼 사진과 회화는 서로의 영역을 넘나들며 영향을 주고받고 이미
지 복제와 재현을 상호간에 하고 있다. 사진에서 파생된 미술인 포토리얼
리즘에서 작품의 의미는 ‘사물의 다시 보기’와 같은 것이다. 

 한편 필요에 의해 똑같은 모양과 크기로 원작을 재현한 ‘레플리카’가 

공식적으로 제작되기도 한다. 이런 복제 예술품은 화재나 도난 등으로 인
한 진본의 손실에 대비, 미술관이나 박물관의 수요로 제작하는 것이다. 현
재 많은 미술관이나 박물관들은 원작에 대한 이해를 돕기 위해 레플리카 
작품으로 관람객의 참여나 체험을 유도하는 코너를 마련해 놓는다. 레플리
카를 원작을 대신해 전시하거나, 원작 앞에 두어 작품의 질감, 무게 등을 직
접적으로 느낄 수 있게 하는 것이다. 이처럼 원작을 보존하고 알리기 위한 
방법으로도 복제기술이 적극적으로 활용되고 있다.

10) 다게레오 타입의 사진술 공표로 초상화가들은 고객을 잃게 되었고, 생계수단마

저 박탈당한다. 반대급부로 사진관들이 생겨나고 상업적으로도 큰 성공을 거두

었다. 사진과 회화에 대한 자세한 내용은 이토우 도시하루 저, 김경연 역, 『사진

과 회화 원근법 리얼리즘 기억의 변모』, 시각과 언어, 1994.

11) 사진으로 유발된 새로운 미술의 논의와 관련된 내용은 존 워커 저, 장선영 역, 

『매스미디어와 미술』, 시각과 언어, 1998. ; 노버트 린튼 저, 윤난지 역, 『20세기

의 미술』, 예경, 1993.


background image

52 

지식과 교양 Vol. 13

3.  이미지의 복제 차용

현대미술의 중요한 장르인 미디어아트에서 차용은 미술의 주요한 전략 

중의 하나이다. 복제된 이미지에 새로운 메시지를 만들어내는 차용 형식은 
단순한 모방이나 모사라기보다 작가들의 예술적 전략이 내재되어 있다고 
볼 수 있다.12)

미술에서 차용에 가장 많이 다루어지는 원작(고전)은 레오나르도 다 빈

치의 <모나리자>(1503-6)일 것이다. 마르셀 뒤샹으로 시작된 <모나리자 : 
L.H.O.O.Q>(1919)의 해체와 전복은 전통적 미감과 가치를 지닌 명화의 경
계를 허물고, 원작을 복합적이고 다원화된 방향으로 이끌며 차용 미술의 
대명사가 되었다. 이 장에서는 차용에 빈번하게 활용되고 있는 모나리자 
복제 차용 작품 중에서도, 원작 이미지를 단순 변형시켜 원래 이미지에 새
로운 이미지를 부과한 작품들을 선정하여 살펴보겠다.

 마르셀 뒤샹은 1919년부터 모나리자를 이용한 차용 작업을 했다. 모나

리자 복제화 위에 펜으로 수염을 그리고 ‘L.H.O.O.Q’ 라는 이름을 붙임으
로써 고전을 모티브로 한 차용 미술의 문을 연 셈이다[그림 2]. 그는 모나리
자가 인쇄된 엽서에 남성의 성적 정체성을 의미하는 콧수염을 그려 넣음으
로써 원본이 가지고 있는 본질적 가치에 변형을 가한다. 이제 엽서는 대중
이 알고 있는 원본의 아우라 대한 상징성만 지닐 뿐이다. 뒤샹은 모나리자
를 패러디함으로써 유명 작품에 대한, 아카데미 미술에 대한 인식을 전환
하고 있다. 이것은 이상화된 예술적 취향과 사회에서의 고답적인 예술작품
의 수용태도에 대한 비판으로 기존의 심미적 가치를 해체하고 미적 관계의 
질서를 재구성한 것이다. 뒤샹은 모나리자 원작, 그것이 재현된 이미지(엽
서), 이미지에 가해진 폭력(콧수염), 감상자의 사고 등을 인지함으로써 미적 

12) 미술에 나타난 차용기법을 유형화한 존 파울레티의 5가지 차용기법과 차용의 범

주에 관한 상세한 내용은 John Paoletti, 앞의 글, p.43.


background image

53

예술과 기술의 결합 : 미디어아트의 차용의 미학┃송미숙

가치의 변화를 유도한다. 

앤디 워홀은 1963년 ‘모나리자’ 이미지를 차용해 <서른이 하나보다 낫

다>(1963)를 제작하였다[그림 3]. 화면에 복제한 모나리자 30개를 나열한 
차용작품은 원본이 가진 독창성을 파괴하려는 의도를 드러낸다. 모나리자
가 품고 있는 고고한 유일성과 상징성의 아우라를 부인하고, 실크스크린 
기법으로 복제한 것이다. 반복된 모나리자 이미지는 그 자체로 평범하고 
비개성적으로 마치 표준화된 대량생산물처럼 보인다. 그가 추구한 팝아트
의 탈상징화와 원본의 부재를 적극적으로 보여준 셈이다. 복제된 모나리자
는 그저 이미지일 뿐으로 이미지를 변형, 복제하여 화면에 반복 배치함으
로써, 현대 사회의 무분별한 유물론적 시각을 비판하고 있다. 

마르셀 뒤샹, 

<모나리자 : L.H.O.O.Q>, 1919 

마르셀 뒤샹, 

<L.H.O.O.Q: 수염난 모나리자>, 1964

[그림 2] 마르셀 뒤샹 <모나리자> 차용작품


background image

54 

지식과 교양 Vol. 13

[그림 3_1] 앤디 워홀, 

<서른이 하나보다 낫다>,  

실크스크린 잉크, 1963

[그림 3_2] 앤디 워홀, 

<서른이하나보다 낫다>, 

1963캔버스에 실크스크

린과 합성 안료, 319.4×

208.6cm , 뉴욕 블룸 홀

맨 갤러리

[그림 4] 릴리언 슈워츠,

<모나레오>, 1987

릴리언 슈워츠는 모나리자 이미지를 디지털로 조작해 형상화한 <모나

레오(Monaleo)>(1987), <모나리자 다빈치>(1987)를 제작한다[그림 4]. 모
나리자와 레오나르도 다 빈치의 자화상을 디지털상에서 절단, 접합, 대위 
방식으로 제작한 것이다. 릴리안 슈워츠는 디지털로 생성된 이미지를 복제
하여 임의대로 병치함으로써 미술품의 생산 정체성에 대한 문제를 제기한
다. 모나리자와 레오나르도의 자화상 이미지가 절묘하게 합성된 <모나레
오>는 실재와 복제의 관계, 원작 이미지와 원작자와의 관계, 원작의 유일
성과 복제성과의 관계 등 다양한 의미를 상징하고 있다. 이처럼 <모나레오
>는 화가와 그가 창조한 이미지 그리고 재생산된 작품으로서의 경계가 모
호하다. 즉, 이 작품은 <모나리자>, 레오나르도 다 빈치의 <자화상> 그리고 
원작을 차용한 릴리언 슈워츠의 <모나레오> 3개의 작품이 공존하는 것으
로 감상자에게 다양한 시각과 태도를 유도하고 있다. 결국 3개의 작품이 혼
전하는 <모나레오>는 작품감상 몰입에 방해가 되기도 하고, 동시에 이러한 
비매개성 때문에 각각의 이미지에 대한 낯선 사유를 이끌어 낸다. 

릴리언 슈워츠의 <모나레오>처럼 모리무라 야스마사(Morimura 


background image

55

예술과 기술의 결합 : 미디어아트의 차용의 미학┃송미숙

Yasumasa)의 <임신한 모나리자>(1998)도 역시 디지털 기술로 접근한 작
품이다. 모나리자 이미지에 작가의 얼굴 그리고 인체 해부 이미지를 혼합, 
합성하여 제작했다. 디지털을 도구로 복제, 차용, 합성한 작품은 진실과 가
상의 결합 방식을 모색하는 디지털 미디어아트의 특질을 구체적으로 보여
주는 적절한 예로 볼 수 있다.

이처럼 마르셀 뒤샹 이후 모나리자는 앤디 워홀(Andy Warhol), 릴리언 

슈워츠(Lillian Schwartz), 모리무라 야스마사(Morimura Yasumasa) 이
외에도 한국 작가인 이이남, 한정선, 한만영 등 다수의 작가들에게 패러디
되며 차용되었다. 고전을 대표하는 <모나리자>는 현대 작가들에 의해 독특
한 감성과 창의적 시각언어로 재해석되며 끊임없이 재생산하는 현재진행
형 작품이라 볼 수 있다. 흥미로운 점은 관람자에게 익숙한 원작은 원작이 
지닌 이미지의 순수한 형태를 지각하는 것과 차용 변형된 작품을 지각하는 
단계가 동시에 일어나도록 유도하여 병립할 수 있도록 돕고 있다는 점이
다. 궁극적으로 익숙한 원작의 차용은 조형적인 차원에서 중층의 도상학적 
의미와 해석을 도출시키는 양면성을 지니고 있다.

4. 전통 이미지의 차용과 치환

이번 장에서는 디지털을 활용한 미디어아트 중에서 전통회화를 차용한 

경우를 살펴보도록 하겠다. 최근 한국 전통회화를 디지털을 활용해 재해석
한 차용작품들이 적지 않게 제작되고 있다. 

황인기는 전통 산수화를 현대적으로 재해석하여 디지털 산수화로 치환

하는 작업을 한다.13) 디지털 기술을 활용하고 오브제를 결합시켜 새로운 작
품으로 도출하는 작업이다. 그는 전통 산수화 이미지를 디지털 픽셀 이미
지로 복제 변환하여 인쇄한 화면 위에 리벳이나 레고, 실리콘, 크리스털, 플
13) 황인기, http://www.koreanartistproject.com/kor_artist.art?method=arti

stView&flag=artist&auth_reg_no=55, 2023.09.24.


background image

56 

지식과 교양 Vol. 13

라스틱 등의 재료들을 끼우고, 박고, 붙이면서 새롭게 표현하는 방법을 추
구한다. 흑백의 이미지에 다소 이질적인 금속이나 플라스틱 재질 등의 오
브제로 다시 재해석하여 재현하는데, 원작과는 다른 재료의 이물감으로 색
다른 미감을 발현하는 작품으로 치환하고 있다. 황인기는 전통회화를 차용
한 디지털 작품으로 감상자의 미감을 다중적으로 일깨워 원작인 전통회화
에 대한 성찰을 재고하도록 제안한다. 

2011년 작품 <몽유-몽유>는 안견의 <몽유도원도>(1447)를 차용한 연

작 중 하나로 역시 원작을 디지털 픽셀로 전환시키고, 그 위에 플라스틱 블
록을 붙여 제작하였다[그림 5]. 몽유도원도에 표현된 구름, 안개 그리고 기
묘한 산세, 도화 군락이 주는 원작의 미감은 제거되었고, 인쇄한 노랑, 검
정의 화면에는 익숙하고 낯선 느낌이 공존한다. 원본을 이미지화하고 이것
을 점으로 생성시키는 과정에서 원본에 있는 풍경은 시간성, 공간성, 상징
성이 응축되면서 전통과 새로운 복제 이미지 두 가지의 풍경으로 되살아난
다.

[그림 5] 황인기, <몽유-몽유>, 

2011, 플라스틱 블록, 307*816

[그림 6] 황인기, <방 금강

전도>, 2008, 합판에 크리

스탈, 엔진오일, 200*144

그가 재현한 입체적 오브제로 인해 가까이에서는 강한 물성이, 원경에

서는 오브제와 회화 이미지가 만들어내는 오묘한 형상이 함께 어우러지며 


background image

57

예술과 기술의 결합 : 미디어아트의 차용의 미학┃송미숙

익숙하고 낯선 아우라를 분출시킨다. 원작이 가진 아우라 그리고 디지털 
이미지가 가진 비물질적인 특성을 오브제를 활용하여 회화와 조각의 형식
을 넘나들며 디지털 이미지의 가벼운 습성을 전복시키고 있다. 디지털 산
수화의 양면성은 전통의 현대화 또는 과거 시제와 현재 시제의 병치라는 
점에서 시간성에 대한 함의를 갖는 것이다. 이를테면 <방 금강전도>(2008)
의 경우 오브제로 부착된 크리스털은 작은 움직임에도 반짝거리며 빛을 내
는데 원작이 가진 아우라는 움직임, 빛에 의한 변화로 인해 작품이 놓인 공
간과 미묘한 상호작용을 일으키도록 작용 한다[그림 6]. 전통 산수화의 특
성인 멀리서 바라보기도 하고 골짜기 사이를 걷는 느낌이 들도록 사유를 
유도한다. 

그런데 무엇보다 디지털을 활용한 미디어아트의 중요한 변혁은 회화의 

정적인 이미지를 동적인 이미지로 바꾼 점이라 볼 수 있다. 일반적으로 전
통회화는 일정한 공간을 점유한 벽면으로 감상자에게 제시된다. 이러한 정
적인 전통회화가 디지털 미디어 기술과 결합하여 동적인 이미지로 변화되
면서 미적 패러다임을 전환 시킨다. 이러한 미디어아트는 미술관 등의 전
통적인 공간뿐만 아니라 인터넷, 모바일 등 가상공간에서도 효율적으로 작
품을 감상할 수 있다는 특징을 지닌다. 

이처럼 전통회화를 동적인 이미지로 변환시키는 작업을 하는 이이남의 

<신 금강전도>(2009)는 정선의 <금강전도>(1734)를 적극적으로 차용한 작
품이다[그림 7].14) 이이남의 작업은 원작을 동적인 이미지로 변환시켜 원작
의 미감을 새롭게 재정비하여, 감상자가 차용된 작품에 쉽게 접근할 수 있
도록 흥미로움을 유발시킨다. 재생산한 작품에 알레고리나 무거운 철학적 
개념을 삽입하지 않고, 새롭고 입체적인 서사를 풀어낼 뿐이다. 원작의 미

14) 광주미술문화연구소, http://www.gwangjuart.com/bbs/board.php?bo_

table=artist04&wr_id=3, 2023. 10. 22.


background image

58 

지식과 교양 Vol. 13

학에 새롭게 부가된 움직임을 통한 미감과 감흥으로 다원적인 미감이 생성
되고 있다. 이처럼 이이남의 차용작품들은 정적 이미지였던 원작에 디지털 
미디어를 활용하여 원작과는 전혀 다른 의미를 만들거나, 혹은 오히려 원
작을 강화하는 결과를 형성하기도 한다.

대체로 그의 작품은 <박연폭포>(2017), <미인도>(2011) 등 감상자에게 

익숙한 전통회화를 차용한 경우가 많다[그림 8], [그림 9]. 따라서 그의 작품
은 처음에는 익숙하고 친근한 원작을 마주하게 되지만, 서서히 완전히 다
른 내용으로 구성한 서사구조를 따라가도록 작품이 진행된다. 원작은 동적
인 이미지로 변화하면서 원작의 내용을 강화하거나 또는 부연 설명하여, 
동시에 본래 원작이 가지고 있는 의미를 허물고 새롭게 고안한 프레임을 
제시하며 다채롭게 변화한다. 영상 초입에는 원작이 지닌 익숙함과 완결성
으로 인하여 여지없이 원작에 집중하게 짜여 있고, 이후에는 새롭게 구성
된 스토리에 집중하도록 런닝타임을 구성하고 있다. 이처럼 이이남은 익숙
한 고전 회화에 새로운 서사를 입혀 변이적이고 중층적인 미감을 의도적으
로 이끌어 낸다. 

[그림 7] <신 금강전도> 

2009, 7분10초, 

미디어 영상, 영상 스틸 컷

[그림 8] <박연폭포> 2017, 

6분39초, 

미디어 영상, 영상 스틸 컷

[그림 9] <미인도와 벨라스

케스 그리고 개미 이야기> 

부분 2011, 4분59초, 

미디어 영상, 영상 스틸 컷

예를 들어 모나리자를 차용한 작품인 <모나리자의 페허>(2013)는 이런 


background image

59

예술과 기술의 결합 : 미디어아트의 차용의 미학┃송미숙

중층적 미학이 확연히 드러난다[그림 10]. 원작 모나리자 화면에 폭격기가 
날아다니고 핵무기가 터지면서 생겨난 상처를 꽃으로 재생시키며 치유와 
회복이라는 메시지를 전하는 작품이다. 5분 44초 동안 진행되는 화면에서 
<모나리자> 원작의 미감과 변형된 스토리를 지닌 미디어가 주는 다원적 미
감을 어렵지 않게 경험할 수 있다. 

이이남의 작품에서 주목해야 하는 다른 면모는 원작을 이용해 미디어

작품을 어떤 내용으로 표현하고 있는지에 대한 여부이다. 디지털 미디어의 
요체인 움직이는 그림(animation)은 만화영화라는 형태로 오랫동안 존재
해 왔기 때문에 새롭지 않지만, 디지털 미디어와 고전의 결합은 창의적 발
현이 요구되는 분야로 이이남의 디지털 미디어는 시사할 만 하다.

[그림 10] 이이남 <모나리자의 페허>, 2013, 5분 44초,

미디어 영상, 영상 스틸 컷

앞서 서술한 것처럼 이이남의 미디어아트는 몇 가지 특이점을 지닌다. 

첫째는 전통회화를 차용하여 미디어아트를 제작했다는 점이다. 전통회화
의 정적인 이미지를 동적인 이미지로 변용하면서 전혀 색다른 미감을 구현
하고 있다. 고정된 원작 이미지 위에 새로운 스토리를 입혀 형상화한 영상
은 작가가 제시한 사회적 현안들에 접근하도록 자연스럽게 이끈다. 둘째는 
감상자에게 원작에 대한 다원적인 미학적 경험을 유도한다는 점이다. 정적 


background image

60 

지식과 교양 Vol. 13

이미지였던 원작에 움직임을 부여하여 색다른 느낌을 주고 있는데, 이것은 
다분히 추상적으로 인식하고 있는 원작을 낯설게 바라보거나, 또는 익숙한 
이미지지만 전혀 다른 관점에서 지각하게 하는 다층적 감상 태도를 새롭게 
형성시킨다는 점이다. 

5. 맺음말

지금까지 미디어와 예술이 결합을 복제 차용과 미디어아트에서의 회화 

차용에 집중해 살펴보았다. 미디어아트 시대에 차용은 중요한 미술 기법으
로 작가의 주관적 시각이나 차용 대상, 원작에 대한 사회적 수용에 따라 그 
의미가 다변화되는 경향이 있었다. 차용작품 중 <모나리자> 등의 회화 복
제를 단순 차용한 경우 원작의 유일성과 독창성, 창조성을 중시하는 모더
니즘 미학에 반기를 들고 있는 경우로 포스트모더니즘 미술의 시작점으로 
제시되기도 한다. 현재도 모나리자를 차용한 작품은 계속해서 제작되고 있
고, 최근에는 전통회화 이미지들도 복제 차용되며 한국 현대미술의 중요한 
모티프로 활용되고 있다.

고전(전통)이 지속적으로 복제 차용되며 거론되는 상황은 미술의 범위

와 한계에 대한 문제 즉 ‘미술이란 무엇인가’를 다시금 재고하게 한다. 고
전 미술품은 과거의 유물이 아니라 현대미술의 소재와 주제로 활용되고 있
는 것을 보면 미술에 있어 과거, 현재, 미래는 존재하지 않을 수도 있겠다. 
그렇다면 들뢰즈의 이론처럼 예술은 그 자체가 ‘생산하는 기계, 특히나 효
과들을 생산하는 기계’일지 모르겠다.15) 실재 그가 말한 ‘예술이라는 기계’
는 신기술인 미디어 매체와 융합하면서 미술의 패러다임을 끊임없이 변화
시키며 재생산하고 있다. 이처럼 고전과 결합한 현대미술은 새로운 미디
어 기술과 연관해서 이해될 수밖에 없고, 이것은 현대의 예술 생태에 유의

15) 질 들뢰즈 저, 서동욱·이충민 역, 『프루스트와 기호들』, 민음사, 1997, 230쪽.


background image

61

예술과 기술의 결합 : 미디어아트의 차용의 미학┃송미숙

미한 영향력을 끼치는 것은 분명하다. 하지만 미디어 테크놀로지와 예술의 
결합이 진정한 성과를 내기 위해서는 새로운 매체 활용에 있어 매체 주의
적 사고를 경계 해야 하고, 미디어아트의 예술적 측면에 대한 질문과 검토
가 전방위적으로 수반되어야 할 것이다.

최근 한층 발전된 디지털 환경에서 회화 이미지를 차용하여 변형, 합성

하거나 축소, 확대, 왜곡, 반복 등 기계적 조작으로 새로운 이미지를 만드는 
경우가 빈번하다. 인터넷 정보를 손쉽게 활용할 수 있게 되어 붓과 물감 그
리고 작가의 손기술에 의존했던 복제 작업이 이제 마우스와 키보드의 간단
한 조작만으로도 작품을 제작할 수 있게 된 것이다. 그러나 이처럼 손쉽게 
복제와 차용을 활용한 미술은 원작에 대해 도덕적이고 윤리적인 의무와 책
임을 안고 있어 차용작품 제작에 중요한 요소로 부각 되고 있다

한편 미디어아트에서의 전통회화 차용은 미술 교양 교육에 새로운 방

법론을 제시할 수 있다. 이를테면 이이남의 작품 <신 금강전도>(2009)의 경
우 원작 이미지가 영상 초입에 그대로 노출되면서 익숙하다고 여기는 원작
의 구성과 구조를 다시금 지각하게 되는데, 이것은 원작의 피상적인 인식
에서 실질적인 인식으로 전환되는 계기를 마련할 수 있다. 학습자들과 작
품을 감상한 후 원작에 대한 분석과 의견을 토론하는 시간을 통해 원작에 
대한 새로운 성찰을 이끌어 낼 수 있을 것이다. 더불어 학습자에게 직접적
인 미술 체험을 제시할 수 있다. 학습자에게 전통회화를 디지털을 활용해 
자유롭게 복제, 변형해 보도록 함으로써 원작에 대한 진지한 태도와 흥미
를 유발시킬 수 있다. 이를 통해 관조를 기반으로 하는 전통적인 감상 태도
에서 벗어나 능동적인 감상 주체자가 될 여지가 충분할 것으로 판단한다. 
따라서 차용미술을 학습자의 미적 체험 범주를 넓히고, 원작 감상의 새로
운 경험은 미술 교양 교육에서 실행 가능한 방법론의 하나로 제시할 수 있
을 것이다. 교육적 가능성에 대한 구체적인 방향성은 사례를 바탕으로 한 


background image

62 

지식과 교양 Vol. 13

후속 연구에서 보완하여 밝히도록 하겠다.

인공지능시대, 기계 미술의 모체로서 더욱 첨예화된 미디어아트 제작 

양상은 아직 현재진행형이다. 미래에 미디어아트에서의 차용미술이 어떤 
모습으로 변화할지 속단할 수는 없다. 그러나 과학의 발전은 어떤 양상으
로든 계속될 것이며, 그에 따른 복제 기술은 예측 불가능한 영역으로 확장
될 것이다. 아마도 테크놀로지의 발전으로 현재의 시각과는 전혀 다른 방
향으로 나아갈 것이 분명하다. 이를 상기하면 예술품의 복제와 차용 그리
고 최근 거론되고 있는 기계와 인간을 둘러싼 예술작품의 윤리적, 도덕적 
책임이나 저작권 문제 등 해결해야 할 현안들에 대한 모색이 시급하다. 지
속적으로 변해가는 미술의 현황에서 이전의 예술 개념과 미학적 담론을 고
수하기에는 미디어의 발전이 분초를 다투기 때문이다.


background image

63

예술과 기술의 결합 : 미디어아트의 차용의 미학┃송미숙

참고문헌

월간미술, https://monthlyart.com/encyclopedia/%EC%B0%A8%E

C%9A%A9/, 2023.09.24.

황인기, http://www.koreanartistproject.com/kor_artist.art?meth

od=artistView&flag=artist&auth_reg_no=5, 2023.09.24.

이이남 광주미술문화연구소 홈페이지, http://www.gwangjuart.com/

bbs/board.php?bo_table=artist04&wr_id=3, 2023.10.22.

고충환, 「한국현대미술에서 미디어아트의 현재」, 󰡔서울아트가이드󰡕, 김

달진미술연구소, 2014.

김상숙 외, 『패러디와 문화』, 한양대학교 출판부, 2005.
R. 앳킨스 저, 박진선 역, 『현대미술의 개념풀이』, 시공사, 1994.
F. 포빼르 저, 박숙영 역, 『전자시대의 예술』, 예경, 1999.
노버트 린튼 저, 윤난지 역, 『20세기의 미술』, 예경, 1993.
레프 마노비치 저, 서정신 역, 『뉴미디어의 언어』, 생각의나무 2004. 
발터 벤야민 저, 심철민 역, 『기술복제시대의 예술작품』, 도서출판b, 

2017.

이토우 도시하루 저, 김경연 역, 『사진과 회화 원근법 리얼리즘 기억의 

변모』, 시각과 언어, 1994.

존 워커 저, 장선영 역, 『매스미디어와 미술』, 시각과 언어, 1998.
질 들뢰즈 저, 서동욱·이충민 역, 『프루스트와 기호들』, 민음사, 1997.
김하은, 「팝아트, 세계를 차용하다 : Warhol v. Goldsmith 대법원 판례

로 살피는 현대미술작품의 저작권 침해와 공정이용」, 상명대학

교 대학원 석사학위 논문, 2023.

박경신, 「차용미술의 저작권법상 허용범위에 관한 연구」, 이화여자대학

교 대학원 박사학위논문, 2019. 


background image

64 

지식과 교양 Vol. 13

_____, 「차용미술의 저작권법상 허용범위의 미적 판단 기준- 절차적 기

준 정립을 중심으로」, 󰡔계간저작권󰡕 33권 1호, 한국저작권위원

회, 2020.

이정인, 「현대미술에서 이미지 차용의 지적재산권에 관한 판례 연구」, 

홍익대학교 대학원 박사학위 논문, 2012.

John Paoletti, Art and Appropriation, The Art of Appropriation, New 

York: The Alternative Museum, 1985.

William M. Landes, Copyright, Borrowed Images and Appropriation 

Art: An Economic Approach, 9 GEO. MASON L. REV. 1, 1, 

2000.


background image

65

예술과 기술의 결합 : 미디어아트의 차용의 미학┃송미숙

❚국문초록

본 연구는 기계적 복제와 디지털을 활용한 차용미술 양상을 고찰하

고 그 미학적 의의를 재고한 것이다. 더불어 차용작품의 미감과 미학이 
고전 회화에 대한 색다른 감상과 이해를 돕는 작용을 살펴 미술 교양 교
육의 새로운 방향성을 살펴보았다. 

현대미술은 과학기술 발달에 따른 미디어와 만나 새로운 예술로의 

확산과 발전을 거듭하였다. 미술에 미디어를 결합한 형태인 미디어아트
는 보편적으로 사진, TV, 비디오, 컴퓨터 등의 다양한 대중 매체를 미술
에 도입한 경우를 가리킨다. 

이러한 미디어의 발전으로 부각된 차용미술은 타인의 작품 이미지를 

사용 변형해 새로운 작품을 만드는 것으로, 차용미술의 본질은 차용 작
품 속에 보이는 익숙함과 새로움이라는 중층적 미학을 생성하며 원작과
는 다른 미감을 발현하는 데 있다. 

최근에는 전통회화 이미지들도 복제 차용되며 한국 현대미술의 중요

한 모티프로 활용되고 있다. 미디어아트에서의 전통회화 차용은 미술 교
양 교육에 새로운 방법론을 제시할 수 있다. 예를들어 이이남의 작품 <
신 금강전도>(2009)의 경우 원작 이미지가 영상 초입에 그대로 노출되
면서 익숙하다고 여기는 원작의 구성과 구조를 다시금 지각하게 되는
데, 이것은 원작의 피상적인 인식에서 실질적인 인식으로 전환되는 계기
를 마련할 수 있다. 학습자들과 작품을 감상한 후 원작에 대한 분석과 
의견을 토론하는 시간을 통해 원작에 대한 새로운 성찰을 이끌어 낼 수 
있다. 또한  학습자에게 전통회화를 디지털을 활용해 자유롭게 복제, 변
형해 보도록 함으로써 원작에 대한 진지한 태도와 흥미를 유발시킬 수 
있다. 이를 통해 관조를 기반으로 하는 전통적인 감상 태도에서 벗어나 
능동적인 감상 주체자가 될 여지가 충분할 것으로 판단한다. 따라서 차
용미술을 학습자의 미적 체험 범주를 넓히고, 원작 감상의 새로운 경험
은 미술 교양 교육에서 실행 가능한 방법론의 하나로 기대할 수 있다.

주제어 ● 미술 교양 교육, 미디어 아트, 차용미술, 복제, 이이남


background image

66 

지식과 교양 Vol. 13

❚Abstract

Combination of art and technology

: The aesthetics of borrowing from media art 

Song, Mi Sook 

/ Korea National University of Transportation

This study examines aspects of appropriation art using mechanical and 

digital reproduction and reconsiders its aesthetic significance. In addition, we 
looked at the new direction of liberal arts education by examining how the 
beauty and aesthetics of borrowed works help a different appreciation and 
understanding of classical paintings.

  Modern art has continued to spread and develop into new art through its 

encounter with media following the development of science and technology. 
Media art, a form of combining media with art, generally refers to the 
introduction of various mass media such as photography, TV, video, and 
computers into art.

  Appropriation art, which emerged as a result of the development of 

media, is the creation of new works by using and transforming images of 
other people's works. The essence of borrowed art is that it creates a multi-
layered aesthetic of familiarity and newness seen in borrowed works, creating 
an aesthetic that is different from the original work. It lies in manifesting.

  Recently, images from traditional paintings have been copied and used as 

important motifs in Korean contemporary art. Borrowing traditional paintings 
in media art can present a new methodology for art education. For example, 
in the case of Lee Lee-nam's work <New Geumgangjeondo> (2009), the 
original image is exposed at the beginning of the video, and the composition 
and structure of the original work, which is considered familiar, is perceived 
again. This changes from superficial recognition of the original work to actual 
recognition. You can create an opportunity to do so. After appreciating the 


background image

67

예술과 기술의 결합 : 미디어아트의 차용의 미학┃송미숙

❙논문투고일:2023.10.22.❙심사완료일:2023.11.27.❙게재확정일:2023.11.28.❙

work with learners, time to analyze and discuss the original work can lead 
to new reflections on the original work. In addition, by allowing learners to 
freely copy and modify traditional paintings using digital technology, it can 
stimulate a serious attitude and interest in the original work. Through this, it 
is judged that there will be enough room to break away from the traditional 
appreciation attitude based on contemplation and become an active subject of 
appreciation. Therefore, borrowed art can be expected to expand the scope of 
learners' aesthetic experience and provide a new experience of appreciating 
original works as a viable methodology in art education.

Keyword ● Fine arts education, Media art, Borrowed art, Reproduction, Lee 

Nam Lee


background image

background image

69

인공지능 이미지 생성 과정에서의 

심미적 경험 고찰

-예술교육의 방향성에 대한 논의를 중심으로*

1. 들어가며

예술은 감각된 지각과 생각의 자유, 그리고 새로운 가치에 대한 능동적 

발견으로 이루어지는 활동으로 인간의 상상력을 기반으로 하는 의미론적 
경험을 제공해준다. 이를 미학적 용어인 ‘심미적(aesthetic)’인 경험으로 일
컬으며, 교양교육과 일반교육으로서의 예술교육에서는 인간 생애 진로와 
잠재력의 발현에 유용한 것으로 인식되어왔다.1) 존 듀이(Dewey, 1930)는 

* 본 논문은 '챗 GPT 시대의 교양교육의 역할 Part.2'를 주제로 진행되었던 2023년 

제7회 목원대학교 스톡스대학 교양교육혁신 학술대회에서 발표한 원고를 수정·

보완한 것임.

** 목원대학교 창의교양학부 교수

정 옥 희**

1. 들어가며
2. 인공지능의 이미지 생성 원리 
3. 인공지능 이미지 생성 프로그램의 기능 및 실행 

사례 

4. 인공지능 활용 이미지 창작이 제공하는 심미적 

경험

5. 예술교육 방향에 주는 함의
6. 맺음말

목  차

https://doi.org/10.54698/kl.2023.13.69


background image

70 

지식과 교양 Vol. 13

예술은 하나의 완전한 경험으로 안내하는 중요한 도구이며, 인간의 내재적
인 본질적 충족감을 가져다 주는 것으로 교육의 중요한 원천이라고 주장함
으로써 교육과 예술을 인간 경험의 관점에서 바라보도록 해주며 예술교육
의 대중화를 이루는 데 이바지했다. 듀이(Dewey)가 주장한 미적 경험 이론
은 예술을 통해 삶의 지평을 확장함으로써 인간 존재에 대한 내재적 가치
를 지각하도록 안내하는 데 있어 예술을 통한 ‘심미적(aesthethic)’ 경험의 
중요성을 제공한다. 또한, 예술의 정서적이고 진취적인 잠재성을 전문 예
술가만이 아니라 일반인에게도 가르쳐져야 할 정당성을 제공한다.2) 

최근 인공지능으로 생성되는 이미지를 활용한 창작과 디지털 미디어

를 통해 이루어지는 예술 창작 활동은 오랫동안 인간 삶의 고양을 위한 심
미적 경험에 대한 새로운 관점을 요구한다. 인공지능은 컴퓨터를 이용하여 
인간이 해오던 시각인식, 음성인식, 의사결정 및 언어번역 등을 시스템적
으로 수행하는 프로그램으로 인간의 지능을 필요로 하는 것들을 수행하는 
새로운 과학기술이다. 이제 인공지능은 인간처럼 새로운 상황에서 이미지, 
텍스트, 비디오, 오디오에 대한 정보를 읽고 그것으로부터 무언가를 학습
하여 인간이 해오던 예술 창작까지도 가능한 단계까지 개발되었다. 이러한 
인공지능 이미지 생성 프로그램의 개발이 가속화되고 있는 가운데 그동안 

1) John Dewey 저, 엄태동 역, 『경험과 교육』, 박영사, 2019. 

John Dewey 저, 박철홍 역, 『경험으로서의 예술』, 나남, 2016. Maxine Greene, 

Landscape of Learning. New York: Teachers College Press, 1978. Maxine 

Greene, Releasing the Imagination. San Francisco: Jossey-Bass, 1995. 

Ralph Smith, Culture and the arts in education. New York: Teachers 

College Press. 2006.

2) 이 논문에서 주로 사용하는 ‘심미적(aesthetic)’ 이라는 용어는 ‘미적’ 혹은 ‘미학

적’ 이라는 용어로 사용되는 의미이기도 하나 ‘미적(artistic)’의 의미와는 확연히 

구분되는 의미로서 ‘미학(aesthetics)’의 의미가 좀 더 내포된 것으로 경험과 지

혜, 가치, 학습의 차원에서 그 속에 담겨있는 광범위한 의미로서의 ‘심미성’을 함

축한다. 존 듀이가 상용한 ‘미적 경험’과 동일한 의미라고 볼 수 있으나 이 논문에

서는 ‘심미적 경험’이라는 용어를 사용함으로써 교육적 함축이 포괄적으로 반영

하고자 하였다. 


background image

71

인공지능 이미지 생성 과정에서의 심미적 경험 고찰┃정옥희

인간의 고유한 영역으로 여기던 심미적 경험에 대한 차원을 다르게 바라보
아야 할 필요성을 제기하며, 교육의 방향과 방법 또한 새롭게 접근하도록 
요구하고 있다. 

이 연구는 인공지능으로 생성되는 이미지를 활용한 예술 창작 과정에

서 인간의 감각적 체험으로 알려진 심미적 경험을 어떤 양상으로 바라보아
야 할지에 대해 고찰해 보는 것을 목표로 한다. 고찰의 초점은 그동안 감각
적 지각을 자극하고 고무하며, 인지적 이해를 촉진하고 시각적 소통을 가
능하게 하는 심미적 경험의 가치는 인공지능으로 예술 창작이 가능해진 오
늘날 어떻게 달라져야 하는가에 대한 것이다. 인공지능 생성 이미지가 어
떤 부분에서 인간의 감각적 경험과 인지적 경험을 제공할 수 있는지에 대
한 디스토피아적이고 유토피아적인 논의들은 예술교육의 지향점과 연결된
다. 따라서 이 연구자가 직접 인공지능 이미지 생성 체험을 통해 실제 창작
과 인공지능 프로그램을 통한 창작 과정에 대한 비교 분석의 결과를 통해
서 이미지의 창작과 표현을 어떻게 가르쳐야 하는가에 대한 방향성을 얻기 
위함이다. 

2. 인공지능의 이미지 생성 원리

현재의 인공지능 이미지 생성 기능은 데이터를 인공지능에 저장하여 

저장된 이미지에 따라 컴퓨터가 딥러닝을 통해 이미지들 간의 확률적 관계
를 투입된 언어에 의해 추출된 이미지들 중 가장 잘 부합된 이미지로 생성
해주는 시스템이라고 할 수 있다. 이러한 기계를 통한 이미지의 생성은 과
거 세상이 기계화되면서 인간의 창의성과 자유는 불필요한 것이 될 것이라
는 의문을 제기한다. 그럼에도 불구하고 기계의 능력이 인간의 능력을 추
월하는 것에 대한 우려와 기대를 반복하며 늘 그래왔듯이 인류의 문명은 
발달하여 왔다. 


background image

72 

지식과 교양 Vol. 13

뇌과학과 인공지능 연구자 김대식(2023)은 산업혁명이 인간의 노동력

을 대체함으로써 일자리가 사라져 인간이 설 자리가 줄어들 것이라는 우려
는 더 많은 시간이 지난 지금 새로운 일자리 창출에 대한 기대로 전환되었
음을 상기시킨다. 4차 산업혁명이 도래한 현재 더 많은 직업들이 사라진 일
자리보다 더 많은 일자리를 제공하며, 윤택한 인류의 삶을 가져왔다는 것
은 부인할 수 없다.3) 산업화의 진전은 노동에 의해 많은 시간을 할애해야 
가능했던 시간과 노동의 효율적 사용을 기계의 발달로 대체해왔고 이는 경
제적 이익은 물론 인간의 능력에 대한 새로운 잠재성을 확장해왔다. 

뇌과학자들에 의하면, 인공지능은 ‘약한 인공지능’과 ‘강한 인공지능’으

로 구별되는데,4) 인간과 비슷한 수준의 지적 능력을 가진 기계를 ‘약한 인
공지능’으로 부르고, 인간의 지적 능력을 자동화하고 대량생산할 수 있으
며 인간이 원천적으로 제어할 수 있는 인공지능으로 규정하면서 그동안 인
공지능 시스템을 인간이 충분히 활용할 수 있다. 따라서 ‘약한 인공지능’은 
인간과 인공지능의 관계는 당연히 종속 관계로 이루어진다. 반면에 ‘강한 
인공지능’은 단순한 지적 능력을 넘어 독립성과 자유의지를 가진 기계로 
할리우드 영화에 나올법한 현실에 존재하지 않는 기계로서 이제 인간이 제
어할 수 없는 그 자체가 감정을 지니고 판단과 결정은 물론 인간과 대립적
인 관계를 가지고 존재할 수 있다. 인간이 만든 기계지만 이 기계의 시스템
을 통제하기 어려운 새로운 탄생물로서 그 기계의 결함이 무엇인지 자율적
으로 판단할 수 없는 독자적인 기계가 탄생한 것이다. 

그동안 우리가 알고 있는 인공지능은 ‘약한 인공지능’이어서 어떤 사

물에 대한 데이터를 지속적으로 투입하면 알고리즘과 코딩을 통해 기계가 
‘딥러닝’을 통해 보편적 사물에 대한 존재를 학습하고 인지하는 기능을 해

3) 김대식·김도형·김태용·김혜연·이완 편, 『생성 예술의 시대』, 도서출판 동아시아, 

2023. 

4) 김대식·김도형·김태용·김혜연·이완 편, 앞의 책.


background image

73

인공지능 이미지 생성 과정에서의 심미적 경험 고찰┃정옥희

왔다. 이때 기계학습의 목표는 딥러닝으로 대부분 물체에 대한 인식이었
다. 오늘날 지문인식과 얼굴인식으로 수많은 복잡한 과정을 거치지 않고 
고유의 식별을 가능하게 한 것은 바로 이러한 딥러닝을 통한 기계의 효능
이다. 그러나 좀 더 나아가서 기계를 학습시키는 주체는 인간이라는 점에
서 우리가 생각하는 인공지능은 아직까지 ‘약한 인공지능’인 것이다. 이러
한 인간이 통제할 수 있는 인공지능은 인간의 뇌를 모방한 인공신경망 계
층들 간의 연결고리 값을 랜덤으로 정해준다. 인공신경망은 수십 개의 다
이얼을 돌릴 수 있는 블랙박스 기계라고 상상하면 처음 기계에 자신의 얼
굴 사진을 보여주고(입력하고), 자신의 이름을 입력하였는데 만약에 다른 
사람의 이름으로 답하면, 잘못된 인식임을 다른 사진들을 넣어서 인식시켜
야 한다. 이러한 초기 딥러닝의 방식은 교사가 정답을 알고 가르치는 방식
의 정답이 포함된 데이터를 필수적으로 입력하는 지도학습의 시스템으로 
작동했다. 정답이 포함된 데이터는 분류된 데이터로서 우리가 모든 학습에
서 분류를 통해 자신이 축적한 지식과 정보를 적합한 문제해결에 사용하는 
데 있어 근사치를 찾아내는 방식과 같다. 따라서 인공 신경 세포 간의 연결
고리 값을 계속 수정해서 정답과 오답의 차이가 ‘0’에 가까워지도록 유도하
는 방식의 인공지능이었다. 

예를 들어 고흐과 뭉크의 그림들을 기반으로 학습된 기계가 비슷한 데

이터를 기반으로 기계를 지속적으로 학습시키면, 인간이 만들어낸 기존 
결과물과 유사한 데이터를 만들어 어떤 인물사진이나 풍경사진을 보여줘
도(입력해도) 고흐와 뭉크 스타일 느낌을 내는 이미지 그림을 만들어낼 수 
있는 방식이다. 이러한 딥러닝 학습은 이제 인공지능의 ‘스타일 트랜스퍼
(style transfer)’와 ‘GAN(Generative Adversarial Network)’와 같은 기술
에 의해 다양한 양식의 예술 작품과 유사한 방식의 작품을 생산하게 되었
다. 결국 기계를 학습시킴으로 해서 인간이 해온 스타일을 그대로 기계도 


background image

74 

지식과 교양 Vol. 13

할 수 있게 하는 데 성공한 것이다.5)

그러나 현재 예술가들의 고유영역이었던 예술 창작은 인공지능 생성 

이미지를 통해 가능해졌지만, 이러한 인공지능을 활용한 창작도 예술 창
작으로 인정해야 하는지에 대한 논란이 일고 있고는 있지만 이를 활용하
여 새로운 차원의 예술가의 할 일을 모색하고 있으며, 예술창작의 세계를 
확장하려는 도전적 반응들이 지속적으로 제기되고 있다. 예술에서 정확한 
측정치를 계산할 수 없는 정답도 없고 오답도 없는 경우에 흔히 ‘스타일’과 
‘취향’같은 것들은 일정한 규칙과 언어적 데이터의 정보처리만으로 불가능
하다. 우리가 ‘강한 인공지능’이라고 부르는 것은 이제 입력된 데이터에 의
존하여 인간이 창작한 스타일의 이미지를 생성하는 것에 머무르는 것이 아
니라  한 걸음 더 나아가서 기존의 딥러닝과 달리 정답이 없이 오답으로 처
리되는 것에 대한 오류를 고쳐주지 않고 부분적 오답을 오히려 키워줌으로
써 작품이나 이미지를 재해석하고 전혀 새로운 이미지를 생성해 낼 가능성
이 열렸다. 즉 정답과 오답으로 이루어지는 유사치를 찾아내도록 학습시키
는 것이 아니라 엉뚱한 이미지를 입력함으로써 전혀 새로운 이미지를 인공
지능이 스스로 만들어내는 방식이다. 

기존에는 인간이 기계에게 설명을 해주고 입력을 해주어야 했다면, 이

제는 기계 자체가 ‘트랜스포머(Transformer) 알고리즘’을 사용해서 스스
로 수천억 데이터 간의 확률적 상호관계를 한꺼번에 학습하여 ‘셀프 어텐
션(Self-Attention)’을 통해 학습을 하지 않아도 모든 단어들 간의 확률적 
관계에 의해 어텐션 함수를 추가하면 미리 학습된 단어들 간의 확률적 관
계를 가장 잘 유지한 새로운 이미지들을 생성해낼 수 있다. 이것이 바로 ‘생
성인공지능’이라고 불리는 것이다. 이제 우리는 예술 창작을 기계와 함께 
해볼 수 있는 세상에 살고 있는 것이다. 

5) 김대식·김도형·김태용·김혜연·이완 편, 앞의 책, 17쪽.


background image

75

인공지능 이미지 생성 과정에서의 심미적 경험 고찰┃정옥희

여기서 대두되는 중요한 문제는 기계화에 의해 인간의 노동력만이 아

니라 창의성과 자율성조차 도전을 받게 된 것인가에 대한 의문이다. 기계
화로 인한 무한 복제 가능성을 분석한 미학자 발터 벤야민의 원본과 복제
의 차이에 대해 ‘아우라’의 붕괴에 대한 주장을 상기할 수 있다. 발터 벤야
민이 우려했던 것은 예술이 대량 생산기술로 원본이 가진 아우라가 사라짐
으로써 예술이 가진 중요한 기능의 상실이었다. 그러나 오늘날 대량 생산
의 기계화 시대에 더 이상 원본과 복제의 차이에 대한 인식도 일종의 착시 
현상의 하나일 뿐으로 인지하는 시대가 되었고 사물을 알아보고 현실에서
의 비슷한 가짜 물체에 대한 데이터를 알고리즘화함으로써 무엇이 진짜이
고 가까인지 기계 자체가 학습을 하게 되는 상황이 된 것이다.6) 

즉 인간만이 가진 기억과 경험, 인식으로 이루어진 사유의 과정에서 일

어날 수 있는 새로움과 직감력을 통한 참신한 아이디어를 창출할 수 있도
록 한다는 것인데 대상에 대한 각기 다른 인간의 지각적 경험에 대한 것을 
인공지능이 어떻게 데이터화로 그 독창적인 주체성을 확보할 것인가의 문
제이다. 이러한 인공지능의 무한한 개발 가능성은 언젠가 기계가 진정한 
의미에서의 창작을 할 수 있지 않을까에 대한 유토피아적 기대감을 고조시
키고 있다. 이것이 인공지능 이미지 생성 기능으로 화두되고 있는 주체성
과 독창성 그리고 이를 실행하는 수행력에 대한 것들이다. 

3. 인공지능 이미지 생성 프로그램의 기능 및 실행 사례

인공지능을 이용해 검색어만 입력하면 인터넷에서 수많은 작품을 가져

와 원하는 이미지들을 손쉽게 구할 수 있는 차원을 넘어 이 이미지들을 가
지고 새로운 이미지로 창작도 가능한 시대가 열렸다. 이러한 챗 GPT의 활
용은 이제 예술 창작에도 새로운 지평을 열어주는 가운데 이에 대한 논란

6) 이재박, 『예술과 인공지능』, ㈜엠아이디미디어, 2021.


background image

76 

지식과 교양 Vol. 13

이 지속되고 있다. 2022년 8월, 미국 콜로라도 주립 박람회 미술 대회에서 
AI 프로그램 미드저니Midjourney로 만든 그림 '스페이스 오페라 극장'이 
디지털 아트 부문 1위를 차지하면서 AI로 만든 작품에 대한 논란은 인간과
의 대결에서 인공지능이 이겼다는 견해와 단지 표절일 뿐 창작이 아니라는 
논란이 사회관계망서비스(SNS)에서 뜨겁게 일었다.7) 이 그림은 앨런이라
는 작가가 인공지능 이미지 생성 프로그램을 사용하여 제작한 작품으로 저
작권과 권련된 논란이 있었지만 인공지능은 저작권을 보호할 대상이 아니
라는 이유로 무마되었고, 아직까지는 이를 예술창작으로 인정해야 할지에 
대한 찬반은 지속될 전망이다. 따라서 이러한 이미지 생성 AI 프로그램의 
기능을 알아보고 이 연구자가 AI 프로그램으로 이미지를 직접 생성한 사례
를 통해 기존의 예술 재료와 도구로 직접 그림을 그렸을 때의 심미적 경험
과 어떤 측면이 다른지 알아보고자 한다.

1) 챗 GPT 방식의 대화형 이미지 변환 프로그램 기능

AI 이미지 생성 프로그램은 챗 GPT(Generative Pre-trained 

Transformer)의 방식과 같이 텍스트로 설명문을 명령어로 입력하면 몇 초
만에 이미지로 변환되는 프로그램이다. 즉 대규모의 사전학습 언어모델
(Pre-trainded Language Model, PLM)로서 문장 속 단어들의 관계를 파
악하여 맥락과 의미를 파악하는 인간 두뇌의 신경망 모델을 이용하여 인공
지능이 할 수 있는 최선의 답변을 텍스트로 생성하는 대화형 인공지능 프
로그램에서 이미지 변환의 기능이 추가된 것이다. 단순하게 말하자면, 인
터넷 검색에 나오는 수많은 이미지들을 언어적 토큰으로 라벨링 작업으로 
유사한 맥락과 의미를 신경망을 통해 조합하여 사전에 학습된 모델에 의해 
이미지를 생성해내는 프로그램이다. 

7) 이윤정, “미술대회 우승까지 한  'AI 그림'…단순 표절일 뿐 vs 새로운 예술 도구”, 

<경향신문>, 2022.09.10.


background image

77

인공지능 이미지 생성 과정에서의 심미적 경험 고찰┃정옥희

즉 인공지능 AI 이미지 생성 프로그램의 기능은 주로 수천억 개의 언

어 토큰과 1,750개의 변수를 AI가 미리 학습해서 마치 사람이 작성한 것
처럼  문장을 이어서 만들어내는 챗 GPT에 CLIP(Contrastive Language-
Image Pre-tranining)이라는 방식을 사용해서 인터넷에서 가져온 약 4억 
개의 그림-글 관계를 확률적으로 미리 학습한 AI가 입력한 문장(프롬프트)
를 토대로 새로운 그림을 그려주는 것이다. 우선 AI 이미지 생성프로그램
은 구글사가 개발한 트랜스포머 알고리즘을 기반으로 2020년 OpenAI사의 
<GPT(Generative Pre-trained Transformer)-3>이 가장 먼저 나왔다. 이 
후 그림-글 관계를 확률적으로 미리 학습한 <DALL·E2>(이하 달리)가 기능
을 업그레이드해서 예술가들의 전문적인 이미지 생성으로 출력된 그림을 
편집할 수 있는 기능이 지속적으로 진화되어 출시되고 있다. 이러한 AI 이
미지 생성 프로그램은 인간의 신경망 구조를 본떠 만든 ‘딥러닝’ 구조의 모
델을 사용해서 그 생성 과정이 아직까지도 완전히 밝혀지지 않은 인간 두
뇌의 비밀과 같이 매우 복잡하다. 다만 다음과 같은 인간 두뇌의 뉴런 구조
에 의해 출력되는 과정만 파악할 수 있을 뿐이다. 

[그림 1] 인간의 신경망 구조를 본떠 만든 

인공지능의 다층지각방식의 딥러닝 구조

대표적인 이미지 생성 AI 프로그램으로는  GPT-3, 미드저니, 달리로 대


background image

78 

지식과 교양 Vol. 13

표되긴 하지만, 최근에는 다양한 AI 이미지 생성 프로그램이 지속적으로 출
시되고 있어 예술 창작이 이제는 일반인도 가능한 시대가 되었다. 

그러나 이렇게 인공지능 이미지 생성 프로그램 원리에 따라 대부분 평

균적인 계산적 정보처리로 얻은 이미지들은 독창적이기보다는 미적으로 
대개가 통용될 수 있는 실패율이 적은 이미지 창작물일 경우가 많다는 점
을 상기하면 다음의 예술가가 직접 그림을 그리는 예술 창작 과정을 통해 
확인할 수 있다. 

[그림 2] 겹겹이 쌓인 레이어 – 복잡한 이미지 정보처리과정

반고흐의 예술 창작 행위는 단순한 감각적 정보처리과정으로 설명하기 

어려운 고흐만의 대상을 보는 방식과 이를 형상화하는 과정에서 자신의 지
극히 개인적인 경험과 기억, 그리고 감정적 표출이 개입된다. 이러한 과정
에서 무엇으로도 설명하기 어려운 비과학적인 감정이입이 동원되며, 보는 
이로 하여금 심금을 울리는 공감을 형성하는 요소가 된다. 미술교육자 아
더 애플랜드(Afland) 는 이미지의 생성은 다른 영역의 모든 정보와 지식을 
연계함으로써 가능하므로 모든 인간 뇌의 중추적인 역할을 할 수 있는 것
은 미술이 가진 힘이라고 했다. 이러한 주장은 미학적 개념으로서 표상의 
과정에서 요구되는 인간의 은유와 상징이라는 신경망의 정보처리과정에서 
발휘되는 인간이 가진 상상력으로 설명된다. 

따라서 예술가가 해오던 이미지 창작과 이러한 AI 프로그램으로 이미지

를 생성하는 창작이 어떤 점에서 다르고, 또 유사한지를 알 수 있다. 그럼에
도 인간의 경험과 지각의 측면에서 겹겹이 쌓인 레이어의 정보처리과정에
서 오는 복잡한 인간의 감정이입과 공감이라는 정서적 측면의 경험이 하나


background image

79

인공지능 이미지 생성 과정에서의 심미적 경험 고찰┃정옥희

의 이미지로 표출되는 데 인공지능을 활용한 창작과 인간 예술가가 하나의 
대상을 이미지로 창작하는 과정의 차이를 명확하게 차별점을 설명하기는 
어렵다. 

2) AI 프로그램을 활용한 이미지 생성 경험 사례

이 연구자는 AI 이미지 생성 프로그램으로 챗 GPT를 활용하여 이미지

를 창작해 본 경험을 통해 예술가의 창작 행위와 어떤 점이 다른지를 알아
보고자 한다. 인공지능 이미지 생성과정에 대한 실험으로서 연구자는 프로
그램 런웨이Runway를 이용하여 연구자가 원하는 풍경을 표현하는 이미
지를 생성하는 실험해보았다. 우선 연구자가 표현하고자 하는 풍경을 직접 
촬영하여 사진을 프로그램에 입력하고 명령어를 “입력한 사진을 인상파 그
림으로 그려줘”라고 넣어 보았다. 이에 대한 런웨이runway AI 프로그램이 
응답하여 생성한 이미지는 다음과 같다.

[그림 3] 런웨이 인공지능 프로그램으로 생성한 인상파 풍의 이미지

위 실험에서 연구자가 그려보고 싶은 이미지에 대한 설명을 입력하면 

설정된 정보를 인공지능이 연구자의 의도를 파악하여 그 상황에 따라 스스
로 인식하고 대응하여 새로운 정보를 찾아내 이미지를 창출하고 있음을 알 
수 있다. 인상파 그림에 대한 데이터를 인공지능이 학습한 정보들은 밤이
라는 상황에서의 인상파가 추구하는 빛에 의한 시시각각 변하는 인상의 색
을 그린 그림에 대한 정보가 연구자가 파악한 정보와 일치하지 않음을 알


background image

80 

지식과 교양 Vol. 13

게 되었다. 즉 이미지 제작을 위한 명령어를 입력하는 주체로서의 이 연구
자가 파악한 인상파 그림을 철저하게 데이터의 확률적인 오차 범주 내에서 
공통된 것으로 인지하고 생성하는 것을 알 수 있었다. 연구자가 원하는 것
은 밤에 비친 연못에 드리운 빛을 인상파 화가들이 표현한 방식으로 그려
보고 싶은 것이었기에 이번에는 구체적으로 “모네의 풍으로 그려줘”라는 
입력어를 추가해서 넣어보니 다음과 같은 이미지가 생성되었다.

[그림 4] 런웨이runway 인공지능 프로그램으로 생성한 

인상파 화가 모네풍의 이미지

이제는 다른 AI 프로그램을 사용하여 입력어로만 연구자 자신이 원하는 

이미지를 생성해 보았다. 123RF라는 프로그램을 이용하여 “코스모스가 하
늘하늘 피어있는 가을 풍경을 바라보고 있는 그림을 그려줘”라는 명령어를 
넣어 생성된 이미지는 수천 가지였다.

[그림 5] 123RF 프로그램으로 생성한 인상파풍의 이미지


background image

81

인공지능 이미지 생성 과정에서의 심미적 경험 고찰┃정옥희

원하는 이미지를 골라 편집하는 기술이 추가된 AI 프로그램으로 수많은 

이미지를 손쉽게 얻을 수 있었지만, 뭔지 모를 진부함과 지루함을 느끼기 
시작했다. 실제로 진정한 의미에서의 새로운 작품은 찾아보기 어렵고, 특
히, 예술의 본질적 역할이라 할 수 있는 ‘사유의 변화’를 가능하게 하는 ‘심
미적 경험’은 존재하지 않았다. 다음 섹션에서 ‘심미적 경험’에 대한 논의를 
하겠지만, 여기서는 왜 이 연구자가 인공지능 AI 프로그램을 활용하여 이미
지를 생성해보면서 시각적 재미와 오락적인 자극적 결과물만 난무하는 인
터넷 플랫폼이나 사이트와 같이 식상함을 경험했는지를 그 과정을 좀 자세
하게 살펴보고자 한다.   

이제 연구자의 현재 심적인 감정을 추가하여 그림으로 그려보고자 쳇

봇 기능이 강화된 프로그램으로 알려진 챗 GPT 프로그램인 뤼튼;wrtn AI 
포털 사이트를 활용해보았다. “강가에 한적하게 앉아 있으며, 공간에 아름
다운 코스모스가 피어있고 강가를 물끄러미 바라보고 있는 그림을 그려줘”
라고 입력어를 넣어 이미지를 생성해 보았다.

[그림 6] 뤼튼;wrtn 챗 GPT 프로그램으로 생성한 창작 이미지 1

이 연구자가 원하는 이미지 취향이 아니었기에 구체화된 수식어를 넣


background image

82 

지식과 교양 Vol. 13

어서 “하늘하늘하게”를 추가하여 입력어를 넣어 생성한 이미지는 아래와 
같다.

[그림 7] 뤼튼;wrtn 챗 GPT 프로그램으로 생성한 창작 이미지 2

이번에는 “물끄러미”와 “사실적인”이라는 수식어를 넣어 이 연구자의 

심미적 정서를 표현할 수 있도록 인공지능에게 구체화된 명령어를 넣어보
았다. 

[그림 8] 뤼튼;wrtn 챗 GPT 프로그램으로 생성한 창작 이미지 3


background image

83

인공지능 이미지 생성 과정에서의 심미적 경험 고찰┃정옥희

이 연구자의 설명문을 해독하면서 이번에는 ‘코스모스’가 꽃이 아닌 우

주의 코스모스로 인지하여 이미지를 생성해낸 것이다. 이제는 “수채화풍”
이라고 정확하고도 명확하게 이 연구자가 원하는 이미지를 생성해내도록 
구체적인 명령어를 넣어 보았다. 결과물은 다음과 같다. 

[그림 9] 뤼튼;wrtn 챗 GPT 프로그램으로 생성한 창작 이미지 4

위 실험들을 통해서 인공지능은 설명문을 입력한 의도를 파악하여 그 

상황에 따라 스스로 인식하고 대응하여 새로운 정보를 찾아내고 여러 가지 
이미지를 이미 입력된 정보들을 조합하고 결합하여 창출하고 있음을 알 수 
있다. 이러한 과정은 인간이 어떤 이미지를 만들어낼 때 이루어지는 과정
과 매우 흡사하다. 그럼에도 불구하고, 이 연구자는 예술에 대한 개념이 시
대마다 개인마다 그 가치에 대한 선택으로서 주관적인 것으로 인식되는 것
이기에 예술의 개념보다는 인공지능이 생성하는 이미지가 예술 창작 행위
와 어떤 차별화된 경험을 제공하는지에 초점을 두었을 때의 차별점은 존재
했다. 따라서 인공지능이 생성하는 이미지가 인간이 전통적으로 해오던 방
식의 오감과 지각적 훈련 및 표현기술에 의한 창작 과정에서 얻는 경험과 
다른 점이 존재한다면, 이러한 인공지능을 활용한 이미지 생성이 예술 창
작 행위로서 인간에게 제공되는 경험에 대해 논의를 해보고자 한다. 


background image

84 

지식과 교양 Vol. 13

4. 인공지능 활용 이미지 창작이 제공하는 심미적 경험

이 연구자는 예술 창작자의 의도를 얼마나 잘 구현해낼 수 있는가에 대

한 측면만이 아니라 AI 프로그램을 활용한 예술 창작 과정에서 기존에 그림
을 직접 그림으로써 얻었던 심미적 경험과 어떤 차이가 있을지에 대해 초
점을 두고 보다 구체적인 창작 실험을 해보았다. 우선 인공지능이 기존의 
미술화풍을 얼마나 학습하여 이미 입력된 정보들을 조합하고 결합하여 창
출하는지를 알아보고자 이 연구자가 알고 있는 미술화풍으로 그림을 직접 
그려보았다. 

[그림 10] 연구자의 자화상을 피카소의 화풍으로 그려낸 그림

연구자가 직접 자화상을 그려보는 과정에서 피카소의 화풍을 익혀야 

하는 과정이 필요했기에 많은 정보들을 찾아보고 이를 조합하고 자신이 원
하는 스타일의 자화상을 그려내고자 하는 의도와 지속적인 합의와 조정의 
시간이 요구되었다. 이 과정에서 이미지 정보처리과정이라 할 수 있는 딥
러닝의 경험을 인지적 측면에서 할 수 있었다. 

연구자가 직접적으로 그린 이미지 창작에서 경험한 심미적 특성을 

토대로 비교하기 위해 똑같은 사진을 AI 이미지 생성 프로그램 런웨이
runway에 입력하고 이미지를 창작해 보았다. 


background image

85

인공지능 이미지 생성 과정에서의 심미적 경험 고찰┃정옥희

[그림 11] 런웨이runway 인공지능 프로그램을 활용하여 

연구자의 자화상을 피카소풍으로 생성한 이미지

위의 인공지능으로 생성한 이미지들과 연구자 자신이 제작한 그림은 

물론 시간적인 효율성 측면에서 확연한 차이가 있었으며, 그 다양성 측면
에서 비교불가였다. 인공지능도 딥러닝 시스템으로 새로운 이미지 창출은 
할 수 있지만 20세기 이후 성립된 의미로서의 ‘창작’이라고 하기에는 ‘심미
적(aesthetic)’ 차원에서 논의가 필요하다. 

인공지능으로 생성되는 이미지 작업과 인간 예술가가 수행하는 작업의 

차이는 바로 창작의 주체에 있다. 모든 인간이 창작에 능하여 미디어나 다
른 도구를 사용하지 않고 스스로 창작을 행할 수 있는 것은 아니기에 인공
지능은 일반인으로 하여금 이러한 표현기술과 기능을 숙달하지 않고도 대
부분 아이디어와 발상만으로도 쉽게 이미지를 생성하고 창작을 가능하게 
한다. 그럼에도 인간 창작자는 인공지능과 같은 ‘도구’로서의 기능을 넘어 
창작의 주체가 된다. 어쩌면 강한 인공지능이 출시된다면, 창작자로도 가
능한 주체가 될지 모르나 지금의 단계에서는 몇 가지 다른 점이 있다. 

예를 들면, 인간이 직접 이미지를 표현해내기 위해서 인간의 뇌는 그것

이 표현으로 창출되기 전 반드시 자체적 평가를 거친다. 이 평가의 과정에
서 예술가는 자신이 가진 기억과 경험에 의존하여 표현하고자 하는 의도를 
명확하게 인지함으로써 자신이 의도한 표현이 결과물로서 예상을 벗어나


background image

86 

지식과 교양 Vol. 13

는 일이 일어나지 않도록  예상 가능한 범위 내에서 결과물을 창출하게 된
다. 반면에 인공지능으로 창작되는 결과물은 그러한 평가로서의 의사결정
의 과정을 알 수 없고, 인공지능이 의도한 것인지 아닌지를 알 수가 없어 창
작의 주체를 가늠하기 어렵다. 바로 ‘창작’이라는 개념에 있어 인공지능으
로 생성된 이미지들이 창작된 것인지, 복제된 것인지, 아니면 기존에 이미 
존재했던 작품인지를 알 수 없다는 점이다.

이 연구자가 실제 그림을 그릴 때와 인공지능 프로그램을 활용하여 이

미지를 생성할 때 가장 중요하게 작용했던 것은 창작에 대한 주체 의식이
었다. 이는 실행력과도 관련된 것으로 기술이 예술적 독창성에 영향을 미
치고 있음을 알 수 있었다. 이에, 인공지능 이미지 생성 과정에서 실제 그림
을 그릴 때와의 차별화된 심미적 경험을 다음과 같이 세 가지로 요약해 볼 
수 있다. 

1) 내재적 충족감보다는 확률적 타당성에 의한 심미적 인식

예술 창작에서의 심미적 경험은 인간의 지각적 감수성을 통한 충족감

이다. 이러한 충족감의 경험은 일반인이든 예술가이든 창작이라는 행위 그 
자체가 인간에게 주는 만족감으로 비롯된다. 인간은 지각된 대상의 의미를 
자신의 기억과 경험 속에서 찾을 때 만족감을 느낀다. 이는 실존적인 존엄
성에 대한 미적 경험이다. 인간의 실존적인 사유의 능력은 바로 이러한 충
족감의 경험 속에서 나오는데, 예술 창작은 이러한 사유의 과정에서 나오
는 충족감을 인간에게 제공해왔다.8) 인공지능은 인간 뇌의 복잡한 신경망
이 많은 시행착오들을 거쳐 의미를 찾아가는 사유과정을 단숨에 일반화하
거나 무작위로 평범함 속에 밀어넣는다. 생성형 AI를 통해 제작된 이미지 
창작 과정을 내재적 충족감으로서의 심미적 경험으로 보기는 어렵다. 이 

8) Kenneth Clark, What is a Masterpiece?, New York: Thames and Hudson, 

1979. 


background image

87

인공지능 이미지 생성 과정에서의 심미적 경험 고찰┃정옥희

연구자가 표현하고자 하는 피카소풍의 자화상을 그리면서 AI를 이용한 이
미지 생성은 기술적 효능에서 활용은 할 수 있을지언정 자기 자신에 대한 
기억과 성찰의 과정을 거치게 되고 한 감정적 정서를 담아내기 위해 수많
은 시행착오들을 거치고 얻은 결과에 대한 충족감은 없었다. 다만, 수많은 
정보들을 입력하고 처리하는 방식이 심미적 지각으로 오랜 시간 학습해야 
얻을 수 있는  데이터들을 한 눈에 볼 수 있어서 유사점들을 알아채는 데 유
용했기에, 기억과 경험으로 얻는 즐거움과는 다른 인식적 경험을 제공해주
었다. 이는 내재적 만족감과는 다른 논리적이고 형식적이고 확률적인 인공
지능의 정보처리과정에 대한 이해도 포함된다. 즉, 창작 행위에서 오는 내
재적 만족감이라기 보다는 감상에서 오는 심미적 인식에 의한 만족감을 제
공한다고 할 수 있다. 다만, ‘진정성’이 담긴 예술 창작 행위를 통해 얻을 수 
있는 내재적 가치가 있는 충족감을 제공하는 심미적 경험을 가져다 줄 것
이라는 기대는 아직은 시기상조인듯하다. 혹시, ‘강한 인공지능’이 창작의 
주체가 되어 인간처럼 그 자체의 존엄성이 인정받는다면 가능할지 모른다
는 것은 확실하다.

2) 상징 체계에 대한 이해와 분석을 통한 재창조

인공지능 생성 이미지 창작은 실제로 충족감으로서의 심미적 경험보다

는 유사한 스타일과 취향에 대한 예술의 특성을 심미적으로 인식하고 이러
한 상징 체계에 대한 이해와 분석을 통한 심미적 경험을 제공해 준다고 할 
수 있다. 넬슨 굿먼(Nelson Goodman)의 『예술의 언어Language of Art
에서 인간 이해의 상징적 체계로서의 예술이 제공하는 심미적 경험은 내재
적 만족감보다는 예술이 과학과 같이 참과 거짓 혹은 대상들 간의 연결된 
속성을 인지하는 것으로서의 지각적 깨달음이라고 할 수 있다.9) 그리고 작

9) Nelson Goodman 저, 김혜숙·김혜련 역, 『예술의 언어들: 기호 이론을 향하여』,  

이화여자대학교출판부, 2002. 


background image

88 

지식과 교양 Vol. 13

품의 견지에서 미묘하고 섬세한 특성들을 구별하고 확인하는 것, 세계를 
해석하며 재조직하는 것으로서의 심미적 경험이다. 이 연구자가 직접 경험
한 인공지능의 이미지 생성 기술의 활용은 예술이 가진 ‘보편성’과 관련된 
예술 작품을 구성하는 요소, 관계, 속성, 그리고 스타일들이 가진 특성을 구
별하고 파악하는데 매우 유용했다. 그리고 예술 창작과 작품들을 감상하는 
데 있어 예술가들이 만들어온 기준에 부합되는지에 대한 측면에서 인지적
인 효율성을 제공해주었다. 인공지능을 활용한 이미지 창작은 보편적인 예
술작품의 창작을 가능하게 하는 데 기여함으로써 자체가 그동안 예술가들
이 지속적으로 도전해온 스타일과 기법들을 재창조하는 심미적 경험을 제
공하는데 기여할 수 있다. 

3) 독자성을 담보하기 어려운 소비적 경험

이미지 창작은 인간 경험을 명료하게 하고 이를 통해 자신을 성찰하며 

사회에서 살아가는 데 요구되는 폅협과 독단, 대립과 강요를 멀리하도록 
하는 인간의 가치들을 예시화하는 역할을 한다. 이는 시각적으로 표현된 
감각들은 화면에서 기호화의 과정을 거쳐 미적 자유와 소통의 역할을 하게 
된다.10) 이는 인간의 잠재성을 주어진 제도적 맥락에서 공감적인 이해뿐만 
아니라 상상으로 기대할만한 가치들을 예시화한다. 이러한 제도적 효력으
로서의 심미적 경험은 앞서 언급한 내재적 충족감과 심미적 인식으로서의 
이해를 제공하는 지각적인 심미적 경험을 맥락적으로 성공적인 통합을 이
루도록 하는 것이다. 예를 들면, 인간이 타인과 어울리면서 주어진 삶 속에
서 연대 의식을 가지고 공동의 가치를 추구하지만, 자신만의 이야기와 경
험에 귀를 기울여줄 때 공감과 감동을 받는다. 이러한 심미적 소통과 사고
는 개인적이고 사회적인 가치 모두에 기여하며 인간의 경험을 형성하는 사

10) Immanuel Kant 저, 이석윤 역, 『판단력 비판Kritik der Urteilskraft』, 박영사, 

1981.


background image

89

인공지능 이미지 생성 과정에서의 심미적 경험 고찰┃정옥희

고를 강화함으로써 교육적 정당성을 부여한다. 

  그런데 심미적 소통의 가치를 제공하는 지극히 개인적이고 사소한 이

야기들이 인공지능의 정보처리 소재로 활용되면서 콘텐츠를 일반화하는 
데만 활용된다면, 더 이상 자신만의 경험으로 만들어지는 세계의 존재를 
잃어버리게 됨으로써 심미적 소통과 개인의 역량을 강화하는 역할을 할 수 
없게 된다. 디지털로 만들어진 콘텐츠들의 소비로 많은 부가가치를 창출할 
수 있을지언정 자신만의 가치를 정립하기 위한 메시지로서의 예술적 독자
성은 담보하기 어렵기 때문이다. 즉, 많은 사람들의 이야기 속에 흔하디 흔
한 하나의 소비적 내러티브로 전락시킴으로써 자신 만의 내재적 만족감을 
주는 심미적 경험은 존재하기 어렵다.11)

이러한 제도적 효력으로서의 심미적 경험은 예술교육에 인공지능의 활

용과 적용에 중요한 함의를 제공한다. 

5. 예술교육 방향에 주는 함의

예술은 결과물만이 아니라 제작 과정에서 얻는 심미적 경험과 아이디

어만으로도 충분한 가치를 가진다. 작품에 대한 설명과 아이디어는 그림을 
그려낸 결과물 못지 않게 중요한 창작 활동의 과정이며 이러한 언어적인 
표현과 설명들은 작품의 결과를 더욱 빛나게 한다. 이제 자신만의 예술적 
심미안을 가지고 대중의 심금을 울릴만한 아이디어를 가지고 있다면 인공
지능이 생성해주는 이미지는 그러한 예술가에게 유용한 자원이 되기 때문
이다.  

인공지능으로 이제는 아이디어와 실행력만 갖추면 누구나 음악을 작곡

하고 소설을 쓰고 웹툰을 그리는 작가로 활동할 수 있는 세상이 도래했다. 
아직은 이러한 예술적 감각이 실제 대량을 콘텐츠를 생산하고 유통할 수 
11) 한지우, 『AI는 인문학을 먹고 산다: 인문학으로 인공지능 시대를 주도하라』, ㈜

다빈치하우스-미디어 숲, 2021, 152쪽. 


background image

90 

지식과 교양 Vol. 13

있다 하더라고 누구나 인정할만한 예술가의 대열에 합류할 수 있는가에 대
한 논란이 멈추지 않고 있다. 그럼에도 불구하고 인공지능만으로 불가능한 
인간이 독자적인 존재로서 존엄성을 인정받는 경험적 실존으로서의 자아
를 표현함으로써 얻을 수 있는 예술적 성취감을 경험할 수 있을 거라 기대
하기에는 이르다는 의견이 지배적이다. 

그럼에도 불구하고 인공지능을 활용한 이미지 창작에서 얻은 심미적 

경험의 특성이 예술교육의 방향성에 대한 중요한 시사점을 제공한다. 이 
연구자는  다음과 같이 세 가지 차원에서 이와 관련된 논의를 제기해보고
자 한다. 

첫째, 지식의 축적과 오랜 경험 학습의 산물로 이루어질 수 있는 사유를 

통한 창의력을 개발하는 것에 관한 문제이다. 우선 사람이 만든 예술은 “새
로움, 놀라움, 다양한 해석이 가능한 모호함, 특이성, 사회적 함의, 유일성, 
작가” 등의 차원에서 가치를 인정받는다.12) 반면에, AI로 생성된 이미지는 
작가의 의도가 없는 이유로 단순한 변형과 모방일 뿐이라는 주장이 일 수 
있다. 즉, 최초의 창작이라는 작가의 의도와 생각, 작업을 통해 전해지는 노
작에 대한 경이로움과 경외심으로 인정받는 데 요구되는 시각적 인지의 과
정이 포함되어 있지 않다는 점이다. 인공지능 기술을 활용할 수 있는 전문
가들이 이제는 어느 정도 패턴만 지정해 준다면 창의성을 발휘하는 인공지
능이 훨씬 더 빠를 시간에 이미지를 구현해내기에 창의적인 아이디어보다
는 인공지능 기술을 고도로 개발하는 데 더 많은 시간을 쏟게 될 것이라는 
점이다. 이러한 인간이 경험해오면서 축적된 학습의 산물은 단순히 정보 
처리기술만으로 담아내는 것에는 한계가 있는 직감적 추리력과 직관이 존
재한다. 경험의 개발은 현재의 경험과 과거의 경험을 즉각적으로 미래 경

12) 한광택, 「인공지능의 예술적 창의성 개념의 재고찰」, 『예술영재교육』 제8호, 한

국예술종합학교 한국예술영재교육연구원, 2022, 83-104쪽. 


background image

91

인공지능 이미지 생성 과정에서의 심미적 경험 고찰┃정옥희

험에 유용하게 사용하도록 하는 데 그 의미가 있다. 따라서 오랜 시간에 축
적된 정보들이 어우러져 이루어질 수 있는 사유를 통한 창의력을 개발하는 
데 소홀해질 확률이 있기에 인공지능으로 생성되는 이미지 창작은 이러한 
직감적 능력을 개발하기 위한 인문학적 사유에 대한 학습을 강화해야 한
다.  

둘째, 주체성과 실행력에 관한 문제이다. 향후 인공지능기술로 사라지

는 일자리와 생겨나는 일자리들이 각자의 전공 분야에서 발 빠르게 움직이
지 않으면 그에 따른 수요에 미치는 인재를 길러내지 못할 것이라는 인식
들이 대학에서는 팽배하다.13) 예를 들면, 각자의 전공 분야에서 학습할 것
도 많은데 인공지능기술까지 익혀야 하는 상황이기에 대체적으로 교양교
육을 통해 AI 교육이 이루어져야 하는데도 아직은 이공계에서의 공학 전공
에서의 프로그래밍 수준의 학습이 이루어지는 정도만으로 인식되고 있다
는 점이다. 그렇다면 예술 AI를 누구에게 가르쳐야 하는가에 대한 문제가 
발생한다. AI가 생성적 적대 신경망이라는 새로운 데이터 생성 모델을 적
절히 활용하면 해당 분야 데이터로 새로운 창작을 할 수 있게 되었지만, 이
러한 예술 AI 활용기술은 공학분야에서 가르쳐야 하는가, 아니면 예술계열
에서 AI를 가르쳐야 하는가에 대한 그 활용 주체에 대한 논의가 요구된다. 
따라서 전문적인 인공지능 이미지 생성과 관련한 교육의 대상과 그 대상에 
따른 교육 내용과 방향 설정이 요구된다.

마지막으로, 예술교육에서 인공지능은 인지과학과 교육학 이론들과 방

법들에서 어떤 종류의 교수법이 효과적이고 어떤 콘셉트들이 AI 학습에 요
구되는지를 재고해 봐야 한다. 인공지능으로 생성되는 이미지 구현 기술은 
엄청난 양의 데이터로부터 패턴을 발견하는 등 머신러닝, 신경망, 진화 알

13) 전승민, 『나는 AI와 일한다: 인공지능 시대에 직장에서 살아남는 법』, 위너스북, 

2022.


background image

92 

지식과 교양 Vol. 13

고리즘 등의 방법적인 측면에서의 활용을 연구하는데 집중되어 있다. 이런 
측면에서 이 연구를 통해서 인공지능을 활용한 이미지 생성 과정에서의 심
미적 경험은 전통적 예술 창작이 제공하는 본질적 내재적 가치로서의 만족
감을 가져다 주는 심미적 경험을 제공한다고 보기 어렵지만, 지금 여기에
서 자체적으로 소모하고 그 상황에서 즉각적으로 즐길 수 있는 심미적 인
식을 추구하는 특성으로 인해 인지적이고 실용적인 차원의 심미적 경험을 
제공해준다고 할 수 있다. 인공지능을 통한 이미지 생성은 즉, 생성형 인공
지능의 이미지 창작은 감상적 측면에서 예술작품의 특성에 대한 학습을 효
과적으로 하게 하며, 이러한 학습의 결과로서 예술에 대한 개념적 인식을 
가능하게 한다. 인공지능으로 생성되는 이미지 창작 기술은 실용적 도움을 
넘어 인간 스스로의 능력을 강화하게 위한 정교한 도구로서 인간의 뇌가 
해왔던 정보처리를 빠른 시간에 해낼 수 있다. 따라서 이러한 정보처리 과
정은 예술의 인지적 측면을 강화하는 데 효과적이기에 제도적 효용과 이해
로서의 심미적 경험을 제공하는 데 교육적 활용의 가치가 있다. 

6. 맺음말

최근 인공지능으로 생성되는 이미지들이 하나의 창작물로서 예술로 인

정되는 시대가 도래하면서 이제는 직관과 추상, 그리고 생각의 틀을 형성
하는  예술교육은 새로운 방식의 학습으로의 전환이 요구된다. 예술적 산
물과 창작 행위는 인간 경험이 단지 정보와 지식을 축적하고 처리하는 차
원을 넘어 인간의 정서와 감정을 고양시킴으로써 미적인 소통을 가능하게 
하는 교육적 가치를 지닌다. 인공지능 시대로 일컫는 오늘날 기술적인 차
원에서 시스템적 전환을 의미하는 것을 넘어 어떻게 가르칠 것인지와 무엇
을 가르쳐야 할지에 대한 논의들이 제기되고 있다. 이러한 측면에서 수많
은 인간의 감각적 인지정보처리를 가능하게 하는 심미적 경험이 가지는 통


background image

93

인공지능 이미지 생성 과정에서의 심미적 경험 고찰┃정옥희

합적 지각 행위로 간주되는 예술을 통한 교육은 일반교육과 교양교육의 실
천에서 중요한 체험 교육의 정당성을 제공해왔다. 더구나 예술의 비학문적
이고 학문적인 이분법적인 관점에서 다학제적이고 간학문적이면서 지식과 
경험의 융합적 특성은 교양교육에서 중요하게 간주되어왔다. 

교양교육의 기원을 통해 심미적 교육을 통한 인간 경험 형성을 주장한 

랄프 스미스(R. Smith)는 심미적 경험을 “의미있는 학습 과정”으로 보고, 
이러한 학습 과정을 거쳐 경험과 이해를 통한 성장이 가능하다고 하였다.14) 
이는 인공지능의 이미지 생성과정에서 정보처리 기술의 특성으로 학습에 
활용되기 위해서 우선적으로 이러한 의미있는 학습이 일어나기 전의 “상위
학습”으로서 감각적 체험이 선행되어야 한다는 의미를 시사한다. 인공지능 
이미지 생성 시대 예술교육의 방향성과 관련하여 예술계 학생과 예술가에
게 AI를 가르쳐야 하는가? 아니면 AI 전문가에게 예술을 제대로 이해하고 
익히도록 해야 하는가?의 딜레마 역시 존재한다. 예술가가 AI 전문가와 협
업하여 작품이 창작된다면 이러한 문제는 해결될 수 있지만, AI 이미지 생
성과정에서의 정보처리 기능과 같은 아주 최소한의 컴퓨터 프로그래밍과 
코딩 교육은 필요하며, 데이터 수집, 처리, 텐서 플로우, 파이토치 등의 AI 
도구 라이브러리를 활용하기 위한 기초적 코딩교육이 이공계 학생 못지 않
게 예술을 배우는 학생들에게 요구된다.15) 또한 전공 영역과 상관없이 예술
의 특유한 속성을 식별하고 가치있는 작품들에 대한 기능을 이해하고 심미
적 경험을 제공하게 함으로써, 단순한 인공지능 기술만을 익히는 것이 아
니라 인문학적이고 사회학적이며, 공학적인 결합을 가능하게 하는 교양교
육의 새로운 지평을 제공할 수 있다. 

14) Ralph Smith, Culture and the Arts in Education, New York: Teachers 

College Press, 2006, p.72. 

15) Wayne Holmes, Maya Bialik, Charles Fadel 저, 정제영·이선복 역, 『인공지능 

시대의 미래교육: 가르침과 배움의 함의』, 박영Story, 2020.


background image

94 

지식과 교양 Vol. 13

❚참고문헌

김대식·김도형·김태용·김혜연·이완 편, 『생성 예술의 시대』, 도서출판 동

아시아, 2023. 

이윤정, “미술대회 우승까지 한  'AI 그림'…단순 표절일 뿐 vs 새로운 

예술 도구”, <경향신문>, 2022.09.10.

이재박, 『예술과 인공지능』, ㈜엠아이디미디어, 2021.
전승민, 『나는 AI와 일한다: 인공지능 시대에 직장에서 살아남는 법』, 위

너스북, 2022.

한광택, 「인공지능의 예술적 창의성 개념의 재고찰」, 『예술영재교육』 

제8호, 2022, 83-104쪽. 

한지우, 『AI는 인문학을 먹고 산다: 인문학으로 인공지능 시대를 주도하

라』, ㈜다빈치하우스-미디어 숲, 2021, 152쪽. 

Immanuel Kant

 저, 이석윤 역, 『판단력 비판Kritik der Urteilskraft』, 박

영사, 1981.

John Dewey

 저, 박철홍 역, 『경험으로서의 예술』, 나남, 2016.

John Dewey

 저, 엄태동 역, 『경험과 교육』, 박영사, 2019. 

Kenneth Clark,

 What is a Masterpiece?. New York: Thames and 

Hudson, 1979.

Maxine Greene,

 Landscape of Learning. New York: Teachers College 

Press, 1978. 

Maxine Greene

Releasing the Imagination. San Francisco: Jossey-

Bass, 1995. 

Nelson Goodman

 저, 김혜숙·김혜련 역, 『예술의 언어들: 기호 이론을 

향하여』, 이화여자대학교출판부, 2002. 

Ralph Smith,

 Culture and the arts in education. New York: Teachers 

College Press. 2006.


background image

95

인공지능 이미지 생성 과정에서의 심미적 경험 고찰┃정옥희

Wayne Holmes·Maya Bialik ,Charles Fadel 

저, 정제영·이선복 역, 『인

공지능 시대의 미래교육: 가르침과 배움의 함의』, 박영Story, 

2020.


background image

96 

지식과 교양 Vol. 13

❚국문초록

오늘날 예술은 인공지능 기술의 발달로 경제적 효율성이라는 측면에

서 대중적으로 확장되고 인간의 노동력과 시간을 매우 효율적으로 대
체해 준 것처럼  일반인들에게 그 창작의 기회를 열어주고 있다. 인공지
능기술의 획기적 발전에 따른 경제적 이익 이면에 인공지능으로 생성되
는 이미지에 저작권과 실행 주체에 대한 관심이 고조되고 있는 상황에
서 이 연구는 연구자가 직접 실제 그림을 그릴 때와 AI 프로그램을 통해 
이미지를 생성할 때의 심미적 경험의 차이를 고찰하였다. 

인공지능이 챗 GPT의 개발로 언어와 이미지 간의 데이터 정보처리 

기술이 새로운 예술 창작의 지평을 열어주는 가운데 기존 예술교육과 
차별화된 방향성 측면에서 이 연구를 통해 얻은 시사점은 세 가지 차원
에서 언급될 수 있다. 첫째, 지식의 축적과 오랜 경험 학습의 산물로 이
루어질 수 있는 사유를 통한 창의력을 개발하는 것과 관련하여 인공지
능으로 생성되는 이미지 창작은 인문학적 사유의 과정이 결여되어 있어 
이에 대한 학습의 측면에서 강화될 필요가 있다. 둘째, 주체성과 실행력
에 관한 문제로 예술 AI 활용기술을 공학분야에서 가르쳐야 하는가, 아
니면 예술계열 분야에 가르쳐야 하는가에 대한 그 활용 주체에 대한 논
의를 통해 전문적인 인공지능 이미지 생성과 관련한 교육의 대상과 그 
대상에 따른 교육 내용과 방향 설정이 요구된다. 마지막으로, 예술교육
에서 인공지능은 인지과학과 교육학 이론들과 방법들에서 어떤 종류의 
교수법이 효과적이고 어떤 콘셉트들이 AI 학습에 요구되는지를 재고해 
봐야 한다. 

결론적으로 단순한 인공지능 기술만을 익히는 것이 아니라 인문학적

이고 사회학적이며, 공학적인 결합을 가능하게 하는 교양교육으로서의 
예술교육의 새로운 지평을 강구해야 함을 알 수 있다.

주제어 ● 생성형 AI, 예술교육, 챗 GPT, 심미적 경험 


background image

97

인공지능 이미지 생성 과정에서의 심미적 경험 고찰┃정옥희

❚Abstract

Aesthetic Experience in Artificial Intelligence Image 

Generation: Focusing the discussion on the direction of 

art education

Jeong, Ok-Hee / Mokwon University

Today, art is expanding in terms of economic efficiency with the 

development of artificial intelligence(AI) technology and opening up 
opportunities for creation to the general public, just as it has very efficiently 
replaced human labor and time. Amid growing interest in copyright and 
execution subjects in images generated by AI behind the economic benefits 
of the breakthrough development of artificial intelligence technology, this 
study examines the difference between the aesthetic experience when the 
researcher drew an actual picture himself and when creating images through 
AI programs. 

With the development of Chat GPT utilizing AI, data information 

processing technology between language and images opens the horizon for 
new art creation. The implications of this study can be presented in three 
dimensions in terms of differentiated directions from existing art education. 
First, in relation to developing creativity through thought that can be made up 
of accumulation of knowledge and long experiential learning, image creation 
by AI lacks a process of humanistic thinking and needs to be reinforced in 
terms of learning. Second, the subject of education related to the creation of 
professional AI images and the setting of educational content and direction 
according to the subject are required through discussions on whether art AI 
utilization technology should be taught in engineering fields or in art fields 
as a matter of subjectivity and execution power. Finally, in art education, AI 
should drive a reconsideration of what kind of teaching methods are effective 
and what concepts are required for AI learning in cognitive science and 


background image

98 

지식과 교양 Vol. 13

❙논문투고일:2023.10.22.❙심사완료일:2023.11.03.❙게재확정일:2023.11.28.❙

pedagogical theories and methods. 

In conclusion, with the development of Chat GPT, artificial intelligence 

opens up the horizon for new art creation through data information processing 
between language and images, and the purpose and meaning of traditional art 
education need to accommodate this change and transform in the practice of 
liberal arts education at a time when the development of these technologies is 
required. The implications of this study show that by identifying the unique 
attributes of art regardless of the major area, understanding the functions of 
valuable works, and providing aesthetic experiences, a new horizon must 
be devised for liberal arts education that enables humanities, sociological, 
and engineering combinations as well as simple artificial intelligence 
technologies. 

Keyword ● Generating AI, Art education, Chat GPT, Aesthetic experience


background image

99

대통령의 국경일 연설문에 나타난 

어휘 사용 양상*

- 빅카인즈를 활용하여

1. 서론

대한민국 대통령은 강력한 권한과 의무를 지고 있다. 대통령의 권한과 

의무는 헌법에 규정되어 있으며, 국군 통수권(74조), 공무원 임면권(78조, 
86조, 87조 등), 법률안 제출 및 거부권(40조), 행정부 구성권, 외교 관련 조
약 체약 및 비준(73조) 등 ‘헌법 수호 의무, 국가의 독립‧보전 의무, 직무 수
행 의무, 평화 통일 노력 의무’(66조)를 지게 된다. 그 내용은 대통령의 취임 
선서(69조)를 통해서도 알 수 있다.

“나는 헌법을 준수하고 국가를 보위하며 조국의 평화적 통일과 국민의 자
유와 복리의 증진 및 민족문화의 창달에 노력하여 대통령으로서의 직책을 

조 용 림**

1. 서론
2. 연구 대상 및 방법
3. 국경일별 특성값 어휘 분석
4. 결론 

목  차

* 본 논문은 '챗 GPT 시대의 교양교육의 역할 Part.2'를 주제로 진행되었던 2023년 

제7회 목원대학교 스톡스대학 교양교육혁신 학술대회에서 발표한 원고를 수정·

보완한 것임.

** 목원대학교 기초교양학부 교수

https://doi.org/10.54698/kl.2023.13.99


background image

100 

지식과 교양 Vol. 13

성실히 수행할 것을 국민 앞에 엄숙히 선서합니다.”(헌법 제69조)

이렇듯 대통령의 직무 활동 중의 행위 및 연설은 권한과 의무의 직접적 

대상이 되며, 대통령의 발언 및 연설은 헌법과 법률 등의 행위로써 기록되
며, 법률적 효력이나 국가 정책 방향을 제시하게 된다.1) 

따라서 이 연구에서는 대통령 연설문 중 국경일에 발표된 연설문의 핵

심을 이해하기 위해 빅카인즈를 활용하여 특성값 추출 키워드를 제시하고
자 한다. 

2. 연구 대상 및 방법

1) 연구 대상

지금까지 대통령 연설문의 연구는 분야별 연구에서 사회과학, 정치, 역

사, 국어국문학 분야에 국한되었으며, 유형별 연구에서 문체, 높임법, 수사
학적 언어 특성에 관한 연구와 대통령을 비교하는 연구가 대부분이었다.2) 

이 연구에서는 빅카인즈의 형태소 분석 및 특성값 어휘 추출을 중심으

로 제헌절, 개천절, 한글날에 발표된 대통령 연설문의 특성값 어휘를 분석
하고자 한다.3) 연구 대상 자료는 대통령기록관에서 제공하는 대통령 연설

1) 1941년 11월 28일 임시정부 국무회의에서 3․1 운동의 독립 정신을 계승한다

는 임시정부 작성의 헌법 초안을 바탕으로 1948년 7월 17일 제헌 헌법을 제

정하였고, 현재까지 9번의 개헌이 이루어졌다(문화재청 고시 제2018-182호), 

2018.12.31.). 조용림(2022 : 351-352) 참조.

2) 분야별 연구에는 김혁(2014)의 대통령의 리더십과 정책의제 설정 연구, 박준형 

외(2017)의 역대 대통령의 중심 가치 연구, 김성국 외(2020)의 대통령의 해양관

에 관한 연구, 박정원 외(2020)의 대통령 규제개혁 정책 경향에 관한 연구, 정승

훈(2020)의 대통령의 현충일 추념사 연구 등이 있다. 

유형별 연구에는 대통령 개별 연구 또는 비교 연구가 해당된다. 권향원 외(2013)

의 김영삼, 김대중, 노무현, 이명박 비교 연구, 김병홍(2014)의 사과담화문 연구, 

황창호 외(2015)의 연설문의 유형과 특징 비교 연구, 김병홍(2017), 대통령 취

임사의 언어 특성 연구, 조용림(2022), 대한민국 대통령의 취임사 연구, 조용림

(2023), 대통령의 취임사 및 신년사 연구 등이 있다.

3) 5대 국경일 중 3․1절과 8․15 광복절은 가장 큰 국경일로써 매해 발표되었으며, 그 

내용이 풍부하여 심도 있는 논의를 위해 이 연구에서는 제외하고 후속 논의를 기


background image

101

대통령의 국경일 연설문에 나타난 어휘 사용 양상┃조용림

문 76편을 대상으로 한다. 

[표 1] 대통령별 연설문 자료

대통령

재임 기간

재임 개월

연설문 제헌절 개천절 한글날

1~3대 이승만 1948.7~1960.4

11년 8개월

998

2

0

6

4대 윤보선 1960.8~1962.3

1년 7개월

3

0

0

0

5~9대 박정희 1963.12~1979.10 15년 10개월

1,270

16

16

12

10대 최규하 1979.12~1980.8

8개월

58

1

0

0

11~12대 전두환 1980.9~1988.2

7년 5개월

602

6

7

0

13대 노태우 1988.2~1993.2

5년

601

1

0

1

14대 김영삼 1993.2~1988.2

5년

728

0

0

0

15대 김대중 1998.2~2003.2

5년

822

0

0

0

16대 노무현 2003.2~2008.2

5년

780

1

0

1

17대 이명박 2008.2~2013.2

5년

819

1

0

1

18대 박근혜 2013.2~2017.3

4년

493

0

0

0

19대 문재인 2017.5~2022.5

5년

1,392

0

0

4

8,566

28

23

25

2) 연구 방법

지금까지 텍스트 마이닝은 한국어 형태소 분석의 난해함으로 문장 분

석에 어려움을 겪었다. 그러나 한국어 형태소 분석 기법이 발달하여 연구
가 활발해졌으며,4) 최근에는 생성형 AI의 개발로 원문 자료의 형태소 분석, 
주제어 추출 기법 등의 분석 없이도 바로 데이터 처리가 가능하다.

이 연구에서는 대통령기록관에서 제공하는 대통령의 국경일 연설문을 

대상으로 한국언론진흥재단의 빅카인즈(Bigkinds) 특성값 추출 알고리듬
을 활용하여 핵심 키워드를 제시하고자 한다. 빅카인즈의 특성값 추출 어
휘는 ‘특성추출’ 분석기를 이용하여 특성값이 높은 어휘 순으로 키워드를 
제시한다. 여기서 ‘특성추출’이란 텍스트 자료 중에서 중요하다고 판단한 

약한다.

4) 조용림, 「텍스트 마이닝을 활용한 글쓰기 자료 분석」, 『문화와 융합』 42권 5호,  

한국문화융합학회, 2020, 280-281쪽.


background image

102 

지식과 교양 Vol. 13

명사 추출 키워드이며, 그 키워드는 특성추출에 기반해 계산된 중요도 값
을 말한다. 그 중요도 값은 ‘텍스트 랭크(Text Rank)’ 알고리듬으로 자동 판
단되어5) 특성값이 높은 어휘를 순차적으로 보여주는 특징을 갖는다.

이 연구에서는 제헌절, 개천절, 한글날의 기념일별, 연도별 대통령 연설

문의 최상위 특성값 키워드를 제시하고, 빅카인즈의 알고리듬을 통해 특성
값 어휘를 중심으로 연관어를 파악하여 각 연설문의 핵심 내용을 살펴보고
자 한다. 

3. 국경일별 특성값 어휘 분석

1) 제헌절 특성값 어휘 분석

제헌절에 발표된 대통령 연설문은 이승만 대통령이 2편, 박정희 대통령

이 16편, 최규하 대통령이 1편, 전두환 대통령이 6편, 노태우 대통령이 1편, 
노무현 대통령이 1편, 이명박 대통령이 1편으로 모두 28편이 제공되고 있다. 

[표 2] 대통령별 제헌절 자료

대통령

재임 기간

키워드

특성값6)

연도

이승만

2대 52.08.15~56.08.14.

국회의원

0.01631

1952

민국

0.02059

1954

5대 63.12.17~67.06.30.

민주주의

0.01236

1964

민주헌법

0.01045

1965

(나라)헌법

0.01040

1966

5) 한국언론진흥재단 빅카인즈 형태소 분석, https://www.bigkinds.or.kr/v2/

analysis.

6) ‘특성값’은 알고리듬에 의해 특성값이 큰 어휘부터 순차적으로 제공된다. 한편 특

성값 어휘의 의미 파악이 어려운 의존명사, 일반 대명사, 중복 키워드 등일 경우 

차순위 값을 제시하도록 한다. ; 조용림, 「대한민국 대통령의 취임사 연구」, 『지

식과 교양』 9호, 목원대학교 교양교육혁신연구센터, 2022, 354-356쪽. 


background image

103

대통령의 국경일 연설문에 나타난 어휘 사용 양상┃조용림

박정희

6대 67.07.01~71.06.30.

민주주의

0.01217

1967

국민 생활

0.03289

1968

민주 헌법

0.02081

1969

민주 헌법

0.01491

1970

7대 71.07.01~72.12.26.

민주 헌법

0.03010

1971

조국 통일

0.04436

1972

8대 72.12.27~78.12.26.

평화 노력

0.02157

1973

민주주의

0.03142

1974

민주 발전

0.03472

1975

민주주의

0.01625

1976

(나라) 민주

0.01497

1977

국민 총화

0.01421

1978

9대 78.12.27~79.10.26.

자주 국민

0.01236

1979

최규하

10대 79.12.21~80.08.16.

나라 헌법

0.01298

1980

전두환

11대 80.09.01~81.02.24.

12대 81.03.03~88.02.24.

헌정사 

0.01557

1981

제5공화국 헌법

0.01141

1982

북한공산집단

0.01208

1983

현행 헌법

0.01212

1984

헌정사

0.01582

1985

민주주의

0.01195

1986

노태우

13대 88.02.25~93.02.24.

민주헌정

0.00975

1989

노무현

16대 03.02.25~08.02.24.

대통령 선거

0.01556

2007

이명박

17대 08.02.25~13.02.24.

대한민국

0.02767

2008

합계

28편

(1) 2대 특성값 어휘
이승만 대통령의 제헌절 연설문은 2편이 제공되고 있다. 초대 대통령으

로서 발표된 제헌절 연설문에서는 “국회의원”과 “민국”이 특성값이 높은 
어휘로 나타났다.

52년에는 “국회의원”과 국민에게 민주국가로 헌법을 제정하였고, 4년

간의 경험으로 헌법 조항을 수정하여 대통령 직접 선거와 국회 양원제를 


background image

104 

지식과 교양 Vol. 13

통과시킬 수 있다고 하였다. 54년에는 민주국가 토대를 보유하기 위한 헌
법의 조건을 제시하였는데, 대통령의 파면 조건, 고위공직자 및 공무원의 
비리를 더 엄중하게 처벌할 것, “국회의원”의 뇌물, “민국”의 중대 문제에 
대한 재판소 구성 및 판결 등을 헌법 조건으로 제안하였다. 

(2) 5~9대 특성값 어휘
박정희 대통령의 제헌절 연설문은 16편이 제공되고 있으며, 매년 발표

되었다. 5~7대까지는 “민주, 헌법”이, 8~9대에는 “통일, 평화, 자주” 어휘
가 특성값이 높게 나타났다. 

5대 제헌절 연설문은 3편이 제공되고 있다. “민주주의, 민주헌법, (나라) 

헌법”이 특성값이 높은 어휘로 나타났다. 64년에는 헌법은 건국이념을 표
현하여 국민의 자유, 평등과 창의를 존중 보장하며, 정치적․경제적 “민주주
의”의 드높은 이상을 규범화하고, 육성시켜야 한다고 하였다. 65년에는 17
년 전의 성문 “민주헌법”으로 국민투표에 의해 “(나라) 헌법”이 국가적 안
정, 정치적 안정, 경제개발을 뒷받침할 제도를 마련하였다고 하였다. 66년
에는 세계 어느 “(나라) 헌법”에 비해 손색이 없는 “민주헌법”으로 제정되
었으며, 공산주의자들의 허망과 그릇된 점을 고치려면 경제적 번영과 민주 
역량을 확고히 하여 이루어질 수 있다고 하였다. 

6대 제헌절 연설문은 4편이 제공되고 있다. “민주주의, 국민 생활, 민주 

헌법”(2회)이 특성값이 높은 어휘로 나타났다. 67년에는 근대적 헌법을 제
정하고 새 공화국의 기초, 독립투쟁, 민족해방, 공산주의를 물리쳐 자유“민
주주의”로 대한민국 헌법을 제정한 것이라고 하였다. 68년에는 헌법정신
과 이념이 “국민 생활”에 정착한 지 20번째라고 하였다. 69~70년에는 “민
주 헌법”을 제정하여 불법이나 부조리가 묵과될 수 없는 근대화가 되었다
고 하였으며, “민주 헌법”은 몇 차례 개헌으로 자주와 자립, 자유와 민주를 


background image

105

대통령의 국경일 연설문에 나타난 어휘 사용 양상┃조용림

기본 원리로 국가 개발을 추진하는 제도라고 하였다. 

7대 제헌절 연설문은 2편이 제공되고 있다. “민주 헌법, 조국 통일”이 

특성값이 높은 어휘로 나타났다. 71년에는 헌법 개정을 통해 손색없는 “민
주 헌법”이라고 자부하면서 준법정신을 함양하고 민주 정치를 생활화해 나
가도록 촉구하였다. 72년에는 남북공동성명(72년)이 가져온 “조국 통일”의 
기대와 신념 속에서 제헌절을 맞아 남북 간의 대결에서 민주 체제가 우월
하고, 북쪽과 대화하여 통일에 매진하자고 하였다. 

8~9대 제헌절 연설문은 6편이 제공되고 있다. 특성값이 높은 어휘에는 

“평화 노력, 민주주의(2회), 민주 발전, (나라) 민주, 국민 총화, 자주 국민”
으로 나타났으며, 유신 헌법 개정으로 “민주(주의)”가 자주 등장한다. 

8대 제헌절 연설문 중 73년에는 72년 10월 유신 후 처음 맞는 제헌절임

을 강조하면서 “민주” 헌법을 승화시켜 10월 유신으로 새로운 헌정 체제를 
확립하였고, 국력 배양이 “평화 노력”의 원동력이라고 하였다. 74년에는 
“민주주의”를 수호하고 정통성을 발전시키기 위해 반공 사상을 정신적 지
주로 삼아야 한다고 하였다. 75년에는 국토 분단, 민주 헌정 육성, 국력 배
양을 해야 하며, “민주 발전”을 저해하고, 헌정 질서 유린, 국가 안보 위협
은 반민주적 행위라 하였다. 76년에는 “민주주의” 기틀을 다지고, “민주주
의” 이념을 창조적으로 실천하여 민족중흥과 막강한 국력의 이념을 뿌리
내릴 수 있다고 하였다. 77년에는 “(나라) 민주” 헌정을 발전시키기 위해 자
주, 자립의 시대, 새마을 운동이 생산적, 능률적 발전을 활력소가 되고 있으
며, “민주” 복지사회 건설에 헌신하자고 하였다. 78년에는 10월 유신으로 
개혁 단행, 민주주의 정립, 국력 조직, 내외 정세의 변화에 대처하며, “국민 
총화”, 국력 배양하여 조국의 평화 통일을 앞당기자고 하였다. 79년에는 국
가 안보 위협, 경제 건설, 세계적 자원난, 유류 가격 폭등 등 고통이 있지만 
80년대는 “자주 국민”의 긍지를 갖자고 하였다. 


background image

106 

지식과 교양 Vol. 13

(3) 10대 특성값 어휘  
10대 제헌절 연설문은 1편이 제공되고 있다. “나라 헌법”이 특성값이 

높게 나타났다. 80년에는 “나라 헌법”은 6.25의 국난을 당하여 군관민의 일
치단결로 극복하고, 국가의 보위와 공공질서와 사회안정의 토대 위에 경제
의 안정적 성장과 국민 생활의 안정을 도모할 것이라고 하였다. 

(4) 12대 특성값 어휘
11대 제헌절 연설문은 발표되지 않았으며, 12대 제헌절 연설문은 6편

이 제공되고 있다. 특성값이 높은 어휘에는 “헌정사, 제5공화국 헌법, 북한
공산집단, 현행 헌법, 헌정사, 민주주의”로 나타났다. 임기 초반에는 “헌정
사, 헌법, 북한” 관련 어휘, 임기 후반에는 “헌정사, 민주주의”가 특성값이 
높았다. 

81년에는 우리의 “헌정사”는 수난의 역정과 시련으로 시행착오를 딛고 

새 출발을 시작했으며, 준법정신 실천, 민주 복지국가 건설에 매진하여 헌
법제정의 이념과 정신을 강조하였다. 82년에는 “제5공화국 헌법” 이전까
지 헌정사는 불행하였으며, 헌법이 존중받고 기강과 사회의 질서가 정착되
기 위해 “제5공화국 헌법”을 채택하였다고 하였다. 83년에는 우리 헌정의 
위협은 “북한공산집단”의 대남침략 책동이지만, 헌법정신 생활화, 성숙한 
민주시민의 자세를 견지하겠다고 하였다. 84년에는 80년의 민주, 정의, 복
지의 대로를 여는 제5공화국 “현행 헌법” 아래 정치 사회적 안정과 발전을 
지속할 것이라고 하였다. 85년에는 평화적 정권교체의 실현이 “헌정사”의 
과제이며, 헌법정신의 구현을 위해 전통 수립을 확신하고 있다. 86년에는 
“민주주의” 정착을 실천해 나가야 하며, 단임 정신 준수, 평화적 정권교체
의 실현을 전제로 하고 있다고 하였다. 

(5) 13대 특성값 어휘


background image

107

대통령의 국경일 연설문에 나타난 어휘 사용 양상┃조용림

13대 제헌절 연설문은 1편만 제공되고 있다. 특성값이 높은 어휘에는 

“민주헌정”으로 나타났다. 89년에는 빼앗긴 나라를 되찾은 국민이 주인이 
되는 “민주헌정”을 열었으며, 87년 6.29선언은 헌법을 둘러싼 갈등을 씻어
내고 출발하였으며, 87년 헌법은 국민의 총의로 이루어졌다고 하였다.

(6) 16대 특성값 어휘
16대 제헌절 연설문은 2007년 1편이 제공되고 있다. “대통령 선거”가 

특성값이 높은 어휘로 나타났다. 07년에는 경제 발전과 민주주의의 압축적
으로 달성하였으며, 독재자들의 헌법 유린, 4·19혁명, 부마민주항쟁, 광주
민주화운동, 87년 6월 항쟁으로 국민을 위한 헌법을 되찾았으며, 4년 연임
제와 대통령 임기 일치 개헌은 “대통령 선거” 제도 개선의 원칙을 제시하였
다. 

(7) 17대 특성값 어휘
17대 제헌절 연설문은 2008년 1편이 제공되고 있으며, “대한민국”이 

특성값이 높게 나타났다. 08년에는 제헌의회 헌법은 “대한민국”이 자주독
립국임을 알리는 쾌거였으며, 지난 60년 “대한민국”의 성취는 헌법의 토대 
위에서 가능했으며, 일본의 독도 영유권 문제 제기에 대해 “대한민국” 대통
령으로서 영토주권을 지키기 위한 노력을 다할 것이라고 하였다.7) 

2) 개천절 특성값 어휘 분석

개천절의 대통령 연설문은 모두 23편이 제공되고 있다. 개천절 연설문

은 5~9대 박정희 대통령이 16편, 11~12대 전두환 대통령이 7편의 연설문
이 제공되고 있다.8) 

7) 이명박 대통령은 제헌절 연설문 이후 대한민국 대통령 최초로 독도를 방문하였

다.; 유강문, “MB, 현직 대통령 사상 첫 ‘독도방문’”, <한겨레>, 2012.08.10.

8) 두 대통령 외에는 다른 대통령의 연설문은 제공되지 않고 있다. 5대 국경일 중 하

나인 개천절에 두 대통령의 연설문만 제공되고 있는 것이 특이하다. 발표되었는


background image

108 

지식과 교양 Vol. 13

[표 3] 대통령별 개천절 자료

대통령

재임 기간

키워드

특성값

연도

박정희

5대 63.12.17~67.06.30.

홍익인간

0.00985

1964

민족

0.00985

1965

민족문화

0.00666

1966

6대 67.07.01~71.06.30.

역사 건설

0.01658

1967

영광

0.01928

1968

민족 중흥

0.02136

1969

민족 중흥

0.01805

1970

7대 71.07.01~72.12.26.

正統性

0.00767

1971

정통성

0.02340

1972

8대 72.12.27~78.12.26.

통일 민족

0.03200

1973

平和

0.00501

1974

민족 정신

0.01650

1975

북한 침략

0.01194

1976

민족 중흥

0.01776

1977

조국 통일

0.03099

1978

9대 78.12.27~79.10.26.

국가 건설

0.00849

1979

전두환

11대 80.09.01~81.02.24.

12대 81.03.03~88.02.24.

북한공산집단

0.01033

1980

국가 민족

0.01116

1981

민족사

0.01369

1982

민족사

0.02012

1983

민족사

0.02094

1984

6천만 겨레 

0.00989

1985

민족사

0.01641

1986

합계

23편

(1) 5~9대 특성값 어휘
박정희 대통령의 개천절 연설문은 16편이 제공되고 있다. 5~7대까지는 

데 기록되지 않은 것인지, 발표되지 않은 것인지 조금 더 심도 있는 연구가 필요

하다.


background image

109

대통령의 국경일 연설문에 나타난 어휘 사용 양상┃조용림

“홍익인간, 민족, 문화, 역사, 정통성” 등이었으나, 이후에는 “통일, 평화, 
북한, 국가 건설” 등으로 변화하고 있다. 

5대 개천절 연설문은 3편이 제공되고 있다. “홍익인간, 민족, 민족문화

가 특성값이 높은 어휘로 나타났다. 64년에는 “홍익인간”의 뜻으로 민족문
화를 창조 계승해 왔으며, 공산주의 침략으로 양분된 비극에 “홍익인간”의 
참뜻을 펴서 공산 세력을 몰아낼 것이라고 하였다. 65년에는 생활고와 일
자리 부족, 부패와 부정 근절, 방종과 무질서는 어두운 과거이며, 사회간접
자본 개발의 성과는 밝은 면이라고 하면서 조국 근대화 작업으로 “민족”의 
발전과 번영의 계기가 되었다고 하였다. 66년에는 단결과 노력으로 “민족
문화”의 개화를 보았으며, ‘잘사는 민족, 부강한 나라’를 건설하는 데 국력
을 모아 사회질서를 바로잡는 “민족문화” 열매를 맺고 있으며, 월남파병 등 
자유와 평화의 수호, 민주시민의 역량을 발휘해야 한다고 하였다. 

6대 개천절 연설문은 4편이 발표되었다. “역사 건설, 영광, 민족 중

흥”(2회)이 특성값이 높은 어휘로 나타났다. 67년에는 빈곤이 아닌 번영, 
자립, 통일, 전진의 역사로 새 “역사 건설”의 기운이 있으며, 공산주의자들
의 책동을 해결해야 하며, 자립과 통일의 기반 구축을 위한 2차 5개년계획 
추진해 나갈 것이라고 하였다. 68년에는 민족의 앞길에 “영광”과 번영을 
바라며, 경제 발전이 가속화하고 있으며, 통일 대업 과제는 경제 건설에 매
진하여 조국 통일, 자립과 번영의 유산을 넘겨주는 “영광”의 세대로 기록
되어야 한다고 하였다. 69년에는 60년대는 경제성장의 시대였으며, 잘살
아 보겠다는 정신력으로 “민족 중흥”과 국토 통일의 대업 달성이 다가왔으
며, 번영과 통일의 70년대를 달성할 것이라고 연설하였다. 70년에는 지난 
세기의 혼돈과 빈곤에서 벗어나 “민족 중흥”의 역사를 개척해 나가고 있으
며, 자립과 번영의 조국 근대화를 이루려는 국민적 자각, 건설의 시기였으
며, 70년대는 조국 근대화 완수, 통일 준비, 자립 경제, 자주국방 건설에 힘


background image

110 

지식과 교양 Vol. 13

을 모아야 한다고 연설하였다. 

7대 개천절 연설문에서는 “正統性(정통성)”(2회)이 특성값이 높은 어휘

로 나타났다.9) 71년에는 남북대화 시도, 민족적 “정통성”이 우리에게 있으
며, 긍지와 “정통성”을 공고히 하기 위해 노력해야 한다고 하였다. 

8대~9대 개천절 연설문에서는 “통일 민족, 平和, 민족 정신, 북한 침략, 

민족 중흥, 조국 통일, 국가 건설”이 특성값이 높은 어휘로 나타났다. 73년
에는 한반도 평화 기반 구축, 통일, 올바른 국가관, 애국심의 함양이 통일
을 위한 헌신이며, 남북 간 상호 신뢰, 민족 동질성 회복, 긴장 완화, 평화 
공존에 기여하여 “통일 민족” 국가 건설을 완성하자고 연설하였다. 74년에
는 선조들의 자주, 자립, 자위의 민족정신을 되새기면서 조국의 “平和”와 
번영을 다짐하고 있다. 몽고 침입, 임진왜란, 의병 항쟁은 민족사적 정통성
을 수호, 투쟁으로 일관하였으며, 그 투쟁은 겨레의 안전과 한반도의 평화, 
10월 유신의 기치 총화전진 하자고 연설하였다. 75년에는 우리 겨레는 외
적의 침략과 국난에도 민족의 동질성을 유지하였으며, “민족 정신”과 자주
성을 견지하여 독창적 문화를 꽃피웠다고 하였다. 그러나 북한 공산집단의 
분단 고착화, 민족 동질성 파괴를 하고 있지만, “민족 정신”과 운명 공동체
로서 조국의 평화 통일을 이룩할 수 있다고 연설하였다. 76년에는 반만년 
민족사는 외적의 침략, 항쟁, 개항 강요, 일제 침략은 항일독립투쟁으로 광
복을 맞이하였으며, 북한 공산집단은 공산독재, 6.25 남침, 적화 통일 야욕
으로 한반도 긴장을 일으켰지만, 국력 배양, 자립 경제를 다져 선진국 대열
에 들어설 수 있게 되었다고 연설하였다. 77년에는 외적 침략, 자주정신과 
항쟁, 전통을 지키면서 찬란한 문화의 꽃을 피웠으며, 광복을 맞아 북한 공
산집단은 민족사의 정통성 부정, 개인 우상숭배로 역사 왜곡과 민족의 동

9) 71년과 72년 연설문은 개천절은 4,304주년, 4,305주년 부분을 제외한 모든 내용

이 같다. 따라서 이 연구에서는 71년만을 대상으로 한다. 


background image

111

대통령의 국경일 연설문에 나타난 어휘 사용 양상┃조용림

질성을 파괴하고 있고, 통일을 위해 자주국방과 자립 경제의 확립으로 “민
족 중흥”에 총력을 기울여야 한다고 연설하였다. 78년에는 국난 극복은 자
주정신, 강인한 생명력 때문이며, 국토 분단의 시련은 부강한 국가 건설과 
평화적 통일을 촉진하는 원동력이라고 하였고, 북한의 교류, 협력 회피는 
우리의 국력을 두려워하는 것이며, 국력 축적으로 “조국 통일”의 역사를 창
조하자고 연설하였다. 

9대 79년에는 반만년 역사에 외침의 고난과 시련을 극복하고, 호국의 

자주정신은 값진 유산이며, 조국 근대화와 민족중흥의 원동력이라고 하였
다. 현대 “국가 건설”에 착수하여 빈곤과 혼란, 국가 안보 등 과제가 많으
며, 국력의 바탕 위에 80년대에 고도 산업, 복지 “국가 건설”에 전진하자고 
연설하였다. 

(2) 11~12대 특성값 어휘
11~12대 개천절 연설문은 모두 7편이 제공되고 있으며, “북한공산집

단, 국가 민족, 민족사(4회), 6천만 겨레”가 특성값이 높은 어휘로 나타났
다. 임기 초반에는 “북한”과 관련한 어휘가 등장했으나, 이후에는 “민족, 
겨레” 등의 어휘가 특성값이 높았다.

80년에는 침략과 고난의 역사였지만 고유문화를 꽃피웠으며, “북한공

산집단”에 의한 남북분단, 6·25전쟁을 겪었으나, 민주주의 토착화, 정의로
운 복지사회 구현, 교육혁신과 문화창달을 이루고, 신념과 인내로 남북대
화를 추진할 것이라고 하였다. 81년에는 난관을 극복하고 민족사를 수호 
발전시켜 왔으나, 산업화의 물결 속에 “국가 민족”의 운명보다 개인 이익
을 추구하고 있으며, 애국애족의 정신과 실천으로 나아갈 것이라고 하였
다. 82년에는 반만년 “민족사”의 정통성 수호 발전을 다짐하면서, 나라의 
발전과 쇠퇴는 외부의 도전과 변화에 능동적으로 대응해야 할 것이라고 하


background image

112 

지식과 교양 Vol. 13

였다. 83년에는 “민족사”에서 선조들의 유산과 정통성으로 도약과 민족웅
비를 맞고 있으며, 북한의 책동을 막기 위해 단합과 “민족사”의 주체라는 
주인 정신으로 역사 개척에 참여하자고 하였다. 84년에는 홍익인간의 이념
으로 인류 보편의 번영과 행복을 추구하고, 북한 공산집단은 “민족사”의 왜
곡, 부정, 반민족적 책동 등을 거두고, 남북은 일체감을 되새겨 하나가 되도
록 노력하자고 하였다. 85년에 개국은 “6천만 겨레”의 근원이며, 인간의 최
고 가치, 인류공영의 이상, 민주주의, 국민의 복리와 인류의 공동번영을 위
해 노력하는 것은 개국 기념을 실천하는 길이라고 하였다. 86년에는 “민족
사”에서 아시아경기대회가 힘과 슬기, 화합과 전진, 도약의 한마당이 되었
으며, 평화적 정부이양, 서울올림픽의 성공적 개최 등 국가 과제를 완수하
고, 통일과 번영의 자신감과 가능성이 있다고 하였다. 

개천절 연설문은 모두 23편이다. 박정희 대통령의 개천절 연설문은 16

편이며, 5~7대까지는 “홍익인간, 민족, 문화, 역사, 정통성”이었으나, 이후
에는 “통일, 평화, 북한, 국가 건설”로 변화하고 있다. 전두환 대통령의 개
천절 연설문은 모두 7편이 제공되고 있으며, “북한공산집단, 국가 민족, 민
족사(4회), 6천만 겨레”가 특성값이 높은 어휘로 나타났다. 임기 초반에는 
“북한”과 관련한 어휘가 등장했으나, 이후에는 “민족, 겨레” 등의 어휘가 
특성값이 높았다. 

3) 한글날 특성값 어휘 분석

한글날 대통령 연설문은 1~3대 이승만 대통령이 6편, 5~9대 박정희 대

통령이 12편, 13대 노태우 대통령이 1편, 16대 노무현 대통령이 1편, 17대 
이명박 대통령이 1편, 19대 문재인 대통령이 4편으로 모두 25편이 제공되
고 있다. 


background image

113

대통령의 국경일 연설문에 나타난 어휘 사용 양상┃조용림

[표 4] 대통령별 한글날 자료

대통령

재임 기간

키워드

특성값

연도

이승만

1대 48.07.24~52.08.14.

학자들

0.02316

1948

문화 발전

0.01327

1949

2대 52.08.15~56.08.14.

국문 신문

0.03603

1954

우리나라 국문

0.03036

1955

3대 56.08.15~60.04.27.

신문 잡지

0.01825

1956

중국

0.03167

1957

박정희

5대 63.12.17~67.06.30.

세종대왕

0.01296

1964

세종대왕

0.01913

1965

문화인

0.01524

1966

6대 67.07.01~71.06.30.

세종대왕

0.01490

1967

문화 민족

0.04918

1968

민족 문화

0.02468

1969

한글 문화

0.03234

1970

7대 71.07.01~72.12.26.

한글 문화

0.03734

1971

민족 문화

0.02848

1972

8대 72.12.27~78.12.26.

민족 문화

0.02074

1973

민족 문화

0.02738

1974

민족 문화

0.02871

1975

노태우

13대 88.02.25~93.02.24.

가치관

0.01439

1989

노무현

16대 03.02.25~08.02.24.

우리말

0.01941

2006

이명박

17대 08.02.25~13.02.24.

세종대왕

0.03723

2009

문재인

19대 17.05.10~22.05.09.

동포들

0.02280

2017

일제강점기 한글

0.02126

2019

우리말

0.02661

2020

한국어

0.02439

2021

합계

25편

(1) 1~3대 특성값 어휘
이승만 대통령의 1~3대 한글날 연설문은 6편이 제공되고 있다. “학자

들, 문화 발전, 국문 신문, 우리나라 국문, 신문 잡지, 중국”이 특성값이 높
은 어휘로 나타났다. 임기 중에 발표된 한글날 연설문에서는 “학자, 문화, 


background image

114 

지식과 교양 Vol. 13

신문, 국문, 중국” 등으로 중국과 다른 우리 문자를 신문에서부터 한글 전
용을 쓸 수 있도록 해야 한다고 제시하고 있다. 

1대 한글날 연설문의 특성값 어휘에는 “학자들, 문화 발전”으로 나타났

다. 48년에는 한글은 자모음을 취음하여 과학적이며, 외국학자들도 세종
대왕의 공적을 찬양하고 있다고 하였다. 다만 한문을 숭상하는 “학자들”이 
언문(諺文)이라 하여 한글이 발전 못한 것이라고 하였다. 한글이라는 좋은 
글을 두고 쓰지 않으면 어리석은 일이며, 쉽게 사용할 수 있도록 부탁하였
다. 49년에는 본래 국문은 창조적 특성을 표시한 것인데, 한문학자들이 퇴
보시켜 “문화 발전”에 지장을 주었으며, ‘잇스니, 놋는다, 갑이만타’처럼 쓰
는 것은 비과학적이며, ‘날틀’(비행기), ‘말광’(자전거), ‘셈본’(산술책), ‘배움
집’(학교), ‘세모틀’(삼각형)이라고 하는 것을 폐지하고, 편리하게 개량하는 
것이 민족과 문화에 대한 사명이라고 연설하였다. 

2대 한글날 연설문에서는 “국문 신문, 우리나라 국문”이 특성값이 높게 

나타났다. 54년에는 신문 정비, 한글 전용의 글을 발표하였으며, 국문학자
들이 새 법을 문교부와 민간 지도자들이 협의하고 개량하기를 바랐다. 한
국 신문들이 “국문 신문”을 내어 우리글을 발전시켜야 한다고 하였다. 55
년에는 신문과 교과서의 국문 쓰기를 주장하면서 “우리나라 국문”을 무시
하는 폐단이 있음을 지적하였다. 학자들이 국문 쓰는 법을 고치면서 고상
한 생각을 버리지 못하여 간단한 것을 복잡하게 만들었으며, 민중들은 복
잡하게 쓰는 것이 습관이 되어 고치기 어려우며, 앞으로 민중들의 자유에 
부친다고 하였다.

3대 한글날 연설문에서는 “신문 잡지, 중국”이 특성값이 높게 나타났

다. 56년에는 해외에서 잡지 주보 등을 국문으로 글을 썼는데, 애국적 민족
정신을 고취하려면 국문 쓰기가 필요하다고 주장하였다. “신문 잡지”로 한
글이 사용될 것으로 생각했는데, 국문학자들도 한글을 더 어렵게 만들고, 


background image

115

대통령의 국경일 연설문에 나타난 어휘 사용 양상┃조용림

불필요한 받침을 첨부해 불편하게 한 것이 잘못이며, 습관이 되는 것을 보
고 방임하였다고 하였다. 57년에는 “중국” 공산정부에서 알파벳을 쓰기로 
했는데, 중국 한문이 어려워 5억 인구를 개명시키려면 한문으로 될 수 없어 
알파벳 26자모의 음을 취해 배워 쓸 수 있는 것을 칭찬하였으며, 우리 국문
은 24자모만으로 모두 쓸 수 있으므로 세종대왕을 찬양한다고 하였다. 

1~3대 한글날 연설문은 학자들이 국문을 사용하지 않아 문화가 퇴보하

였으며, 문화 발전을 위해 국문 신문을 펴내야 하며, 국어학자들이 쉬운 것
을 어렵게 만들어 불편하게 하였지만, 민중들의 습관이 되어 자유에 맡긴
다는 연설문을 하고 있음을 볼 수 있다. 

(2) 5~9대 특성값 어휘
박정희 대통령의 한글날 연설문은 5대 3편, 6대 4편, 7대 2편, 8대 3편

으로 모두 12편이 제공되고 있다. 임기 초반에는 “세종대왕, 문화인”이었
으며, 중후반부터는 “문화, 민족, 한글” 어휘가 특성값이 높게 나타났다. 

5대 한글날 연설문은 3편이 제공되고 있다. “세종대왕(2회), 문화인”이 

특성값이 높은 어휘로 나타났다. 64년에는 한글을 창제한 “세종대왕”을 추
앙하면서, 세종은 한문과 우리말의 어음이 달라서 고유의 문자를 만든 임
금이었고, 한글은 자주정신, 과학성, 실용적 우수성이 있다고 하였다. 65년
에는 나라 글자를 기념하는 민족은 없으며, 우리의 자랑거리라고 하였다. 
한일관계 등 국제정세와 공산 사상의 대결에서 주체 의식과 전통 정신, 문
화와 생활을 건설하는 일이 절실하다고 하였다. 한글을 통한 문화건설, 민
족문화, 사상건설, 교육 건설, 생활 건설의 중요성을 연설하였다. 66년에는 
한글은 가장 발달한 ‘소리글자’로 배우기 쉽고 쓰기 쉬우며, 모양이 아름답
고 과학적 글자로, 학자들 사이에 정평이 있으며, 세종대왕의 주체 의식, 과
학적 창의력, 노력의 결실이라고 하였다. 세종대왕의 한글 창제, 측우기, 인


background image

116 

지식과 교양 Vol. 13

쇄술 등 발전을 이룩했던 밑바닥에는 “문화인”과 지식인들의 주체 의식과 
참여의식, 창조적 노력이 있었다고 연설하였다. 

제6대 한글날 연설문에서 “세종대왕, 문화 민족, 민족 문화, 한글 문화”

가 특성값 어휘가 높은 것으로 나타났다. 67년에는 “세종대왕”의 독창적 
예지와 정성으로 한글을 만들었으며, 한글은 과학적, 만백성의 의사 발표
의 자유와 창달, 민생의 편리와 권익을 도모한 것이라고 하였다. 한글은 민
족문화의 정화, 국민 생활의 주체성 확립, 민주적 발전의 터전, 민족문화의 
창달을 촉진하는 것이라고 연설하였다. 68년에는 세종대왕은 우리 글을 만
든 뜻으로 ‘국민 주체화’ 노력이 있었다고 하였다. 그 이념은 오늘날 교육의 
근대화 과정에 계승되어야 할 이념이며, 한글을 가진 “문화 민족”임을 자각
하고 긍지를 가져야 하고, 조국 근대화를 위해 한글 전용을 하겠다고 하였
다. 69년에는 민족중흥 창달에서 한글이 “민족 문화” 창달에 크게 기여하
고 있으며, 한글의 자주, 민주 이념적 바탕을 조국 근대화의 밑거름으로 삼
겠다고 하였다. 70년에는 세종대왕을 추앙하고, 애국정신과 창의성을 살려 
“한글 문화”의 큰 발전을 다짐하고, 세종대왕의 한글 창제 뜻은 ‘자주’ 정신
에 있고, 온 국민이 쓰는 ‘민주’ 이념이라고 연설하였다. 

7대 한글날 연설문은 2편이 제공되고 있다. “한글 문화, 민족 문화”가 

특성값이 높은 어휘로 나타났다. 71년에는 한글은 민족문화의 분수령을 이
루는 위업이고 자랑이라고 하였다. 그러나 세종대왕의 거룩한 뜻을 개척정
신과 자주정신을 발전시키지 못해 “한글 문화”도 정체와 퇴화의 길을 걸었
다고 하였다. 근대화와 민족중흥의 시점에서 한글을 소중히 여기고, 한글 
전용에 힘써 국민의 지식과 문화 수준을 높이고, 자주, 민주, 창조, 개척의 
정신으로 재현시켜 ‘문화 한국’ 건설에 박차를 가해야 한다고 연설하였다. 
72년에는 한글 창제의 정신적 바탕은 이민족의 문자와 문화로부터 탈피하
여 우리 문자로 표현함으로써 “민족 문화”의 전통을 세우고, 주체 의식, 자


background image

117

대통령의 국경일 연설문에 나타난 어휘 사용 양상┃조용림

주정신, 국민이 쉽고 편리하게 사용함으로써 “민족 문화”에 참여하는 민주 
이념이라고 하였다. 

8대 한글날 연설문은 3편이 제공되고 있다. “민족 문화”(3회)가 특성값

이 높은 어휘로 나타났다. 73년에는 “민족 문화” 정수인 한글 창제와 세종
대왕의 업적을 추앙하면서 한글은 과학적으로 우수한 문자이며, 문화적 사
대주의에서 벗어나 민족의 자주성과 독창력을 발휘했다는 가치와 의의가 
있다고 하였다. 74년에는 한글은 ‘자주 정신’과 “민족 문화” 창달에 참여하
자는 ‘민주 이념’에 있었으며, ‘자주’와 ‘민주’는 민주 문화 발전의 밑거름이
며, 민족중흥을 위한 유신의 이념이라고 하였다. 75년에는 한글은 독자적 
글자를 갖고자 하는 ‘자주정신’의 결정이며, ‘훈민정음’은 바른 글을 널리 
익히고 쓰자는 ‘민주 이념’에 바탕을 두고 있으나, 북한은 이질 사상 강요, 
겨레의 말글 훼손, 민족의 역사와 문화를 짓밟는 행동을 이기려면 국력 배
양이 필요함을 강조하였다. 

5~8대 한글날 연설문에서는 ‘세종대왕, 문화, 민족, 한글’ 등의 어휘가 

반복적으로 등장하였으며, 재임 초반에는 “세종대왕, 문화” 등의 어휘가 
특성값이 높게 나타났으며, 후반에는 “한글 문화, 민족 문화” 등의 어휘가 
특성값이 높게 나타났다. 또한 전반적으로 한글날 연설문임에도 경제, 북
한 관련 어휘가 특성값이 높게 나타난 것으로 드러났다. 

(3) 13대 특성값 어휘
13대 한글날 연설문은 1편이 제공되고 있다.10) “가치관”이 특성값이 높

은 어휘로 나타났다. 89년에는 개천절, 한글날, 문화의 날(10월 20일)을 통
합하여 “문화의 달”이라고 부르고 있다. 문화에 관한 생각을 밝히면서, 남
북통일 원동력은 높은 문화 전통과 강한 힘에서 나오며, 서울올림픽 등 독

10) 10월 9일 한글날에 발표된 것이 아닌 10월 2일에 ‘문화의 달’이라는 이름으로 발

표되었다.


background image

118 

지식과 교양 Vol. 13

창적인 문화 의식, 물질적 풍요보다 학문과 사상, “가치관”과 윤리의식을 
중요시하여 번영된 나라를 만들 수 있었으며, 외래문화를 추종하는 병폐는 
전통적, 정신적, 올바른 “가치관”을 세워 ‘문화 발전 10개년 계획’을 마련하
겠다고 하였다. 

(4) 16대 특성값 어휘
16대 한글날 연설문은 1편이 제공되고 있다. “우리말”이 특성값이 높은 

어휘로 나타났다. 06년에는 어린이 합창단의 “우리말”이 정겹고 아름다우
며, 한글날이 다시 국경일이 된 것에 축하를 보냈다. 한글은 민족 최고의 문
화유산이자 인류의 위대한 지적 성취이며, 훈민정음해례본의 유네스코 세
계기록유산 지정, 언어학계에서의 한글 우수성을 보여주고 있다고 하였다. 
한글에는 세종대왕의 정치철학이 있으며, 지배층의 특권을 막아 소통하려
고 하였으며, 백성을 사랑하고, 백성과 함께하겠다는 일념으로 한글을 반
포했으며, 이는 민본주의적 개혁정치의 결정판이라고 하였다. “우리말”과 
글은 문화 발전의 뿌리이며, 좋은 말과 글이 좋은 생각을 만들고 좋은 생각
이 창조적인 문화를 만들기 때문에 아끼고 발전시켜야 하며, 정부도 한글
의 정보화, 세계화를 추진하는 등 국어의 보전과 발전에 관심과 지원을 아
끼지 않을 것이라고 하였다. 

(5) 17대 특성값 어휘
17대 한글날 연설문은 1편이 제공되고 있다. 2009년에 세종대왕 동상 

제막식의 축사를 하면서 발표되었으며, “세종대왕”이 특성값이 높은 어휘
로 나타났다. 09년에는 세종로에 “세종대왕”께서 자리하게 되었다고 하면
서 “세종대왕”은 위대한 지도자, 민족의 자랑이며, 한글은 겨레의 보물, 세
계의 문화라고 하였다. 한글은 문맹률 1% 이하라는 선물을 주었으며, 정부
는 세계에 ‘세종학당’을 세우기로 하였고, “세종대왕”의 마음, 애민 정신, 


background image

119

대통령의 국경일 연설문에 나타난 어휘 사용 양상┃조용림

실용 정신으로 한글을 창조했다고 하였다.

(6) 19대 특성값 어휘
19대 한글날 연설문은 4편이 제공되고 있다. “동포들, 일제강점기 한

글, 우리말, 한국어”가 특성값이 높은 어휘로 나타났다. 

17년에는 한글날은 세종대왕의 애민 정신이 담긴 날, 기념한 지 91년, 

일제강점기에 ‘조선어연구회’의 한글과 얼을 지켜낸 날이라고 하였다. 9월
에 러시아 고려인, 사할린 “동포들”은 우리말과 우리글을 지키기 위해 노
력하고 있으며, 정부는 해외 “동포들”이 한글을 통해 민족 정체성을 지키려
는 노력을 도울 것이라고 하였다. 한글의 위대함은 ‘사람을 위하고 생각하
는 마음’이며, 백성들이 문자를 사용하여 자기 뜻을 표현하고 소통할 수 있
게 한 세종대왕의 뜻은 오늘날의 민주주의 정신과 통한다고 하였다. 한글
의 과학성은 컴퓨터와 휴대폰 문자 입력 체계의 우수성으로 증명되고 있으
며, SNS 시대에 한글의 위대함이 더욱 빛난다고 하였다. 19년에는 3·1 독
립운동 100주년, 대한민국임시정부 100주년에 맞은 한글날이라고 하였다. 
세종대왕의 애민 정신과 “일제강점기 한글”을 지켜낸 독립운동가들의 민
족정신을 되새기며, 한글을 지키는 것이 곧 독립운동이었다고 하였다. 주
시경 선생과 조선어연구회 선각자들은 고문과 옥살이에도 한글을 연구했
고, ‘말은 사람의 특징이요, 겨레의 보람이요, 문화의 표상이다.’라고 ‘우리
말 큰사전’(1947년)의 머리말을 인용하였다. 한글만이 우리의 생각을 담아
낼 수 있으며, 78%(1945년)였던 문맹률은 4.1%(1958년)로 줄었고, 글을 깨
친 힘으로 산업화와 민주화를 동시에 이끌 수 있었으며, 목숨으로 지킨 한
글이 새 나라의 마중물이 되었다고 하였다. 20년에는11) 세종대왕은 나라의 

11) 20년 한글날 연설문은 2편이 제공되고 있다. 10월 6일에 1편, 10월 9일에 1편이 

발표되었지만, 이 연구의 대상은 한글날을 기준으로 하고 있으므로 10월 9일 발

표된 연설문을 분석하기로 한다. 


background image

120 

지식과 교양 Vol. 13

근본인 백성을 사랑했고, 백성 스스로 깨치는 힘을 믿었으며, 남녀노소 자
기 말과 뜻을 글로 펴는 데 어려움을 궁리하여 한글을 만들었다고 하였다. 
우리를 우리답게 하고, 더 큰 힘을 발휘하게 하는 바탕에 한글이 있었으며, 
한글을 지키는 것이 독립운동이었으며, 기적 같은 경제성장과 민주화의 길
을 열었고, 문화를 일구어 세계로 나갔다고 하였다. 언어는 생각의 집을 짓
고 뜰을 가꾸게 하는데, “우리말”과 글을 사랑할 수 있도록 행정에서 쉬운 
“우리말” 쓰기, 법률 속 일본식 용어, 어려운 한자를 쉬운 용어로 바꾸는 작
업도 하고 있다고 하였다. 한글에는 세종대왕의 애민 정신, 만물의 공존과 
조화, 상생의 세계관이 깃들어 있어, 한글날이 더불어 사는 세상을 향한 ‘한
글의 꿈’을 세계인과 함께 나누는 날이 되기를 바라는 연설을 하였다. 21년
에는 한글은 소통의 언어, 세계 곳곳에서 배우고 이해하는 언어가 되었으
며, 주시경 선생은 ‘말이 오르면 나라도 오르고, 말이 내리면 나라도 내린
다’라는 말을 인용하면서 한류의 인기와 함께 한글이 사랑받고, 소프트파
워도 강해지고 있다고 하였다. “한국어”의 세계적 확산을 제시하면서 82개
국 234개 세종학당에서 외국인과 재외 동포들이 한글과 우리 문화를 익히
고 있다고 하였다.12)

한글에는 진심을 전하고 마음을 울리는 힘이 있으며, 2005년부터 남북

이 함께 《겨레말큰사전》을 만들고 있으며, 남북이 같은 말을 사용한다는 
사실이 남북의 마음도 묶일 것을 믿는다고 하였다. 

4. 결론

이 연구는 대한민국 대통령의 연설문 중 제헌절, 개천절, 한글날 연설문

12) 2022년 옥스퍼드 사전에 한국어 기원 단어가 26개가 등재되었다. 초판이 나온 

이후 100여 년간 24개에 불과했던 한국어 단어가 한꺼번에 26개가 올라간 것은 

그만큼 한국어의 영향력이 커졌다는 것을 증명하는 것이라고 보인다,; 신지영, 

“옥스퍼스 사전에 오른 한국어를 보며”

, <서울신문>, 2022.1.17.


background image

121

대통령의 국경일 연설문에 나타난 어휘 사용 양상┃조용림

을 빅카인즈를 활용하여 특성값 어휘를 제시하여 대통령 연설문 연구의 기
초자료로 활용하고자 하였다. 연구 대상 자료는 대통령기록관에서 제공하
는 대통령 연설문 76편을 대상으로 하며, 간략히 하면 다음과 같다. 

[표 5] 국경일별 연설문 자료

대통령

제헌절

개천절

한글날

1~3대

이승만

2

0

6

4대

윤보선

0

0

0

5~9대

박정희

16

16

12

10대

최규하

1

0

0

11~12대

전두환

6

7

0

13대

노태우

1

0

1

14대

김영삼

0

0

0

15대

김대중

0

0

0

16대

노무현

1

0

1

17대

이명박

1

0

1

18대

박근혜

0

0

0

19대

문재인

0

0

4

28

23

25

제헌절 연설문은 모두 28편이며, 1~3대 이승만 대통령의 연설문에서

는 “국회, 민국”으로 나타나 헌법의 중요성과 대한민국의 정립을 위한 연설
로 기록되고 있다. 5~9대 박정희 대통령의 연설문은 16편이며, 5~7대까지
는 “민주, 헌법”이 특성값 어휘가 높게 나타났으며, 이후로는 “통일, 평화, 
자주” 어휘가 특성값이 높게 나타났다. 10대 최규하 대통령의 연설문은 1
편이며, “나라 헌법”이 특성값이 높게 나타났다. 12대 전두환 대통령의 연
설문은 6편이며, 특성값이 높은 어휘에는 “헌정사, 제5공화국 헌법, 북한
공산집단, 현행 헌법, 헌정사, 민주주의”로 나타났다. 임기 초반에는 “헌정
사, 헌법, 북한” 관련 어휘가 특성값이 높게 나타났으며, 임기 후반에는 “헌
정사, 민주주의” 어휘가 특성값이 높았다. 13대 노태우 대통령의 연설문은 


background image

122 

지식과 교양 Vol. 13

1편이며, 특성값이 높은 어휘에는 “민주헌정”으로 나타났다. 16대 노무현 
대통령의 연설문은 1편이며, “대통령 선거”가 특성값이 높은 어휘로 나타
났다. 17대 이명박 대통령의 연설문은 “대한민국”이 특성값이 높은 어휘로 
나타났다. 

개천절 연설문은 모두 23편으로 박정희 대통령과 전두환 대통령만 발

표되었다. 박정희 대통령의 5~9대 개천절 연설문은 16편이며, 5~7대까지
는 “홍익인간, 민족, 문화, 역사, 정통성”이었으나, 이후에는 “통일, 평화, 
북한, 국가 건설”로 변화하고 있다. 전두환 대통령의 11~12대 개천절 연설
문은 모두 7편이며, “북한공산집단, 국가 민족, 민족사(4회), 6천만 겨레”가 
특성값이 높은 어휘로 나타났다. 임기 초반에는 “북한”과 관련한 어휘가 등
장했으나, 이후에는 “민족, 겨레” 어휘가 특성값이 높았다. 

한글날 대통령 연설문은 1~3대 이승만 대통령이 6편, 5~9대 박정희 대

통령이 12편, 13대 노태우 대통령이 1편, 16대 노무현 대통령이 1편, 17대 
이명박 대통령이 1편, 19대 문재인 대통령이 4편으로 모두 25편이 제공되
고 있다. 이승만 대통령의 1~3대 한글날 연설문에서는 “학자, 문화, 신문, 
국문, 중국”으로 중국과 다른 우리 문자를 신문에서부터 한글 전용을 학자
들이 제대로 쓸 수 있도록 해야 한다는 것을 제시하고 있는 것으로 나타났
다. 박정희 대통령의 5~9대 연설문에서는 임기 초반에는 “세종대왕, 문화
인”이었으며, 중후반부터는 “문화, 민족, 한글”이 특성값이 높은 어휘로 나
타났다. 노태우 대통령의 13대 한글날 연설문에서는 “가치관”이 특성값이 
높은 어휘로 나타났다. 16대 노무현 대통령의 한글날 연설문에서는 “우리
말”이 특성값이 높은 어휘로 나타났다. 17대 이명박 대통령의 한글날 연설
문에서는 세종대왕 동상 제막식의 축사를 겸해 “세종대왕”이 특성값이 높
은 어휘로 나타났다. 19대 문재인 대통령의 한글날 연설문에서는 “동포들, 
일제강점기 한글, 우리말, 한국어”가 특성값이 높은 어휘로 나타났으며, 간


background image

123

대통령의 국경일 연설문에 나타난 어휘 사용 양상┃조용림

략히 하면 다음과 같다. 

[표 6] 국경일별 연설문 키워드

대통령

재임 기간

발표 

연도

제헌절

키워드

개천절

키워드

한글날

키워드

이승만

1대 

48.07.24.~52.08.14. 

1948

학자들

1949

문화 발전

2대 

52.08.15.~56.08.14.

1952

국회의원

1954

민국

국문 신문

1955

우리나라 국문

3대

56.08.15.~60.04.27.

1956

신문 잡지

1957

중국

박정희

5대 

63.12.17.~67.06.30.

1964

민주주의

홍익인간

세종대왕

1965

민주헌법

민족

세종대왕

1966

(나라)헌법

민족문화

문화인

6대 

67.07.01.~71.06.30.

1967

민주주의

역사 건설

세종대왕

1968

국민 생활

영광

문화 민족

1969

민주 헌법

민족 중흥

민족 문화

1970

민주 헌법

민족 중흥

한글 문화

7대 

71.07.01.~72.12.26.

1971

민주 헌법

正統性

한글 문화

1972

조국 통일

정통성

민족 문화

8대 

72.12.27.~78.12.26.

1973

평화 노력

통일 민족

민족 문화

1974

민주주의

平和

민족 문화

1975

민주 발전

민족 정신

민족 문화

1976

민주주의

북한 침략

1977

(나라) 민주

민족 중흥

1978

국민 총화

조국 통일

9대 

78.12.27.~79.10.26. 1979

자주 국민

국가 건설

최규하

10대 

79.12.21.~80.08.16. 1980

나라 헌법


background image

124 

지식과 교양 Vol. 13

전두환

11대 

80.09.01.~81.02.24.

12대 

81.03.03.~88.02.24.

1980

북한공산집단

1981

헌정사 

국가 민족

1982 제5공화국 헌법

민족사

1983 북한공산집단

민족사

1984

현행 헌법

 

1985

헌정사

6천만 겨레 

1986

민주주의

민족사

노태우

13대 

88.02.25.~93.02.24. 1989

민주헌정

가치관

노무현

16대 

03.02.25.~08.02.24.

2006

우리말

2007 대통령 선거

이명박

17대 

08.02.25.~13.02.24.

2008

대한민국

2009

세종대왕

문재인

19대 

17.05.10.~22.05.09.

2017

동포들

2019

일제강점기 한글

2020

우리말

2021

한국어

합계

28편

23편

25편

이 연구에서 드러난 특성값 추출 키워드는 알고리듬에 의해 추출되었

으며, 대통령 연설문의 국경일 키워드를 볼 수 있었다. 그러나 연설문 특성
상 일부 자료만으로는 대통령의 정책 목표를 파악하기는 어렵다. 이 연구
는 기초 연구로써 후속 연구가 필요하며, 대통령의 재임 기간, 연설문의 발
표 시기 등을 시대 상황과 관계된 연설문을 종합하고 분석해야 연설문의 
의도를 명확히 파악할 수 있을 것이다. 따라서 더욱 진전이 있는 연구를 위
해 연설문 상호 비교 등의 연구가 계속되기를 기대한다.


background image

125

대통령의 국경일 연설문에 나타난 어휘 사용 양상┃조용림

❚참고문헌

강태완·김은정, 「역대 대통령의 연설문에 나타난 수사적 특징과 역할규

정」, 『사회과학연구』 30권 2호, 경희대학교 사회과학연구원, 

2004, 53-89쪽.

곽송연, 「1980년대 이후 한국 대통령 연설문에 나타난 민주주의 담론 

변화 연구」, 『OUGHTOPIA』 vol.33 no. 2, 경희대 인류사회재

건연구원, 2018, 35-74쪽.

권향원·최도림, 「대통령의 언어적 상징 전략에 대한 연구」, 『정부학연

구』 19권 3호, 고려대학교 정부학연구소, 2013, 285-320쪽.

김병홍, 「대통령 사과담화문의 언어 전략 분석」, 『우리말연구』 38호, 우

리말학회, 2014, 123-151쪽. 

김병홍, 「대통령 취임사의 언어 특성 분석」, 『우리말연구』 51집, 우리말

학회, 2017, 161-185쪽.

김재희, 「대통령 연설문에 나타난 사회언어학적 의미 연구」, 『텍스트언

어학』 44권, 한국텍스트언어학회, 2018, 1-33쪽.

김현국, 「연설문의 문체 연구 – 대통령 취임사를 중심으로」, 『청람어문

교육』 23권, 청람어문교육학회, 2001, 243-297쪽.

박영환, 「대통령의 레토릭과 한국 대통령의 지지도」, 『한국정치연구』 

22권 3호, 서울대학교 한국정치연구소, 2013, 63-94쪽.

박준형·유호선·김태영·한희정·오효정, 「대통령 연설기록 내용분석을 통

한 역대 대통령의 중심가치 연구」, 『한국기록관리학회지』 17권

2호, 한국기록관리학회, 2017, 57-78쪽. 

이귀혜, 「한국 대통령들의 설득 수사학」, 『한국소통학보』 8호, 한국소통

학회, 2007, 276-312쪽.

이서영, 「설득적 스피치의 언어적 메시지 구현 방법에 관한 연구」, 『한

국소통학회 가을철 정기학술대회 발표집』, 한국소통학회, 

2011, 125-144쪽.


background image

126 

지식과 교양 Vol. 13

이정복, 「대통령 연설문의 경어법 분석」, 『배달말』 33권, 배달말학회, 

2003, 213-237쪽.

이창수, 「노무현 전 대통령의 연설문에 나타난 정체성 연구」, 『담화와 

인지』 15권 제2호, 담화인지언어학회, 2008, 143-161쪽.

조원형, 「대통령의 과거사 관련 연설에 대한 텍스트언어학적 분석」, 『수

사학』제29집, 한국수사학회, 2017, 217-245쪽.

조용림, 「텍스트 마이닝을 활용한 글쓰기 자료 분석」, 『문화와 융합』 42

권 5호, 한국문화융합학회, 2020, 279-307쪽.

조용림, 「대한민국 대통령의 취임사 연구」, 『지식과 교양』 9호, 목원대

학교 교양교육혁신연구센터, 2022, 351-379쪽.

조용림, 「텍스트 마이닝을 활용한 대통령의 연설문 연구–취임사와 신년

사를 중심으로」, 『대학교양교육연구』 8권 1호, 주시경교양교육

연구소, 2023, 55-86쪽.

황창호·이혁우·임동완, 「역대 대통령의 연설문의 유형과 특징에 대한 비

교연구」, 『한국공공관리학보』 29권 4호, 한국공공관리학회, 

2015, 27-50쪽.

Aggarwal, C. C. and Zhai, C., “Mining text data”, Springer, 2012. 

Chakraborty, G., Pagolu, M., and Garla, S., “Text Mining ad Analysis 

: Practical Methods, Examples, and Case Studies Using SAS”, 

SAS Institute, 2013.

Chen, Y. T. and Chen, M. C., “Using chi-square statistics to measure 

similarities for text categorization”, Expert systems with 

applications, 38, 2011, pp.3085-3090.

Hu, X. and Liu, H., “Text analytics in social media”, Mining text data, 

2012, pp.385-414.

 

국가법령정보센터, www.law.go.kr.
행정안전부 대통령기록관, www.pa.go.kr.


background image

127

대통령의 국경일 연설문에 나타난 어휘 사용 양상┃조용림

빅카인즈 형태소 개체명 분석, https://www.bigkinds.or.kr/v2/

analysis.

유강문, “MB, 현직 대통령 사상 첫 ‘독도방문’”, <한겨레>, 2012.08.10.
신지영,  “옥스퍼스  사전에  오른  한국어를  보며”,  <서울신문>, 

2022.01.17.


background image

128 

지식과 교양 Vol. 13

❚국문초록

이 연구는 대한민국 대통령의 연설문 중 제헌절, 개천절, 한글날 연설

문 76편을 대상으로 빅카인즈를 활용하여 특성값 어휘를 제시하연 대
통령 연설문의 연구의 기초자료로 활용하고자 하였다. 

  제헌절 연설문은 모두 28편이며, 특성값이 높은 어휘에는 1~3대에

는 “국회, 민국”, 5~7대까지는 “민주, 헌법”, 이후로는 “통일, 평화, 자
주” 등의 어휘가 특성값이 높게 나타났다. 10대에는 “나라 헌법”, 12대
의  임기 초반에는 “헌정사, 헌법, 북한”, 임기 후반에는 “헌정사, 민주주
의” 어휘가 특성값이 높았다. 13대에는 “민주헌정”, 16대에는 “대통령 
선거”, 17대에는 “대한민국”이 특성값이 높은 어휘로 나타났다. 

  개천절 연설문은 모두 23편으로, 5~9대, 11~12대 대통령만 발표되

었다. 5~7대까지는 “홍익인간, 민족, 문화, 역사, 정통성” 등이었으나, 이
후에는 “통일, 평화, 북한, 국가 건설” 등으로 변화하고 있다. 11~12대에
는 “북한공산집단, 국가 민족, 민족사, 6천만 겨레”가 특성값이 높은 어
휘로 나타났다. 임기 초반에는 “북한”과 관련한 어휘가 등장했으나, 이
후에는 “민족, 겨레” 등의 어휘가 특성값이 높았다. 

  한글날 대통령 연설문은 모두 25편이 제공되고 있다. 1~3대에는 

“학자, 문화, 신문, 국문, 중국”, 5~9대의 재임 초반에는 “세종대왕, 문
화인” 등이었으며, 후반부터는 “문화, 민족, 한글”이 특성값이 높은 어휘
로 나타났다. 13대에는 “가치관”, 16대에는 “우리말”, 17대에는 “세종대
왕”, 19대에는 “동포들, 일제강점기 한글, 우리말, 한국어”가 특성값이 
높은 어휘로 나타났다. 

  이 연구에서 특성값 추출 키워드는 알고리듬에 의해 추출되었으며, 

대통령의 국경일별 키워드를 볼 수 있었다. 그러나 대통령 연설문 특성
상 일부 자료만으로는 그 의미를 파악하기는 어렵다. 이 연구는 기초 연
구로서 후속 연구가 이루어져야 그 흐름을 더욱 명확히 파악할 수 있을 
것이다.  

주제어 ● 대통령, 연설문, 국경일, 빅카인즈, 특성값 어휘, 제헌절, 

개천절, 한글날. 


background image

129

대통령의 국경일 연설문에 나타난 어휘 사용 양상┃조용림

❚Abstract

A Study on the Use of Vocabulary 

in the President's National Day Speech

- Using BigKinds Platform

Joe, Yong Lim / Mokwon Universtiy

This study analyzes 76 commemorative speeches by South Korean 

presidents, focusing on Constitution Day, National Foundation Day, and 
Hangul Day. Among 28 Constitution Day speeches, key terms include 
“National Assembly, Republic of Korea,” “democracy, constitution,” and 
later, “unification, peace, autonomy.” Notable shifts occur, with “country's 
constitution” and “constitution establishment, constitution, North Korea” 
gaining prominence, followed by “democratic constitution,” “presidential 
election,” and “Republic of Korea.”

National Foundation Day speeches (23 in total) highlight “Hongik Ingan, 

people, culture, history, authenticity,” transitioning to “unification, peace, 
North Korea, nation-building.” Early mentions of “North Korean Communist 
Group, national people, ethnic history, 60 million people” shift to focus on 
terms like “people, nation” later on.

Hangul Day speeches (25 in total) feature evolving themes, from “scholar, 

culture, newspaper, national language, China” to emphasis on “King 
Sejong, cultural figure,” and eventually “culture, people, Hangul.” The 16th 
president's speeches uniquely emphasize “our language,” “King Sejong,” and 
“compatriots, Japanese colonial era Hangul, our language, Korean language.”

The study extracts characteristic keywords using an algorithm, providing 

insights into presidential discourse on national holidays. However, interpreting 
their meaning solely based on data poses challenges. This research serves as a 
foundation, urging further studies for a clearer understanding of trends.

Keyword ● President, Speech, National Day, Bigkinds, Characteristic Value 

Vocabulary, Constitution Day, National Foundation Day, Hangul 

Day

❙논문투고일:2023.10.22.❙심사완료일:2023.11.08.❙게재확정일:2023.11.28.❙


background image

background image

131

성서에 나타난 이방인과 다문화에 대한 

현대적 이해와 적용에 관한 고찰

1. 서론

최근 세계화가 빠르게 진행되면서 우리나라에 많은 외국인이 체류하면

서 2023년 5월 말 현재 2,364,894명(전체인구 대비 4.60%)을 보인다.1) 이는 
OECD 평균(5.7%)을 넘어 본격적인 다문화사회로의 진입을 보여준다(송정
아, 2021; 조석주, 박지영, 2012; 한승준, 2008; 황향하, 2021). 이러한 분위
기 가운데 정부에서는 법이나 정책을 마련하여 이들을 지원하고 있으나 다
문화에 대한 우리 사회는 아직 부정적이며 이런 모습들이 사회 곳곳에 나
타나고, 특히 유엔 인종차별 철폐위원회(CERD)의 3차례 권고2)가 이를 잘 
반영하고 있다.

* 충청남도교육청안전수련원 전)원장
1) 법무부 “출입국・외국인 정책통계 월보”(2023년 5월호).

박 봉 일*

1. 서론
2. 이방인에 대한 언어적 이해
3. 우리나라 다문화 상황
4. 성서적 관점의 다문화 함의
5. 결론

목  차

https://doi.org/10.54698/kl.2023.13.131


background image

132 

지식과 교양 Vol. 13

특정 외국인이나 이주민집단에 대한 편향적 선호와 차별 현상이 심화

하고, 다문화가 특정 가족 형태를 지칭하면서 주로 아시아계 결혼이민자 
가족을 비하하는 수식어로 일반화되는 현상이나 ‘문화적 폐쇄성’이 다문화
사회로 변화하는 데 걸림돌로 작용하고 있다(김진희, 2019; 김효준, 2011; 
이샘물, 2014). 정부의 이주민에 대한 정책적 한계가 불법체류자를 양산하
고(김항년, 고헌환, 2020), 외국인 범죄에 대한 우려3)가 이주노동자들은 사
회적으로 각 분야에서 성실히 역할을 하고 있음에도 이주민, 곧, 동남아시
아 계통의 유색인종에 대한 비하와 멸시가 차별과 폭력을 불러일으키고 있
다(구본규, 2015; 서덕희, 2008; 오현선, 2008; 최명민 외, 2019; 한건수, 
2008). 그러나 이러한 부정적인 요인에도 불구하고 다문화사회로의 전환이
야말로 우리 사회의 당위적 요청이고 풀어나가야 할 도전과 과제이다.

이스라엘이 과거 이주민으로 애굽을 비롯한 여러 나라에서 힘든 시절

을 보냈던 것처럼 우리 민족도 과거 하와이, 중동, 독일에서 이주민으로서 
어려운 삶을 살았던 시절이 있었다(최명민 외, 2019). 구약성서에서는 이스
라엘 백성들이 몸소 이주민의 삶을 살았기 때문에 이스라엘에 거주하는 이
주민을 배려할 것을 명하고 있는데 고대 이스라엘 백성들의 주요 배경이 
되는 구약성서의 최초 기록언어에 함의 된 이방인의 언어적 개념을 이해하
고 이주민에 대한 그들의 태도와 방식을 현대적 관점에서 재조명하여 우리 

2) CERD(The Committee on the Elimination of Racial Discrimination of the 

United Nations) 제1,833차-1,834차(2007.08.09.-08.10): 한국 사회가 다인종

적, 다민족적 성격임을 인정하고 오랜 기간 발전되어 온 단일민족국가 이데올로

기를 극복할 것을 권고, 제2,187차-제2,188차(2012.08.21.-08.22) 직·간접적 인

종차별에 관해 규정하고 인종차별을 금지하는 포괄적 입법 촉구, 제2,691차-제

2,692차(2018.12. 3.-4.) 인종차별 정서 심해지는 대한민국 국가적 위기 상황 경

고. 국가의 부를 창출하는 이주민이 그 혜택은 누리지 못하는 현실이 대한민국의 

인종, 피부색, 민족, 사회계층 차별을 지적했다.

3) 한지은, “살인·뺑소니에 도심난투극까지.. 외국인 범죄 일상화 우려”, <연합뉴스>, 

2022.07.09.


background image

133

성서에 나타난 이방인과 다문화에 대한 

현대적 이해와 적용에 관한 고찰┃박봉일

사회가 다문화에 대한 진정성 있는 이해를 통하여 다문화 시대를 살아가는 
우리에게 주는 교훈과 통찰을 얻고자 하는 것이 본 연구의 목적이다.

구체적으로 고찰하고자 하는 연구 문제는 다음과 같다.

연구 문제 1. 우리나라 다문화 상황과 성서적 관점의 다문화 이해
연구 문제 2. 성서의 최초 기록언어에 함의된 이방인 개념의 현대적 

이해와 다문화사회에 적용 문제

연구 문제 3. 성서적 관점의 이방인에 대한 태도가 다문화사회에 주는 

교훈과 실천 방안

연구 문제 해결을 위하여 먼저 이론적 논의에서 이방인의 개념에 대하

여 성서의 최초 기록언어인 히브리어와 헬라어, 그리고 영어 성경에 나타
난 이방인의 개념을 먼저 이해하고 이어서 이방인을 대하는 인식과 태도를 
현대적 관점에서 분석하고자 한다. 그리고 분석된 내용을 중심으로 우리나
라 다문화 상황과 비교하여 우리 사회에 적용할 교훈과 실천 방안에 대한 
답을 얻고자 한다.

2. 이방인에 대한 언어적 이해

1) 히브리어/헬라어에 나타난 이방인 개념

구약성서에서 ‘이방인’과 ‘외국인’을 의미하는 단어는 히브리어로 <게

르(גֵּיר)>, <노크리(נָכְרִי), <토샤브(תּוֹשָׁב)>, <자르(זר)>이며, 신약성서에서는 헬
라어로 <크세노스(ξένος)>라고 표기한다.4) 이스라엘 민족은 이들의 활용을 
구별하였으며 대하는 태도도 각각 다름을 볼 수 있다(김영선, 2019, 하경택 
2010).5) 

4) 『스트롱코드 히브리어』 (2018), 『헬라어 사전』 (2021), 참조: B. Lang(1986), 

p.456.

5) 히브리어 <게르>, <노크리>, <토샤브>, <자르>와 헬라어 <크세노스>의 번역에 

있어 연구자들은 여러 가지 의견을 보인다. 다만 여기서는 이들에 대한 적확한 번

역이나 의미를 논하자는 것이 주된 목적이 아니기 때문에 히브리어와 헬라어 음

역을 그대로 사용하고자 한다.


background image

134 

지식과 교양 Vol. 13

<게르>는 정치, 경제, 사회적인 여러 가지 사유로 본인의 고장을 떠나 

다른 고장으로 이주해서 생활하는 자들을 일컫는 말이다. 타국인으로 이스
라엘 백성과 함께 거주하며 법적으로나 사회적으로 보호 받는 대상이었다
면, <노크리>는 이스라엘 밖에서 생활하며 법적 보호를 받지 못했다. <토샤
브>는 <게르>와 비슷한 의미를 지녔으며 <게르>가 법적인 관점에서 지칭
된 것이라면 <토샤브>는 주로 경제적 관점에서 사용되었으며 성서에서 세 
군데(열왕기상 17:1; 역대상 29:15; 신명기 39:12)를 제외하고 모세오경에 
한정해서 기록되어 있다(성서대백과사전 제1권, 1979; 왕대일, 2001; 하경
택, 2010; B. Lang, 1986).

[표 1]은 구약성서의 최초기록 언어인 히브리어와 신약성경을 기록한 

헬라어에 나타난 이방인 개념을 알아보기 위한 것이다.

표에서 보는 바와 같이 <게르>는 구약성서에 92번 사용되었고. 이방인

으로 거주하다 뜻인 ‘구르’는 81번 사용되었다.6) 이외에 ‘메구림’은 이방인
으로의 거주라는 의미를 지니며 11번 사용되었다(D. Kellermann, 1973). 
고대 이스라엘은 이집트에서 <게르>로 생활했고, 바빌론 포로 때에는 <게
르>의 신분으로 살았다. 사회적 약자인 <게르>의 돌봄에 관하여 명시한 법
전의 규범적 가치는 ‘상처와 무능력을 구원하는 정의’로써 구약의 사상을 
잘 반영하고 있다. 구약성서에서 <노크리>는 45번 사용되었다. 신명기 법
전7)에서는 <노크리>의 용례를 다음과 같이 설명하고 있다(우택주, 2020).

6) <게르>가 꼭 외국인을 나타내지 않는 경우도 많아서 F. A. Spina(1983)는 <게르>

를 ‘몸을 붙여 사는 외국인’(resident alien)이나 ‘나그네’(sojourner)보다 ‘이주

민’(immigrant)으로 해석하는 주장을 하며 여러 학자가 제안에 동의하고 있다. 

참조: José E. Ramírez Kidd(1999), pp.119-120; F. A. Spina(1983), pp.323-

324; 정중호(2004), pp.511-525; M. A. Awabdy(2014)도 신명기에서 언급하고 

있는 <게르>는 ‘이주민’ (immigrant)으로 이스라엘에 이주하여 생활하면서 이스

라엘에 동화된 외국인이라고 본다, pp.110-116.

7) 신명기 12~26장으로 요시야 왕이 재임 시 왕실에서 작성한 것으로 상정된다.

J. L. Berquist 저(1996), 우택주 역(2020), 『신명기법전』, pp.201-202.


background image

135

성서에 나타난 이방인과 다문화에 대한 

현대적 이해와 적용에 관한 고찰┃박봉일

[표 1] 히브리어·헬라어에 나타난 이방인·외국인

단어

성경에서 사용된 의미

사용 현황

<게르>

gēr/גֵּיר

① 이방인으로 고대 그리스 도시에 

정착하여 생활하는 정치적 권리가 

없는 피 보호인

② 이스라엘 사람과 함께 살던 

가나안인

③ 멸망당한 북이스라엘에서 온 난민

④ 야훼를 섬기는 종교로 개종한 

개종자(proselyte)

① 게르는 구약성서에 92번 사용

② 이방인으로 ‘거주하다’는 뜻의

< 구르 gûwr>는 81번 사용,

③ 이외에도 방랑(외국에서 체류하

는), 우거하는 땅, 머무는 곳, 

거주지’ 의미의 <마구르 mâgûwr>

는 11번 사용

<노크리>

nokrîy

/נָכְרִי

① 외국인

② 나 자신이 아닌 다른 사람

(잠언 27:2; 전도서 6:2)

③ 벧(bêyth) 노크리는 타인의 집

(잠언 5:10, 20)

④ 어떤 가족(씨족 집단)에 속하지

않은 사람

① 구약성서 상 <노크리>는 45번 사용

② 같은 의미의 <벤 네카르 nêkâr>는 

36번 사용되었고 복수형인

<베네 네카르>는 19번 사용

③ <노크리>와 유사한 말로 ‘타국 

출신이나 타국에서 출생한 경우로 

이스라엘 사람이 아닌 이방 사람’

이란 의미로 <주르 zûwr>를 사용

<토샤브>

tôwshâb

 /תּוֹשָׁב

① 나그네(창세기 23:4; 레위기 25:23, 

35, 47; 민수기 35:15).

② 거류인(출애굽기 12:45)

③ 객(레위기 22:10)

④ 타국인(민수기 35:15)

⑤ 게르와 토샤브는 비슷한 의미를 

가진 한 쌍의 단어로 사용.

① 경제적 관점의 <토샤브>

② 법적인 관점의 <게르>

<자르>

zaʁ/זר

① 낯선 사람(욥기 19:15)

② 하나님을 믿지 않는 사람

(시편 54:5)

③ 다른 사람(잠언 14:10, 27:2)

④ 관련이 없는 사람(열왕기상 3:18)

⑤ 다른 집안 사람(신명기 25:5)

① 반드시 외국인을 의미하지 않음

② <자르>가 <게르>와는 다르게 이해

되었다.

③ <자르>를 돌보아 주라고 요구하는 

법 규정은 존재하지 않음

<크세

노스>

xěnŏs

/ξένος

① 외국인(히브리서 11:13)

② 나그네

(마태복음 25:35, 44; 요한3서 1:5)

③ 이방인(사도행전 17:18)

④ 돌보아 주는 주인(로마서 16:23)

⑤ 외인(에베소서 2:12, 19)

※ 헬라어로 신약성경에서 14회 사용

※ 『스트롱코드 히브리어』 (2018), 『헬라어사전』 (2021),  참조: B. Lang(1986); J. E. 

Ramirez Kidd(1999)

첫째, 이방인(foreigner, 노크리)에게는 비록 독촉하더라도 네 형제에


background image

136 

지식과 교양 Vol. 13

게 빌려준 것은 면제하라(신명기 15:3). 둘째, 타국인(foreigner, 노크리)
에게 빌려주면 이자를 받아도 되거니와 네 형제에게 빌려 줄때는  이자 받
는 것을 금하고 있다(신명기 23:20). 셋째, 스스로 죽은 모든 것에 대해서
는 먹는 것을 금하고 그것을 성 중에 거주하는 손님 (alien, 게르)에게 공급
하여 먹도록 하고 이방인(foreigner, 노크리)에게 판매하는 것은 허락하고 
있다(신명기 14:21). 넷째, 왕을 세울 때는 네 형제 중에서 세우되 타국인
(foreigner, 노크리)을 세우는 것을 금하고 있다(신명기 17:15).

신명기 법전을 통해 이스라엘 백성이 <노크리>를 부정적으로 대우했다

고 생각할 수도 있겠으나(하경택, 2010) ①, ②의 경우를 보면 이스라엘이 
<노크리>와 거래가 있음을 확인할 수 있고, ③에서는 모든 죽은 고기에 대
하여 <게르>나 <노크리>에게는 시행을 엄격히 요구하지 않는다. ④는 고
대 이스라엘뿐만 아니라 고대 어느 사회에서나 적용될 조항이다. 다만 <노
크리>는 한 나라의 왕이 될 정도로 정치적 역량이 높은 사람이었을 것이다. 
이는 <노크리>에게 부정적으로 대우했다기보다는 이스라엘 내부를 단속하
기 위한 것으로도 이해될 수 있다(우택주, 2020).

<노크리>와 같은 의미의 ‘벤 네카르’는 36번 사용, 복수형으로 ‘베네 네

카르’가 19번 사용되었다(B. Lang, 1986). <노크리>와 비슷한 말로 이스라
엘인이 아닌 이방인이란 의미의 <주르>가 있다(L. A. Snijders; R. Martin-
Achard). <주르>는 외국인을 의미한 것은 아니며 낯선 사람(욥기 19:15), 
하나님을 믿지 않는 자(시편 54:5), 다른 사람(잠언 14:10, 27:2), 관련이 없
는 사람(열왕기상 3:18), 다른 집안사람(신명기 25:5) 등으로 이해되었다. 
다만 <주르>를 돌보아 줄 것에 관한 법 규정은 존재하지 않는다(소형근, 
2012; 이병렬, 1999).

2) 영어 성경에 나타난 이방인 표현

영어 성경에서는 다문화 개념의 ‘이방인’과 유사한 의미를 지닌 단어로 


background image

137

성서에 나타난 이방인과 다문화에 대한 

현대적 이해와 적용에 관한 고찰┃박봉일

다양한 종류를 ‘나그네’, ‘낯선 자’, ‘거류민’, ‘타국인’, ‘외국인’, ‘헬라인’, 
‘외인’, ‘잡족’ 등으로 표현하고 있다. 

[표 2] 영어성경에 이방인과 관련된 단어의 사용 현황

버전

단어

이방인 개념의 단어가 사용된 곳

사용(회)

NIV

gentile(s) 이방인(느헤미야 5:8), 헬라인(로마서 2:9)

97

stranger(s) 나그네(창세기 23:4), 낯선 자(욥기 19:15) 

38

alien(s)

타국인(욥기 19:15), 거류민(레위기 17:10)

101

foreigner(s)

외국인(창세기 31:15), 이방인(시편 18:44), 

나그네(마태복음 27:7), 타국인(에스겔 11:9), 

외인(에베소서 2:19), 잡족(스가랴 9:6)

56

sojourner(s)

없음

소계

292

KJV

gentile(s) 이방인(로마서 2:14), 헬라인(로마서 2:9)

121

stranger(s)

타국인(민수기 15:14), 나그네(출애굽기 23:9), 

거류민(레위기 19:33), 이방인(에스겔 44:7), 

외인(욥기 15:19)

205

alien(s)

타국인(이사야 61:5), 이방인(예레미아애가 5:2), 

낯선 사람(시편 69:8)

8

foreigner(s) 외국인(욥기 1:11), 거류인(출애굽기 12:45), 

이방인(신명기 15:3), 나그네(에베소서 2:19), 

4

sojourner(s) 동거인(레위기 25:47), 거류인(창세기 23:4), 

떠돌이(시편 39:12)

9

소계

630

NASB

gentile(s) 이방인(마태복음 18:17), 헬라인(마가복음 7:26)

93

stranger(s) 나그네(출애굽기 23:9), 거류민(레위기 25:47)

79

alien(s)

타국인(민수기 15:14), 이방인(예레미야 7:6), 

외인(잠언 5:10), 낯선 사람(시편 69:8), 

나그네(신명기 10:19), 외국인(사무엘하 1:13), 

거류민(레위기 18:26)

68

foreigner(s) 거류인(출애굽기 12:45), 동거인(레위기 25:45), 

45

sojourner(s) 동거인(레위기 25:47), 거류인(레위기 18:26), 

떠돌이(시편 39:12), 나그네(에스겔 22:29)

17

소계

915


background image

138 

지식과 교양 Vol. 13

[표 2]는 영어성경8) 에 ‘이방인’의 뜻을 담고 있는 ‘gentile(s)’, 

‘stranger(s)’, ‘alien(s)’, ‘foreigner(s)’, ‘sojourner9) (s)’의 의미를 ‘개역개
정’ 한국어 성경을 통해서 살펴본 것이다. 다만 성경에서 같은 의미의 단어
가 기록된 성경 주소는 중복되어 생략했다. 

표에서 보는 바와 같이 ‘gentile(s)’는 세 가지 버전에서 공통으로 ‘이방

인’과 ‘헬라인’으로 사용되고 있다. 사용된 횟수는 NIV 97회, KJV 121회, 
NASB에서는 93회 사용되었다. ‘stranger(s)’는 세 가지 버전에서 ‘나그네’
로 사용되고 있다. 사용된 횟수는 KJV에서 205회이었다. ‘alien(s)’은 세 가
지 버전에서 공통으로 사용된 단어는 ‘타국인’이다. 사용된 횟수는 NIV에
서 101회 사용, ‘foreigner(s)’는 NIV와 KJV에서는 ‘외국인’을 사용하였
고, KJV와 NASB에는 ‘거류민’을 사용하였다. 특히 NIV에서는 ‘잡족’(스
가랴 9:6)으로도 사용되었다. 사용횟수는 KJV에서 4회만 사용되고 있다. 
‘sojourner(s)’는 NIV에서는 찾아볼 수 없었고, KJV와 NASB에서는 ‘동거
인’, ‘거류인’, ‘떠돌이’를 공통으로 사용하고 있었다. 또한 ‘이방인’과 ‘타국
인’을 NIV에서는 153회, 157회 사용하였고. KJV에서는 338회, 213회 사용
하였으며, NASB에서는 161회, 68회 사용하였다. 비록 NASB에서 ‘나그네’
라는 단어가 164회 사용되기는 하였으나 ‘개역개정’에서 가장 많이 사용하
고 있는 단어는 ‘이방인’과 ‘타국인’임을 알 수 있다.

3. 우리나라 다문화 상황

1) 국내 체류 외국인 현황

[표 3]은 연도별 국내 체류 외국인 현황을 연도별로 알아보기 위

한 것으로 국내 외국인의 증가 추세를 살펴보면, 2017년도에는 전년

8) 영어 성경은 「NIV(New International」, 「KJV(King James Version)」, 

「NASB(New America Standard Bible)」 사용, 참조: 박수인(2003), pp.10-20.

9) NIV에서는 ‘sojourner’라는 단어는 찾아볼 수 없음.


background image

139

성서에 나타난 이방인과 다문화에 대한 

현대적 이해와 적용에 관한 고찰┃박봉일

도 보다 0.24%(131,057명)가 증가하였고, 2019년도에는 전년도보다 
0.30%(157,049명)가 증가하여 가장 많은 수의 외국인이 체류하게 된다. 그
러던 것이 2020년 4월 말 현재로 국내에 체류하는 외국인은 2,036,075명으
로 전년도 2,524,656명보다 0.94%(488,581명) 감소하였다. 사유로는 코로
나19로 인하여 국가 간 이동이 제한되는 상황의 발생에 기인하며 2022년 
11월 말 현재 2,194,780명으로 우리나라 전체인구의 4.27%를 보인다.10)

[표  3] 연도별 국내 체류 외국인 현황

연도

구분

2018

2019

2020

2021

2022

2023.5

전체인구(명) 51,826,059 51,849,861 51,829,023 51,638,809 51,439,038 51,400,521

체류

외국인

장기 1,687,733 1,731,803 1,610,323 1,569,836 1,688,855 1,766,131
단기 679,874

792,853

425,752

386,945

557,057

598,3763

소계 2,367,607 2,524,656 2,036,075 1,956,781 2,245,912 2,364,894

전체인구대비 4.57%

4.87%

3.93%

3.79%

4.37%

4.60%

※ 법무부 출입국・외국인 정책통계 월보(2023년 5월호). 2023. 5월말 현재

2) 다문화 지원 현황

(1) 다문화 관련 현행 법률 현황
우리나라는 다문화인을 보호하고 우리 사회의 한 구성원으로 정착하여 

생활을 할 수 있도록 정부 부처별 다양한 다문화 관련법을 제정하여 행하
고 있다. 1948년 대한민국의 국민이 되는 요건을 정하고 있는 국적법을 비
롯하여 외국인의 출입 관리를 위한 출입국관리법이 1963년에 제정되었다. 
여성가족부는 다문화가족 지원법(다문화 가족법)을 제정하여 다문화가족 
구성원들이 사회 구성원으로서 안정적인 가족생활의 영위와 역할을 잘 감

10) 출입국관리법 제31조와 재외동포의 출입국과 법적 지위에 관한 법률 제6조에 

따라 입국일로 부터 90일을 초과하여 체류 목적으로 출입국․외국인 관서장에게 

외국인등록 또는 국내 거소 신고 한 자와 90일 미만의 체류 목적 단기 체류 외국

인을 포함 총 국내 체류 외국인을 의미(법무부-출입국・외국인정책본부).


background image

140 

지식과 교양 Vol. 13

당할 수 있도록 하고 있다. 2012년에 제정된 난민법은 1951년 협약된 ‘난민
협약’과 ‘난민의 지위에 관한 1967년 의정서’ 에서 난민에 대한 지위와 처
우에 관련된 내용을 포함하고 있다. 특히 1997년 북한이탈주민의 보호 및 
정착지원에 관한 법률이 제정되어 정부와 다양한 민간단체들이 북한이탈
주민의 정착금, 주거, 취업, 사회복지, 교육, 보호, 행정 등을 지원하고 있
다.

(2) 다문화 지원 정책
우리나라의 다문화정책은 2006년부터 본격적으로 다루어지기 시작했

다. 제74회 국정과제 회의11)에서 다인종․다문화사회에 대비하여 여성 결혼
이민자나 혼혈인, 이주자의 차별 해소와 사회통합을 위하여 범정부적인 종
합대책을 마련하였다. 여성가족부의 ‘제3차 다문화가족 정책 기본계획’에
서도 참여와 공존의 열린 다문화사회를 비전으로 세우고 모두가 존중받고 
차별받지 않는 다문화사회 구현과 다문화가족들이 사회・경제적인 참여를 
확대를 비롯하여 자녀들의 건강한 성장 도모를 목표로 세우고 있다. 이에 
대한 정책과제로 다문화가족의 장기 정착지원을 비롯하여 5대 영역의 과
제와 기타 세부 과제(70개)를 채택하고 있다. 교육부에서도 다문화가족 자
녀를 위하여 2006년부터 정책 비전(목표)을 세워 세부 주요 정책과제들을 
중심으로 하여 매년 부족한 부분들을 보완하여 다문화가족 자녀를 지원하
고 있고12) 다문화교육과 관련하여 법률을 개선하여 지원을 강화하였다.13) 

이처럼 법률의 개선이나 사회・경제적으로 다양한 정책들을 통해 다문

11) 관계부처 합동 빈부격차・차별시정위원회(2006.04.26.).
12) 교육부, “다문화 가정 자녀 교육지원계획(다문화지원대책)”, 2006-2022년.
13) 교육부(2022)에서는 최근 대표적인 개선 사항으로 첫째, 다문화 교육의 근거를 

시행령에서 「초·중등교육법」으로 격상하고, 밀집 학교 교육과정의 자율성 등을 

신설하여 안정적인 지원 기반 마련하기 위해 개정하였고, 둘째, 다문화 학생의 

공교육 진입 기반 조성하고자 고등학교 입학과 편・입학 절차 개선을 위해 2021

년 2월 「초・중등교육법 시행령」을 정비하였다.


background image

141

성서에 나타난 이방인과 다문화에 대한 

현대적 이해와 적용에 관한 고찰┃박봉일

화가정을 비롯하여 산업현장에서 다문화를 지원하려는 노력들을 볼 수 있
다. 그러나 서론에서 언급한 데로 불법체류자를 양산하는 상황은 반성을 
촉구하며 현실적 대안이 필요함을 시사한다. 사례를 들면 산업기술연수생
제도에 의거 정해진 취업 기간 만료 후 본국으로 돌아가 재취업을 위해 대
기하는 기간이 1년 이었다. 그러나 연수를 가장한 사실상의 근로와 불법체
류 외국인을 양산하는 계기가 된다는 지적을 받아오면서 대기 기산을 6개
월로 단축하였고 2023년에는 1개월로 변경하였다. 또 다른 예는 현재 거주
(F-2)자격으로 5년 이상 국내 체류자에 한하여 영주(F-5) 자격으로 변경해
주고 있는데 이들의 국내 체류기간을 4년 10개월로 한정하고 있다.

앞의 사례에서 보여준 것처럼 재취업을 위한 1개월의 대기기간이나 영

주자격 부여를 막기 위해 국내 체류기간을 4년 10개월로 한정하는 등의 조
치가 정당한가에 고민이 필요하다. 다문화사회로의 진입이 우리 사회를 근
본적으로 변화시킬 수 있는 독립적인 변수가 될 수 있다. 또한 한국 사회의 
미래를 가늠하는 준거점이 되어 다문화인으로 인한 사회 안의 충돌과 갈
등의 기회를 역동적이고 창조적인 변화의 기회일 수 있는 것이다(김효준, 
2011).

4. 성서적 관점의 다문화 함의

1) 성서의 다문화적 다양성과 편재성

성서가 가지는 다문화적 요소는 바로 성서를 기록한 저자와 기록된 기

간 그리고 성서적 배경의 다양성이다. 성서는 다양한 계층의 사람들이 오
랜 기간에 걸쳐 기록되었음을 보여주고 있고, 다양한 배경이 소개되고 있
다. 또한 다양한 언어로 번역되어 수많은 사람에 의해 읽히고 있다. 

구약성서는 이스라엘의 역사와 신앙이 다문화적 상황 속에서 기록되었

음을 보여주고 있으며, 다문화적 다양성을 가지고 있음을 알 수 있다(신승


background image

142 

지식과 교양 Vol. 13

범, 2014). 성서학자들은 성서가 기록된 역사를 처음 문자로 새겨진 3,500
여 년 전 시내 산에서 하나님이 직접 기록한 십계명으로부터 시작해서 그
리스도 탄생 400년 전까지 구약의 기록과 그리스도 탄생 후 1세기 동안 총 
1,600년(신약 100년 구약 1,500년)에 걸쳐 기록되었다고 알려져 있다. 저자
는 총 40여 명이고 왕, 예언자, 농부, 목자, 사도, 의사, 세리 등 여러 직업을 
가진 사람들에 의해 기록되었다. 언어도 신약은 당시의 일반 통용어였던 
코이네라는 헬라어로, 구약은 히브리어로 기록되었고 지극히 일부분이 아
람어(에스라 4:8~6:18; 7:12~26, 다니엘 2:4~7:28)로 기록되는 등 다양한 상
황을 보여주고 있다.14) 

성서가 가지고 있는 또 하나의 다문화적 요소는 편재성(遍在性)이다. 

성서는 전 세계적으로 다양한 언어로 번역되고 수많은 사람에 의해 읽히
고 있다. 세계성서공회연합회의 2018년 세계 성서 번역 현황 보고서에 따
르면 전 세계 7,350개의 언어 가운데 성경전서는 56억 명의 인구가 사용하
는 692개 언어로 번역되었다고 밝혔다. 세계성서공회연합회(United Bible 
Societies)는 각국 성서 공회들의 세계적인 연합체로 기독교 성서들을 번역
하고, 출판하고, 반포, 활용하는 것이 목적으로 한다.15) 

또한 전 세계 56억 명이 모국어로 된 성경전서를 갖게 되었다. 신약전서

는 8억 5백만 명이 사용하는 1,547개 언어로 번역되었고, 단편 성서들은 4
억 천백 만 명이 사용하는 1,123개의 언어로 번역되어 총 3,362개 언어로 
번역되었다. 이러한 성서의 편재성은 성서를 접할 기회의 수월성을 제공하
였고, 음악, 미술, 영화 등을 포함하는 예술 활동이나 각종 작품에 활용되면
서 다문화적 내용들이 문화와 예술의 형태로 전해지고 있다. 

14) 대한성서공회, https://www.bskorea.or.kr/, ; KCM, http://kcm.co.kr/.
15) 대한성서공회, https://www.bskorea.or.kr/bbs/board.php?bo_table= bible 

3&wr_id=68.


background image

143

성서에 나타난 이방인과 다문화에 대한 

현대적 이해와 적용에 관한 고찰┃박봉일

2) 성서적 이방인/외국인

본 연구에서는 연구 목적상 구약성서의 배경이 되는 고대 이스라엘 민

족과 함께 살아온 이방인 또는 외국인을 일컫는 <게르>나 <노크리>에 함의
된 내용을 중심으로 고찰하고자 한다.

(1) 이방인 <게르>
<게르>라는 용어는 어떤 제한된 시민권을 향유 하면서 다소 영구적으

로 거주하는 나라에 사는 이국민(異國民) 즉, 비 시민(non-citizen)을 가리
킨다. 이 사람 즉, 거류자(sojourner)는 잠정적으로 머무는 외국인과는 달
리 다른 백성들 가운데 실제로 거주하는 사람으로 동사 gûr와 가장 잘 부합
한다(창세기 12:10, 19:9, 47:4; 이사야 52:4). 이 말은 이스라엘 중에 거하
는 이국인에게는 물론, 팔레스타인 족장(창세기 23:4)과 애굽의 이스라엘
인(창세기 15:13; 출애굽기 22:21)과 이스라엘 가운데 거주하는 레위인(신
명기 18:6; 사사기 17:7)과 기브아에 있는 에브라임 자손들(사사기 19:16)에
게 사용되었다.16) 또한 <게르>는 고대 그리스 도시에 살게 된 정치적 권리
를 지니지 못한 피보호 이방인처럼 이스라엘 사람과 함께 살던 가나안 인
이나 앗수르에 의해 멸망한 북이스라엘에서 온 난민들을 의미했다. 

① <게르>의 특징
<게르>에 대한 특징을 법적, 사회적, 종교적 등 세 가지 면에서 고찰하

면 다음과 같다. 

첫째, 법적인 면에서 살펴보면 구약성서에서는 <게르>에 대하여 다양

하게 보호하고 있음을 알 수 있다(신명기 10:18). 레위기에서는 거류민에 
대하여 명확히 규정하고 있는데, “그들을 학대하지 말고 너희가 낳은 자녀 
같이 사랑하라”17)고 말한다. 이스라엘에 있는 거류자는 보통 나그네들에게

16) 정인찬, 『성서대백과사전』, 기독지혜사, 1979, 181쪽.
17) 레위기 19:33.


background image

144 

지식과 교양 Vol. 13

는 비우호적이었던 고대 법적 제도에 맞지 않는 지위와 많은 특권을 누렸
다. 왜냐하면 거류자는 자연적으로 불리한 처지에 있었으므로 약한 자와 
도움이 없는 자를 보호하도록 제정된 법의 보호를 받기 때문이다(레위기 
19:33 이하; 신명기 10:18). 이처럼 구약성서에서는 <게르>에 대하여 다양
한 보호 조치를 취하고 있다(D. E. Gowan, 1987).

둘째, 사회적인 면에서 고대 이스라엘 민족은 공동체 안에 생활력이 부

족하거나 도움이 필요한 사람들을 위해 3년마다 모여진 십일조를 사용하
였다. 수혜 대상은 먼저 기업을 갖지 못한 레위인, 고아 그리고 과부이었으
며, 그들과 함께 거류하는 객인 <게르>도 보호 대상에 포함되었다(신명기 
14:28-29; 26:12). 사회적 분위기도 <게르>에 대해서는 고아나 가난한 과부
와 마찬가지로 특별 보호를 받아야 할 사람으로 간주하였다.

또한 이스라엘 민족은 그들을 압제해서는 안 되었는데(출애굽기 22:21, 

23:9) 실제로 이스라엘 민족은 그들을 사랑해야 했다. 나그네에게 호의를 
베푸는 것은 이스라엘의 전통적으로 내려오는 풍습이다. 이러한 예를 아브
라함과 롯(창세기 19장), 그리고 기드온(사사기 6장)에게서 찾아볼 수 있다. 
물론 나그네를 적대시하였던 예(사사기 19:22 이하)도 있기는 하지만 나그
네에 관한 호의는 하나님이 명령하신 명령 중에 가장 중요한 것 중 하나였
다(W. Lorenz, 1990).

잊어버린 곡식 단이나 감람나무, 포도나무에서 거두다가 남은 열매

들과 추수한 들판에 남은 곡식들은 그들을 위해 남겨졌다(레위기 19:10, 
23:22; 신명기 24:19-22). 룻기에서는 보아스가 룻에게 행한 행동을 통해 
거류민을 위하여 본토에 있는 자들이 가져야 할 태도를 잘 보여주고 있다
(룻기 2:15-16).

셋째, 종교적인 면에 있어서는 비록 이스라엘인은 아니지만, 야훼

(Yahweh)를 섬기는 종교로 개종한 ‘개종자’(proselyte)의 의미를 갖게 되


background image

145

성서에 나타난 이방인과 다문화에 대한 

현대적 이해와 적용에 관한 고찰┃박봉일

었고 또한 공동체 일원으로 인정받았다.18) 대부분 주요 성일(聖日)이 이스
라엘 백성과 마찬가지로 <게르>에도 적용됐음을 알 수 있다. 그들은 특별
히 안식일을 지키는 계명도 똑같이 적용할 것을 규정하고 있다(출애굽기 
20:10; 신명기 5:14). <게르>에도 안식일을 이스라엘 민족과 같이 지켜야 
했다.

또한 그들은 이스라엘의 3대 절기(유월절, 맥추절, 초막절)의 축제에도 

참여할 수 있는 권리를 줬다. 무교병에 관한 법도 타국인과 본국인에게 같
이 <게르>에도 적용하고 있다(출애굽기 12:19). 또한 할례받은 <게르>는 
이스라엘 본토인과 같이 유월절을 지킬 수 있었다(출애굽기 12:48; 민수기 
9:14).19) 특별히 초막절에 관해서는 신명기 16장 14절에서 절기를 지키는 
방법에 대해 말하고 있는데 본인뿐만 아니라 자녀, 노비, 네 성 중에 거주하
는 레위인, 객, 고아, 과부도 함께 즐거워하게 했다(참고: 레위기 16:29). 이
처럼 <게르>는 초막절 축제에 초대되었고 속죄일(The Day of Atonement)
을 지키도록 허용되었다(레위기 16:29).

<게르>는 허용에 따른 규정만을 적용하는 것이 아니었다. 징벌에 관한 

규정도 본토인과 마찬가지로 같이 적용되었다. 레위기 17장 8-9에서는 번
제나 제물을 하나님이 명하신 규정대로 드리지 않는 <게르>는 백성 가운
데서 끊어지게 된다(G. J. Wenham, 1979). 이 규정은 이스라엘 본토 사람
들에게도 적용되는 것이다. 기타 <게르>는 여섯 개 지역에 설치된 도피성
을 통해서 보호받았다. 도피성20)은 우발적인 살인을 저지른 자들을 보호하
기 위해 요단강 동편과 서편에 각각 세 군데 씩 총 여섯 군데를 두어 가나안 

18) 참조: D. Kellermann(1973). p.984. <게르>는 <구르>(gûr) 동사의 의미영역에서 

① 떠돌아다니다 ② 혼란을 야기하다, 분쟁을 일으키다, 싸우다 ③ 무서워하다, 두

려워하다’의 세 가지로 나타나고 사회적 혼란, 불안, 두려움의 의미를 담고 있다.

19) 참조: J. I. Durham(1987).
20) 요단강 서편(3곳): 가데스, 세겜, 헤브론(기럇 아르바), 요단강 동편(3곳): 바산 골

란, 길르앗 라못, 베셀(여호수아 20:7-9).


background image

146 

지식과 교양 Vol. 13

땅 어디에서든지 하룻길이면 갈 수 있도록 설치했다(민수기 35:14, 15). 민
수기와 여호수아에 기록된 대로 타국인도 도피성을 통해 보호될 수 있도록 
조치하고 있다.

결과적으로 구약성서는 이방인 <게르>에 대하여 법적, 종교적, 사회적

인 면에서 제도적으로 배려되고 다양한 방식을 통해서 보호받아야 함을 명
확하게 알 수 있다. 그리고 사회적 약자인 <게르>는 돌보아 줄 것을 명령하
고 있고, 타지인으로 <게르>가 거주하는 마을이나 성읍 공동체의 구성원
으로 여기고 보호해야 한다는 것이 구약성서의 일관된 태도이다(하경택, 
2010).

② <게르>가 되는 요인
구약성서 안에서 <게르>가 될 수 있는 대표적인 요인 세 가지를 살펴보

면 다음과 같다(D. Kellermann, 1973).21) 

첫째, 경제적인 문제로 <게르>가 되는 경우인데 기근 발생 시 어쩔 수 

없이 타국에 가서 사는 경우로 구약성서는 기근으로 인한 이주에 관한 많
은 사례를 보여주고 있다. 대표적인 예를 들자면 엘리멜렉과 나오미가 이
방 나라인 모압으로 이주한 것도 이스라엘에 심한 기근을 피해 이주한 것
이다(룻기 1:1).

둘째, 정치적인 문제로 정치적으로 발생하는 갈등과 위기를 통해서 자

신의 나라를 떠나게 한다. 대표적인 예로 정치적인 난민이 생기게 된 배경
은 바벨론 침공으로 포로가 된 유대인들이다. 대표적으로 다니엘을 들 수 
있다. 다니엘서의 배후는 바벨론에 포로로 붙잡혀가 이방인, 즉 <게르>로
서의 삶을 배경으로 하고 있다.
21) 다만 <게르>를 만드는 세 가지 요인 외에도 당시 고대 이스라엘 사회가 농경 위

주의 사회였던 것과 이로 인해 자연발생적으로 이동할 수밖에 없는 상황들, 특

히 전쟁으로 인한 포로, 이주, 유목의 경우 정착민 등 다양한 형태가 발생할 수 

있다고 볼 때 더 많은 요인이 있을 것이다. 참고: G. E. Lenski, 1984, pp.289-

295; 우택주, 2008, pp.32-34.


background image

147

성서에 나타난 이방인과 다문화에 대한 

현대적 이해와 적용에 관한 고찰┃박봉일

셋째, 개인적인 문제의 경우로 구약성서는 개인적인 문제로 고국을 등

져야 했던 많은 경우를 보여준다. 대표적인 예를 들자면 길르앗 사람으로
서 서자(庶子) 입다는 기생 아들로 형제들에게 멸시받고 이방 땅 돕으로 피
신해 이방인으로서 살아가야만 했다(사사기 11:3).

성서적 관점에서 이방인 <게르>에 대하여 배려를 명하고 있다. 하경택

(2010)은 성서적 배려에 대한 이유를 세 가지로 설명하고 있다.22) 그중 이스
라엘 백성이 <게르>의 삶을 살았기 때문이라고 첫 번째 이유를 들고 있으
며, 이방인 <게르>를 배려하라고 성경 여러 곳에 기록하고 있다. 대표적으
로 이방 나그네에게 압제나 학대를 금하는 이유를 “너희 자신도 애굽 땅에
서 나그네 되었음이라”라고 기록되어 있다(출애굽기 22:21). 또한 “이스라
엘 백성들이 나그네의 삶을 살았기 때문에 나그네 사정을 잘 알 수 있다”라
고 말한다(출애굽기 23:9).

(2) 외국인 <노크리>
① <노크리>의 특징
이론적 논의에서 <노크리>는 ‘외국인’, ‘다른 사람’, ‘어떤 가족이나 씨

족 집단에 속하지 않은 사람’ 등 몇 가지 의미로 사용됨을 살펴보았는데 본 
연구에서는 연구 목적상 ‘외국인’에 대해서만 고찰하고자 한다. ‘외국인
(foreigner)’을 의미하는 <노크리>는 태어나서 주로 이스라엘 밖에서 사는 
사람을 가리킨다. 신명기 법전을 중심으로 <노크리>의 특징에 대하여 법
적, 사회적, 종교적인 면에서 살펴보면 다음과 같다.

첫째, 법적인 면에서 <노크리>는 고대 이스라엘 사회에 적용되는 법에 

있어 권리를 누리지 못했음을 볼 수 있다(신명기 15:3, 23:20). 이 말에는 근

22) 둘째, 사회적 약자를 보호하시고 사랑하시는 하나님의 사랑에 근거한다. 셋째, 

하나님 앞에 <게르>로서 삶을 살아가는 이스라엘의 자기의식에 있다. 하경택

(2010).


background image

148 

지식과 교양 Vol. 13

본적으로 이스라엘 사람과 이방인과의 차이점을 포함하고 있음을 나타내
고 있다(이사야 61:5; 예레미야 5:19, 30:8).23) 또한 외국인을 통치자로 뽑는 
것을 금했다. 주위의 모든 민족처럼 왕을 세울 때에는 하나님 여호와께서 
택하신 자로 형제 중 한 사람으로 하되 형제가 아닌 타국인<노크리>에 대
해서는 왕으로 세우는 것을 금하고 있다(신명기 17:14, 15). 

둘째, 사회적인 면에서 빚진 자에 대한 태도를 규정하고 있는데 채무자

에 있어서 7년마다 채권자는 빚을 면제해주어야 하지만, 이방인 <노크리> 
에게는 네가 독촉하려니와 네 형제에게 꾸어준 것은 네 손에서 면제하라”
라고 기록되어 있다(신명기 15:3). <노크리>는 채무면제의 대상에서 제외
되었다. 이스라엘 사람에게 돈을 빌려주었을 경우 이자를 받아서는 안 되
었지만, <노크리>에게는 이자를 받는 것이 가능했다(신명기 23:20). 이처
럼 <노크리>는 이스라엘 사람과 혈연이나 지연 관계가 아니며, 경제적으로 
배려 대상이 되지 못했다. 혼인 문제에 있어서는 아주 일찍부터 이방인과
의 혼인이 비록 좋은 것은 아니었지만 보통 행해지고 있었다(창세기 24:3, 
27:46; 민수기 12:1; 사사기 14:3). 모세는 대제사장이 자기 민족 중의 처
녀와 결혼하기를 요구했다(레위기 21:14). 에스라와 느헤미야는 유대인과 
외국 여인과의 잡혼에 반대하는 열띤 논쟁을 벌였다(에스라 10; 느헤미야 
13:23-31).

셋째, 종교적인 면에서 하나님은 <게르>를 사랑했으며, 이스라엘 사람

도 삼 년마다 십일조를 모아 지원했지만 <노크리>에 대하여는 배려하라는 
말이 없다(신명기 26:12). 유월절 규례에도 이방인은 먹지 못하도록 엄격히 
구분했다(출애굽기 12:43). 그리고 이들은 성전에서 봉사하는 제사장도 될 
수도 없었다(에스겔 44:7, 9). 이처럼 이스라엘 백성들과 함께 이방인들도 
함께 거주하고 있음에도 차별을 받았다는 것을 알 수 있다(열왕기상 9:20, 

23) 정인찬, 『성서대백과사전』 제1권, 기독지혜사, 1979, 181쪽.


background image

149

성서에 나타난 이방인과 다문화에 대한 

현대적 이해와 적용에 관한 고찰┃박봉일

24; 역대상 22:2).

고대문화에 있어서 외국인과 적(敵)은 실제로 같이 취급됐으며, <노크

리>에 대해서는 사회적으로나 경제적으로 특히 제의적(祭儀的)인 면에 있
어서는 이스라엘 백성과 엄격하게 구별하였고, 유대인들은 모든 사람 중에
서 <노크리>에 대하여 가장 부정적인 태도를 보였음을 알 수 있다(하경택, 
2010; B. Lang, 1986; R. de Vaux, 1962).

② <노크리>가 되는 요인
<노크리>는 외국인으로서 ‘먼 이국으로부터 와 이스라엘 백성에 속하

지 않은 사람’(열왕기상 8:41)이며 ‘형제가 아닌 타국인’(신명기 17:15)을 가
리키는데 <노크리>가 될 수 있는 요인은 다음과 같다.

첫째는 경제적인 문제로 <노크리>가 되는 경우이다. 안식일에 물건을 

팔고 사는 일이 금지된 예루살렘에서 일부 유다 사람은 장사하다가 느헤미
야로부터 책망을 받는데(느헤미야 13:15-17) 유다 사람들과 함께 예루살렘
에서 살면서 생선이나 각종 물건을 팔던 두로 사람들을 일컫는다(하경택, 
2010).

둘째, 정치적인 문제이다. 솔로몬은 주변국과의 교류와 평화를 목적으

로 이방 여인들과 혼인 관계를 맺는데 이방 여인들은 주로 모압, 암몬, 돔, 
시돈, 헷 등지에서 왔으며 이들은 <노크리>로 지칭된다. 여호와께서 일
찍이 이러한 외국 여인과의 혼인을 금했기 때문에 비난받았다(열왕기상 
11:1). 바벨론 군인들은 예루살렘을 정복하고 유다에 머물게 되는데(오바
댜 1:11) 이들을 <노크리>라 볼 수 있다(하경택, 2010). 잇대는 가드로부터 
포로 6백 명을 거느리고 이스라엘에 온 블레셋인으로 후에 다윗에게 충성
하였다. 그는 압살롬 토벌 제3분대 지휘관으로 임명되었다(사무엘하 18:2).

결과적으로 외국인에 대한 부정적인 태도가 나타나는 이유는 이방 민

족으로부터 지배를 당하는 입장에서 자신의 정체성을 지켜야 하는 유대인


background image

150 

지식과 교양 Vol. 13

들의 특수한 상황에서 찾을 수 있으며, 언약의 백성으로서 순수성을 회복
하고 귀환 공동체를 새롭게 세워나가야 하는 상황이 그러한 태도를 보이게 
만들었다(에스라 10장; 느헤미야 13:26 이하).

3) <게르>와 <노크리>의 현대적 이해와 적용

(1) <게르>와 <노크리>의 현대적 이해
사센(S. Sassen, 2016)의 주장처럼 이주민은 생존회로로 이동하는 마

지즌(Margizen)24)과 상층회로로 이동하는 데니즌(Denizen)25) 등 두 부류로 
나눌 수 있다.26)

[표 4]은 마지즌과 데니즌의 특징을 비교하기 위한 것으로 표에서 보는 

바와 같이 마지즌은 경제적인 문제나 사회적인 생존을 목적으로 목숨을 걸
고 생존회로에서 이동하는 노동자들과 여성으로서 세계화의 구조적 변화
에 수동적 태도를 보이는 사람들이다. 이들은 주로 아프리카나 동남아시아 
출신의 이주노동자들로 우리의 도움이 필요한 사람들로서, 체류하는 국가
에서 법적으로나 정치, 사회, 문화적인 혜택이나 권리를 제대로 보장받지 
못하고 어려운 환경에서 살아가는 자를 말한다. 이는 구약성서 이방인 <게
르>와 유사한 개념으로 이해된다. 반면 데니즌은 선진국 출신으로 정식 체
류하면서 좋은 대접과 함께 비교적 넉넉한 생활을 누리는 사람들이다. 이
들은 주로 전문 직종에서 타국에 일시적으로 머물더라도 자국 시민권을 계
속 소유하기를 원하며, 이주 국가에 영주할 의사를 가지고 있지 않은 이주

24) 마르티니엘로(Martiniello)가 처음 도입하였고 주변에서 생활하여 살아가는 사

람들이라고 정의한다. 참조: S. Sassen (2012).; 민경란(2019).

25) 함마르(T. Hammar)에 의해 처음 도입되었고 법적 영주권을 보유한 외국인으로 

정의한다. 참조: S. Sassen (2012).; 민경란(2019).

26) 요세푸스는 유대교 법에서 유대교적 삶의 방식을 수용하는 외국인과 우연하게 

유대인들과 함께 살게 된 외국인으로 구분된다고 주장한다. 이렇게 구분하는 것

은 한 지역에서만 보여지는 특이한 현상이라기보다는 당시 주위 여러 나라들과 

공동으로 나타나는 현상으로 히타이트나 그리스에서 잘 관찰할 수가 있었다. 참

조: B. Lang(1986), p.457.


background image

151

성서에 나타난 이방인과 다문화에 대한 

현대적 이해와 적용에 관한 고찰┃박봉일

민을 일컫는다(김현미, 2005; 민경란, 2019; 이종록, 2000; 하경택, 2010; 
한경구, 한건수, 2007; 한주희, 2006). 이는 구약성서 <노크리>와 비슷한 개
념으로 이해할 수 있겠다.

[표 4] 마지즌과 데니즌의 특징 비교 

구분

생존회로(마지즌)

상층회로(데니즌)

특징

① 경제적, 사회적 생존을 위해 이주

② 사회경제적으로 하층부에 위치하는 

이주자

① 사회경제적으로 상층부에 위치하는 

이주자

② 고학력, 전문기술 보유

특징

③ 회피 업종, 단순 서비스직

④ 개발도상국 출신자

⑤ 외국인노동자, 국제결혼 이주여성

③ 1세계 혹은 선진국 출신자

④ 자발적 의사결정에 의해 이주

⑤ 상사 주재원, 외교관, 연구자, 

외국인 고급인력

(2) <게르>와 <노크리>의 현대적 적용
우리나라는 다양한 법과 정책을 마련하여 다문화인을 지원하고 있다. 

이에 우리나라의 다문화 상황에 대한 현주소를 알아보고 고대 이스라엘 민
족과 함께 거주하며 생활했던 이방인 개념의 <게르>와 <노크리>에 대한 언
어적 분석과 삶의 방식에 대한 성서적 함의를 도출하였다. 그리고 이들의 
삶을 성서적 관점에서 고찰하여 타국에서 이주민의 삶을 살았던 우리 민족
의 삶과 비교하여 우리 사회에 적용할 실천 방안을 찾아내고자 했다.

우리나라가 처한 다문화적 상황이 ① 유럽-제국주의 형, ② 미국형 혹

은 신제국주의 형, ③ 아시아형 혹은 탈식민주의 형으로 구분되는 다문화 
유형 중 어느 유형에도 속하지 않고 해당하는 모델이나 규범적 방법론을 
찾기가 쉽지 않다(오경석, 2007). 그러나 정형적 모델을 차치물론하고 현실
적으로 이주민은 우리사회의 중요한 역할자임은 부정할 수 없는 사실이다. 
이에 우리사회의 다문화상황을 현대적 관점에서 이해하고 실천의 방향성
으로 고찰하려는 내용들은 다음과 같다.

① 공동체 사회의 역할자임을 인식


background image

152 

지식과 교양 Vol. 13

[표 5] 취업 자격 체류 외국인 업무 유형별 현황

구분

총계

단순 기능인력

전문인력

취업 자격 체류 외국인

445,235

393,246

51,989

[표 7]은 취업 자격 체류 외국인에 대한 업무 유형별 현황으로 경제적인 

이유로 한국을 찾은 체류 외국인은 2022년 11월 말 현재 전문인력 51,989
명과 단순 기능인력 393,246명 등 총 445,235명으로 체류 외국인 전체 
2,194,780명 대비 20.28%를 보인다.27)

현재 우리나라에 체류하는 외국인의 업무 유형별 현황을 성서와 비교

해서 구분하면, 앞에서 밝혔듯이 마지즌은 <게르>로, 데니즌은 구약의 <노
크리>로 이해할 수 있는데, 표에서 보는 것처럼 외국인들 가운데 우리 사회
의 배려 대상이 되는 단순 기능인력에 해당하는 <게르>와 같은 외국인들이
다. 이들은 사회경제적으로나 정치적인 문제 등 여러 가지 이유로 우리나
라를 찾은 이주노동자들이나 결혼을 목적으로 찾아온 외국인 여성들, 그리
고 탈북자 등이 이에 해당할 것이다. 특히 결혼이주여성들은 법적 지위와 
인권침해와 관련하여 많은 어려움을 겪기도 하였다.28) 전문인력에 종사하
는 외국인은 구약성서의 <노크리>처럼 일반적인 배려 외에 복지면에서 특
별한 도움이 필요한 대상은 아닌 것으로 나타난다. 이스라엘에 있어 <노크
리>가 경계 대상으로 취급되었던 것처럼 우리나라에서도 외국인은 오히려 
경계 대상으로 전락 될 우려가 될 수 있다.29) 

27) 법무부-출입국·외국인정책본부, “취업 자격 외국인 현황”, 2022.11.30.
28) 결혼이주여성의 법적 지위와 인권침해 실태 등은 김유정(2021)을 결혼이주여성 

체류 안정을 위한 법제 개선방안은 강원법학 제63권 35-85쪽을 참조함.

29) 지난 8일 세종시 A어학원 원어민강사 B가 강의실에서 6-7세 미취학 아동 7명에

게 수업 도중 신체에 해를 가하는 내용의 인터넷 동영상을 보여줬다. 이에 학부

모들은 경찰에 고소장을 냈고, 경찰은 아동복지법 위반 혐의 등으로 B를 조사 중

이다. 앞서 대전 지역에서는 2010년 동구 국제화센터에서 강사로 일하던 미국인 

영어강사 C가 여고생과의 성관계 동영상을 퍼트려 논란이 된 바 있다. C는 초등

학생을 가르치는 원어민 강사로 알려지며 지역사회에 더 큰 충격을 줬다. 


background image

153

성서에 나타난 이방인과 다문화에 대한 

현대적 이해와 적용에 관한 고찰┃박봉일

우리도 과거 일제의 탄압을 피해서 만주와 시베리아로 이주하거나, 일

제강점기에는 나라를 잃은 상황에서 새로운 삶을 찾기 위해 이러한 이주
가 계속되었고, 더욱이 일제의 징용과 징병, 일본군 위안부 등에 의해 한국 
청년들이 일본과 만주, 그 밖의 제2차 세계대전 중 전쟁 지역으로 강제 이
동되었고, 이들의 일부와 그 후손들은 아직도 그 지역에서 살고 있다(조옥
라 외 2006; 최명민 외, 2019). 비록 강제는 아니지만 주로 경제적인 이유로 
1960년대부터 1970년대에 이르러서는 간호사와 광부의 신분으로 독일에 
이주했으며, 1960년대 중반에는 근로자와 파병부대원으로 베트남에 파견
되었고 1970년부터 1980년대에는 사우디아라비아를 비롯하여 중동지역
에서 근로자로 일했던 과거 경험이 있다(설동훈, 2006). 다른 나라에서 노
동자로 일하며 겪었던 때를 기억하며 우리나라에 이주노동자로 온 이주민
들에게 특별히 배려하는 역지사지(易地思之)의 태도가 필요하다.

“너희는 그를 학대하지 말고 너희와 함께 있는 거류민을 너희 중에서 

낳은 자 같이 여기라30)는 <게르>에 대한 가르침은 한 가족이라는 인식에 대
한 시사점을 주고 있다. 다문화인과 사회통합을 이루기 위하여 세계가 하
나의 다문화적 공동체 사회라는 인식과 다문화적 공동체 사회에 대한 이해
와 공감 능력의 향상이 필요하다. 캔달(Kendall 1983)은 다문화적인 공동
체 사회의 이해와 공감 능력을 향상하는 것이 다문화교육의 목표라고 제시
하고 있다. <게르>는 부족한 노동인력을 위해서 우리 사회를 찾은 것은 사
실이지만 깊이 생각해 보면 비정상적인 우리 사회가 정상적으로 유지되기 
위해 필수적인 요소인 것이다. 특히 3D업종에서 노동인력의 부족은 심각
한 수준이다. 비록 여러 가지 문제점을 안고 있지만 이들이 없으면 노동현
장을 유지하기는 불가능하다고 본다. 이처럼 이들은 비정상적인 우리 사회

출처:이용민, “세종 원어민 강사, 아동들에게 엽기 동영상 보여줘”, <대전일보>, 

2020.01.13.

30) 레위기 19:33, 34.


background image

154 

지식과 교양 Vol. 13

가 정상적으로 유지하는데 반드시 필요한 부분으로 정상적인 사회 유지를 
위해서 중요한 역할을 하고 있는 것이다. 이러한 자세는 다문화적 공동체 
사회구성원들이 한 가족이라고 인식할 때 가능하다. 

② 법적・사회적 환경조성과 제도 마련
본 연구에서는 종교적인 면은 종교 간 견해 차이가 있을 수 있어 논의를 

생략하고 법적인 면과 사회적인 면에서만 논하고자 한다. 다문화인은 물론 
다문화 가정 자녀들이 우리 사회에서 안정된 생활을 누릴 수 있도록 법적・
사회적 환경 조성과 제도적 장치 마련하는 등 다문화와 통합된 하나의 사
회가 필요하다. 이를 위해서 현재의 다문화정책에 대한 중앙정부나 지자체
의 구조적인 개선이 필요한데, 최명민 외(2019)에서 제시한 것처럼 부처별
로 산발적으로 추진되는 다문화 정책 사업이 중앙정부 수준에서 총괄하고 
조정할 수 있는 법이나 제도 마련하여 정부와 지자체의 역할에 대한 분담
이 명확하게 구분하는 것이 필요하다. 홍규호(2021)도 외국인 정책 기본계
획에서 지적되는 문제점으로 중앙부처의 기능이나 역할에 대한 분담의 원
칙이 결여됨을 말하고 있다. 거시적 관점과 미시적 관점에서 살펴보면 다
음과 같다.

거시적 관점에서는 사회통합을 위하여 중앙정부가 법제를 마련하고 필

요한 재정확보와 전반적인 기본계획을 수립하여 기본 방향이 설정되어야 
한다. 지자체는 이에 대한 시행계획을 마련하여 각 기초단체나 센터에서 
운영할 수 있도록 지원해야 한다. 특히 지자체는 이주민 업무에 대한 숙지
는 물론 중앙정부에서 추진하는 국가 이민정책의 흐름과 방향성을 이해하
는 것이 필요하다.

미시적 관점에서는 기초자치단체나 센터에서 프로그램을 운영하면

서 드러난 문제점을 극복하고 효율적인 방향을 추구해야 하는데 모범사
례로 일본의 다문화정책을 펼치는 지자체 운영사례를 들 수 있다. 여기서


background image

155

성서에 나타난 이방인과 다문화에 대한 

현대적 이해와 적용에 관한 고찰┃박봉일

는 행정이나 교육, 취업, 거주, 사회보장 등 여러 분야에 걸쳐 다문화 시책
을 종합·조정하거나, 정기적인 협의체로 구축되도록 노력하고 있다. 특히 
시민단체와의 연계를 형성하기 위하여 외국인 인구 비율이 높은 도시 간 
연합체인 외국인집주도시회의(外國人集住都市會議)31)가 있다(전경옥 외, 
2013). 

사회적으로 고대 이스라엘 민족은 생활력이 부족하거나 도움이 필요

한 사람들에게 3년마다 모여진 십일조를 기금 형태로 모아서 이들에게 지
원했는데 이방인 <게르>도 포함되어 도움을 받았다.32) 나그네에게 호의를 
베푸는 것은 이스라엘의 전통적인 풍습이었다. 다양한 이유로 우리 사회를 
찾은 이주민, 특히 경제적으로 어려운 이주민들이 우리 사회에 잘 정착할 
수 있도록 하는 방법의 하나로 ‘수익자부담 이민자 사회통합기금 제도’의 
필요성을 가진다. 서광석(2023)33)도 '이민자 사회통합기금 설치'를 적극적
으로 제안하고 있다. 

③ 이주민을 혐오하는 태도를 버려야
이주민에 대하여 혐오하는 제노포비아34)(xenophobia)의 태도는 다문

31) 설립목적은 외국인 주민 관련 시책과 이를 위해 활동하는 도시 행정과 국제교류

협회로 구성하고, 이와 관련된 여러 가지 정보를 교환하면서 나타나는 문제 해

결을 위해 적극적인 자세로 임하는 것으로 2001.05.07에 설립. ;이민역사교실-

네이버 블로그, https://blog.naver.com/kwspeace.; 일본 법무성 홈페이지, 

https://www.moj.go.jp/.

32) 신명기 14:28-29, 26:12.
33) ‘이민자 사회통합기금 설치’를 제안하고 있다.; 서광석, “‘이민자 사회통합

기금’ 설치...‘이민정책중앙컨트롤타워’ 설립에 동참할 때”, <다문화TV뉴스

>, 2023.03.16.,http://www.damunhwanews.com/news/articleView.

html?idxno=3989.

34) 외국인 공포(혐오)증으로 불리며, 다른 문화권에서 온 사람들을 혐오하고 증오

하는 현상으로 그리스어로 xenos는 이방인, 외국인, 낯섦, phobias은 두려움 또

는 혐오감을 뜻하는 합성어이다. 발생의 원인은 두려움 이론 및 접촉 이론적 관

점에서 출발한다. 이는 이방인 또는 외국인에 대한 두려움보다는 접촉의 부족, 

즉, 편견이 낳은 태도로 본다(위키백과; YBM; 최영미, 2016; 허경미, 2014; 엄한

진, 2006).


background image

156 

지식과 교양 Vol. 13

화사회를 구성하는데 커다란 장애물로 작용된다. 허경미(2014)는 제노포비
아의 원인을 주로 다른 문화권 사람들과 접촉의 부족에서 발생하는 편견에 
기인한다고 보며 이주민 유입의 증가로 사회 구성원이 다양화되고 제노포
비아의 원인에 따라 이들에 대한 막연한 두려움이나 접촉의 부재로 볼 수 
있고, 각종 매스컴에서도 이주노동자를 부정적으로 보도하거나 이주민 범
죄와 관련한 보도가 영향을 미치는 것으로 보며, 그리고 정부의 다문화정
책도 원인이 될 수 있다(최영미, 2016; K. S. Chung, S. M. Lee, 2011).

유럽 정치인들의 시각에서도 우리나라의 이민정책에 대하여 ‘다문화 

실패 선언’과 함께 반다문화 담론을 주장하고 있는데 한국의 다문화정책은 
저출산으로 인한 노동력 확보의 수단으로서 서민의 일자리 감소와 인권, 
임금체불 같은 문제로 인해 이주민의 범죄가 더욱 조직화하고 흉포화되
어 이주민 밀집 지역의 치안 문제가 발생한다고 보았다(J. G. Kang, 2014, 
2012). 유엔 인종차별 철폐위원회의 3차례 권고는 다문화에 대한 우리 사
회의 제노포비아 모습을 잘 반영하고 있다. 다문화에는 이미 차별적인 의
미가 내포되어 있음을 선행연구를 통해 알 수 있었고, 특정 외국인이나 이
주민집단에 대한 편향적 선호와 차별이 아시아계 결혼이민자 가족을 비하
하는 태도를 가져오게 했으며, 우리 사회가 취하는 동화주의는 다문화 학
생들의 자아존중감, 삶의 만족도를 감소시키고, 지나친 역사 인식과 편협
함, 그리고 강한 민족주의가 외국인을 배척하는 결과를 낳게 했다. 성서에
서는 이방 나그네를 압제하지 말며 학대하지 말 것을 말씀하고 있다.35) 그
들을 혐오하거나 학대하는 행위는 우리가 다문화사회로 진입하는 데 커다
란 장애물로 작용될 것이다.

④ 우월성과 편향성에서 벗어나려는 노력
성서는 이주민에 대하여 그리스도 안에서 하나이며 한 가족임을 명확

35) 출애굽기 22:21.


background image

157

성서에 나타난 이방인과 다문화에 대한 

현대적 이해와 적용에 관한 고찰┃박봉일

하게 밝히고 있는데36) 사회적 약자의 상황에 있는 이주민을 배려하기 위해
서는 우리와 하나라는 인식과 한 가족이라는 태도를 갖는 것이 필요하다. 
이러한 인식은 인종주의37)적 우월성과 편향성에서 벗어나게 한다. 인종주
의는 인종에 대한 편견이나 민족중심주의의 다른 모습으로 보고 있으며 이
는 열등하다고 여기는 집단에 대하여 개인이든 제도적인 의도적으로 됐
든지 비의도적으로 됐든지 사회의 힘을 배경으로 억압하게 되며(D. Lum, 
2003; J. M. Jones & R. T. Carter, 1996), 더 나아가서는 차별하는 결과를 
낳게 되는 것이다. 이러한 결과로 이들에 대한 구조적이고 체계적인 거부
감이 생기게 되며 우리나라의 최근 다문화 현상 경험은 향후 인종주의의 
기반이 될 것이라는 주장도 있다(엄한진, 2006). 이데올로기면에서도 지나
친 단일민족에 따른 민족중심주의 고집으로 인하여 이주민을 열등하거나 
이상한 집단으로 간주하는 것은 피해야 한다(E. Cashmore, 1996). 인종을 
차별하는 인종주의적 우월성과 편향성을 버리기 위해서는 성서의 말씀을 
교훈삼아야 할 것이다.

5. 결 론

최근 빠른 세계화 추세와 함께 한국 사회는 다문화사회로의 변화 양상

이 뚜렷하고 이러한 변화는 앞으로도 지속될 것으로 보고 있다. 이러한 상
황 가운데 정부는 다양한 법과 정책을 마련하여 다문화인을 지원하고 있
다. 그러나 이러한 노력에도 불구하고 이들에 대한 인식은 다소 부정적임
을 앞선 고찰에서 볼 수 있었다. 이념적으로도 단일민족 순수혈통의 우위
36) 갈라디아서 3:28; 베드로전서 2:11
37) 한 인종이 타 인종보다 우월하다는 생각으로 다른 열등하거나 하위의 인종에 대

하여 압도한다는 인식으로 우월성은 주로 유전자의 구조와 지능, 피부색과 성

격, 그리고 다른 관련 이유에 근거를 두고 있다. 인종주의는 개인이나 가족, 특

히 사회나 집단을 통해 학습된다고 보고 있고, 편견과 같은 부정적인 정서와 개

인적·제도적·문화적 차별의 행위적 작용 및 반작용으로 심화하는 하나의 편향성

(bias) 이다. 참조: D. Lum(2003), p.46.


background image

158 

지식과 교양 Vol. 13

론적 이데올로기를 바탕으로 타 인종이나 민족에 대한 차별과 편견 의식을 
가지면서 다문화에 대하여 부정적이며 비하하는 태도를 보여 우리 사회가 
다문화사회로 진입하는데 필요한 국민적 이해를 요구하고 있다. 한국적인 
다문화 환경의 특수성을 고대 이스라엘 민족과 함께 생활하던 <게르>에 적
용하는 것은 다소 무리가 따른다. 다만 <게르>에 대하여 성서에서 보이는 
인식과 태도는 오늘날 다문화사회에서 실천할 방안에 대한 방향성을 말해
주고 있어 앞에서 고찰한 성서적 관점의 <게르>와 <노크리>를 중심으로 다
문화사회에 적용할 실천 방안을 네 가지로 제안하고자 한다.

첫째, 다문화인은 우리사회의 한 구성원으로서 역할자라는 인식이 필

요하다. 다문화인이 단지 경제적 목적만을 위해서 이 땅을 찾은 이방인이 
아니라 우리 사회를 구성하는 역할자로서 필수 구성요소라는 인식이다. 다
문화인과 사회통합을 이루기 위해서는 다문화적 공동체 사회구성원들을 
한 가족으로 인식하고 하나의 역할자임을 인식할 때 가능하다.

둘째, 이주민들이 정착할 수 있는 법적・사회적 환경 조성이 필요하다. 

법적으로 이주민들이 우리사회에 정착하여 사회 구성원으로 함께 살아갈 
수 있도록 법적인 보호가 담보되어야 한다. 사회적으로도 고대 이스라엘 
민족이 어려운 처지에 있는 <게르>에게 십일조를 기금 형태로 모아서 지원
했는데 다양한 이유로 우리 사회를 찾은 이주민들이 우리 사회에 잘 정착
할 수 있도록 ‘사회통합기금 제도’의 필요성을 가진다.

셋째, 탈제노포비아(dexenophobia)의 태도가 필요하다. 다문화사회를 

구성을 막는 장애요소중 하나인 이주민을 혐오하는 제노포비아의 태도에
서 벗어나려고 노력해야 한다. 우리사회가 다문화인들과 통합을 이루며 한 
사회를 구성하기 위해서는 반드시 탈제노포비아의 태도를 취해야 한다.

넷째, 인종주의적 우월성과 편향성에서 벗어나려는 노력이 필요하다. 

우리 민족의 단일민족에 따른 민족중심주의가 자칫 이주민에 대하여 우월


background image

159

성서에 나타난 이방인과 다문화에 대한 

현대적 이해와 적용에 관한 고찰┃박봉일

한 생각을 가지거나 편향된 인식을 갖는 태도는 다문화사회를 구성하는데 
있어 매우 부정적인 요소이다.

본 논고에서 정치, 경제, 사회, 문화, 법률을 비롯한 각 영역에 나타난 

실천의 미흡함이나 보완할 과제, 나아가 그 방향의 당위성을 일부 제안하
였지만 우리 사회에 여전히 존재하는 갈등은 다수 존재한다. 이들에 대한 
이유를 분석하고 현실적 대안을 구체적으로 모색하는 일은 향후 논의가 필
요하다.

 


background image

160 

지식과 교양 Vol. 13

참고문헌

교육부, “다문화 가정 교육지원계획(다문화 지원대책)”, 2006-2022년.
구본규, 「‘다문화’는 어떻게 이주민 가족을 비하하는 말이 되었나?」, 

『동북아 문화연구』 42권, 동북아시아문화학회, 2015, 5-34쪽.

김유정, 「결혼이주여성 체류 안정을 위한 법제 개선 방안」, 『강원법학』 

63권, 비교법학연구소,  2021, 35-85쪽.

김진희, 「한국 성인의 다문화 수용성 비판과 이주민에 대한 편향적 태

도 분석」, 『평생학습사회』 15권 2호, 미래원격교육연구원, 

2019.05.31, 127-153쪽.

김항년·고헌환, 「불법체류자 범죄에 대한 경찰권 행사의 법적 한계와 대

응 방안」, 『국가법연구』 16권3호, 사단법인 한국국가법학회, 

2020, 147-175쪽.

김현미, 『글로벌 시대의 문화 번역』, 또 하나의 문화, 2005, 23-24쪽.
김효준, 「다문화 기독교 종교교육의 과제와 전망」, 『장신논단』 41호, 

2011, 315-339쪽.

이용민, “세종 원어민 강사, 아동들에게 엽기 동영상 보여줘”, <대전일

보>, 2020.01.13.

대한예수교장로회총회전도부,『외국인 노동자 선교와 신학』, 한들, 

2000, 124쪽.

대한성서공회, http://kbs.bskorea.or.kr.
민경란, 「세계도시 서울의 외국인 밀집 거주지역의 공간분포 특성 연구: 

데니즌 공간 서래마을과 마지즌 공간 조선족 마을 비교분석」, 

건국대학교 석사학위논문, 2019.

박수인, 「한국교회가 직면하고 있는 외국인 근로자 선교전략」, 석사학

위논문, 총신대학교 선교대학원 석사학위논문, 2003, 10-20쪽.

법무부-출입국·외국인정책본부, “외국인 정책통계 월보”, 2023.05.
서덕희 저, 유네스코 아시아 태평양 국제이해교육원 편, 『다문화 사회의 


background image

161

성서에 나타난 이방인과 다문화에 대한 

현대적 이해와 적용에 관한 고찰┃박봉일

이해 - 4학년 7번 한성현을 만나다』, 동녘, 2008.

설동훈 저, 김영기 편, 「이민과 다문화 사회의 도래」, 『한국사회론』, 전

북대학교 출판부, 2005.

정인찬, 『성서대백과사전』, 기독지혜사, 1979, 181쪽.
소형근, 「역대기 역사서에 나타난 이방인 이해」, 『구약논단』 18권 2호, 

한국구약학회,  2012, 161-162쪽.

송정아, 「이주 배경 아동‧청소년의 학습권 보장을 위한 교육정책 분석 

및 제언」, 이화여자대학교 박사학위논문, 2021.

스트롱코드 히브리어사전, O.N.O, 2021.
신승범, 「다문화사회와 기독교 교육」, 『기독교교육정보』 43호, 한국기

독교교육정보학회, 2014, 185-208쪽.

엄한진, 「“전 지구적 맥락에서 본 다문화주의 이민 논의”, 동북아 다문

화 시대: 한국사회의 변화와 통합」, 한국사회학회·동북아시대

위원회, 2006, 45-75쪽.

연합뉴스, http://www.yna.co.kr.
오경석 외, 『한국에서의 다문화주의: 현실과 쟁점』, 한울아카데미, 

2007, 39-43쪽.

오현선 저, 유네스코 아시아 태평양 국제이해교육원 편, 『다문화 사회와 

국제이해 교육, 선망과 공포: 한국 사회 이주여성의 시선』, 동

녘, 2008, 167-198쪽.

왕대일, 「성서 연구: 나그네(게르)-구약신학적 이해」, 『신학사상』 113

권, 2001, 101-121쪽.

우택주, 「레위인의 사회적 기원과 제사장 역할의 재평가」, 『한국기독교

신학논총』 제58집, 한국기독교학회, 2008, 32-34쪽.

우택주, 「문학, 역사, 신학적 차원에서 본 구약성서의 다문화 현상」, 구

약논단, 26권 2호, 2020, 286쪽.

우택주, 『21세기 한국교회를 위한 구약 신학』, 침례신학대학교출판부, 

2020, 248-255쪽.


background image

162 

지식과 교양 Vol. 13

위키백과, https://ko.wikipedia.org/wiki/제노포비아.
이병렬, 「말씀과 신학: 구약강해; 게르(ger, 나그네)와 자르(zar, 타국인) 

-레위인(levi)은 어디에 속하는가?」, 『활천』 543권, 기독교대한

성결교회 활천사, 1999, 44쪽.

이샘물, “다문화 한국 10년”, <동아일보>, 2014.05.24, http://news.

donga.com/3/all/20140523/63718507/1.

일본 법무성 홈페이지, https://www.moj.go.jp/.
전경옥·홍태영·이유진·양기호·이규용·오성배·김영란·홍기원, 『다문화사

회 한국의 사회통합』, 이담북스, 2013, 176-179쪽.

정중호, 「고대 이스라엘 사회의 게르에 관한 연구」, 『한국사회과학연

구』 23권 1호, 계명대학교 사회과학연구소, 2004, 513쪽.

조석주·박지영, 「다문화사회 정착을 위한 지방자치단체의 이주민 정책

개선방안」, 『한국지방행정연구원 기본연구과제』, 한국지방행

정연구원, 2012, 7-8쪽.

조옥라·박재묵·설동훈·신광영·이송희·이은주·정민자·조은·조희금·최병

두, 「다문화 개방 사회를 위한 사회정책연구, 『빈부격차차별시

정위원회 연구과제보고서』, 빈부격차차별시정위원회, 2006.

최명민·이기영·김정진·최헌미, 『다문화사회복지론』, 학지사, 2019.
최영미, 「제노포비아 현상에 관한 연구」, 『다문화콘텐츠연구』 21권, 중

앙대학교 문화콘텐츠기술연구원, 2016, 109-144쪽.

하경택, 「구약성서의 관점에서 본 다문화 사회와 대응방안-<노크리>와 

<게르>에 대한 이해를 중심으로」, 『장신논단』 39호, 장로회신

학대학교, 2010, 61-88쪽.

한건수 저, 유네스코 아시아 태평양 국제이해교육원 편, 『다문화사회의 

이해, 국내 체류 이주노동자 자녀 및 청소년 이주민의 삶과 정

체성』, 동녘, 2008, 52-84쪽.

한경구·한건수, 「한국적 다문화사회의 이상과 현실: 순혈주의와 문명론

적 차별을 넘어」, 『한국사회학회 기타간행물』, 한국사회학회, 

2007.


background image

163

성서에 나타난 이방인과 다문화에 대한 

현대적 이해와 적용에 관한 고찰┃박봉일

한승준, 「우리나라 다문화정책의 거버넌스 분석」, 『한국행정학회 학술

발표논문집』, 한국행정학회, 2008, 113-115쪽.

한주희, 「초국가적 정체성 형성 과정으로서의 경험 – 데니즌(Denizen)

의 이주 경험과 초국가적 정체성 형성 가능성을 중심으로」, 『연

세학술논집』 43권, 연세대학교 대학원 총학생회, 2006, 105-

107쪽.

허경미, 「한국의 제노포비아 발현 및 대책에 관한 연구」, 『경찰학논총』 

9권 1호, 원광대학교 경찰학연구소, 2014, 233-259쪽.

홍규호, 「이민자 사회통합을 위한 복지지원 정책과 프로그램 평가와 미

래 과제」, 『한국이민학』 8권 2호, 한국이민학회, 2021, 199-

208쪽.

황향화, 「서울시 거주 이주민의 사회적 자본이 생활 만족도에 미치는 영

향」, 숙명여자대학교 석사학위논문, 2021.

Awabdy. M. A.,

 Immigrants and Innovative Law: Deuteronomy’s 

Theological and Social Vision for the

 גֵּיר, Tübingen: Mohr 

Siebeck, 2014, pp.110-116.

Berquist. J. L. 저, 우택주 옮김, 『페르시아 시대의 구약성서』, [Judaism 

in Persia’s Shadow, Minneapolis: Fotress

], 침례신학대학교출판부. 

(원저 1996년 출판), 2020.

Carter. R. T. & Jones J. M.,

 Racism and white racial identity mergings 

realities

. In B. P. Bowser & R. G. Hunt(Eds.), Impacts of 

Racism on White Americans. Thousand Oaks, CA: Sage, 

1996.

Cashmore. E., Dictionary of Race and Ethnic Relations.

 NY:  routledge,  

1996, p.289.

Chung. K. S., Lee. S. M., “Special Theme : Multicultural Society and 

the Identity of Migrants; Korean National Identity from a 

Comparative Perspective”. Comparative Korean Studies. 19-1, 

2011, pp.45-73.

Durham. J. I., Exodus. WBC(Waco, Texas: Books), 1987.


background image

164 

지식과 교양 Vol. 13

Gowan. D. E., Wealth and Poverty in the Old Testament: The Case of the 

Widow, the orphan, and the Sojourner

. Interpretation 41/4, 1987.

Kang. J. G., “A Study on the Anti-Multicultural Discourse of Korean 

Society With a focus on the Internet domain”, Humanities 

Research, 15, 2012, pp.7-37. 

Kang. J. G., “Critical Study on Discourse on Korean Society's Anti-

Multiculturalism”. Multi-cultural contents Study, 32, 2014, 

pp.5-34.

KCM

사전, http:/ kcm.co.kr/.

Kellermann. D., נָ

כְר und Deriv. ThWAT I, 1973.

Kidd. José E.

 Ramírez, Alterity and Identity in Israel, Berlin, New York: 

Walter de Gruyter, 115. 1999, pp.119-120.

Lang. B., נָכְר/nkr, ThWAT Ⅴ, COL, 1986, pp.454-459.

Lenski. G. E., Power and Privilege: A Theory of Social Stratification. 

Chapel Hill and London: The University of North Carolina 

Press, 1984, pp.289-295.

Lorenz. W.,

 For We are Strangers before Thee and Sojourners: 2 Chron. 

29:15. American Baptist Quarterly 9/4, 1990.

Lum. D., Culturally competent practice: A framework for understanding 

diverse groups and justice issues

. Belmont, CA:Brooks/Cole 

Thomson Learning. 2003, p.46.

Martin-Achard. R. nēkār, THAT I, p.67.

Sassen. S. 저, 남기범·이원호· 유환종·홍인옥 역, 『사스키아 사센의 세

계경제와 도시』, 푸른길, 2016, 96-105쪽.

Snijders. L. A. zārû, ThWAT II, pp.556-564.

Spina. F. A.

, Israelites as gērîm, ‘Sojourners,’ in Social and Historical 

Context, The Word of the Lord Shall Go Forth: Essays in Honor of 
David Noel Freedman in Celebration of His Sixtieth Birthday, eds


background image

165

성서에 나타난 이방인과 다문화에 대한 

현대적 이해와 적용에 관한 고찰┃박봉일

Meyers, Carol L. / O’Connor, M., Winona Lake: Eisenbrauns, 

1983, pp.321-335.

Vaux. R. de,

 Das Alte Testament und seine Lebensordnungen, Ⅰ, Herder. 

1962, p.124.

Wenham. G. J., The Book of Leviticus, NICOT(Grand Rapids: William B. 

Eerdmans. Publishing, 1979, pp.243-244.


background image

166 

지식과 교양 Vol. 13

❚국문초록

본 연구는 고대 이스라엘 민족과 함께 생활했던 이방인 개념의 <게

르>와 <노크리>에 대하여 성서의 최초 기록 언어의 언어적 개념 분석을 
통하여 이스라엘 백성들의 삶의 태도를 현대적 관점에서 이해하고, 이
주민의 삶을 살았던 우리 민족의 삶과 비교하여 우리 사회에 적용할 실
천 방안을 도출하는 데 목적이 있다. 이를 위해 우리나라의 다문화 상
황과 관련 법률, 지원 정책들을 살펴보고 <게르>와 <노크리>에게 취했
던 고대 이스라엘 민족의 인식과 태도를 성서적 관점에서 분석하여 우
리 민족의 삶과 비교하고, 이를 통하여 다문화사회를 살아가는 우리 사
회에 적용할 실천 방안으로 세 가지를 도출하였다. 첫째, <게르>가 우리
사회의 한 구성원으로서 역할자라는 인식이 필요하다. 둘째, 이주민들
이 정착할 수 있는 법적, 사회적 환경 조성이 필요하다. 셋째, 이주민에 
대하여 제노포비아(xenophobia)의 태도를 버려야 한다. 넷째, 인종주
의적 우월성과 편향성에서 벗어나려는 노력이 필요하다.

주제어 ● 게르, 노크리, 다문화, 이방인, 성서, 제노포비아


background image

167

성서에 나타난 이방인과 다문화에 대한 

현대적 이해와 적용에 관한 고찰┃박봉일

❚Abstract

A Study on the Modern Understanding and Application of 

Strangers and Multiculturalism in the Bible

Park, Bong Ill

/ Chungcheongnamdo Office of Education Safety Training Institute

The purpose of this study is to understand the attitude of Israelite lives 

from a modern perspective and to derive action plans to apply them to our 
society by analyzing the linguistic concepts of the first recorded language 
of <Ger> and <Nokri> in the Bible and comparing them to the lives of the 
Korean people. To this end, we examined Korea's multicultural situation, 
related laws, and support policies, analyzed the perceptions and an attitudes 
of the ancient Israeli people from a biblical point of view, compared them with 
the lives of our people, and derived three practical measures to apply to our 
society living in a multicultural society. First, it is necessary to recognize that 
<Ger> is a role player as a member of our society. Second, it is necessary to 
create a legal, religious, and social environment for migrants to settle down. 
Third, it is necessary to abandon the xenophobic attitude toward migrants. 
Fourth, efforts to escape racist superiority and bias are needed. 

Keyword ● Ger, Nokri, Multiculturalism, Strangers, Bible, Xenophobia

❙논문투고일:2023.10.19.❙심사완료일:2023.11.27.❙게재확정일:2023.11.28.❙


background image

background image

169

정동진독립영화제의 

상상력 구조와 의미에 대한 연구

1. 서론

본고는 2023년 제25회 정동진독립영화제에서 상영된 영화의 상상력 

구조에 대해 고찰한다. 이번 영화제에는 단편영화 19편, 장편영화 1편, 영
화제 제작지원작 1편 등 모두 22편의 영화가 상영되었다. 이 작품들 중에서 
상상력 구조를 확인하기 쉬우면서 서사구조가 분명한 7개 작품을 대상으
로 고찰한다. 인간의 무의식이 언어로 구조화 되었다거나 리비도로 구조화 
되었다는 설명처럼 이번 정동진독립영화제에 출품된 작품들을 생성한 상
상력은 어떤 요소들이 핵심을 이루는가에 대해 살펴보는 것이다.

영상예술은 문화의 중요한 구성요소이며 일반인들도 간단한 영상기기

로 영상을 제작하며, 이를 인터넷에 올리거나 동호회에서 상영하여 의견을 

심 상 교*

1. 서론
2. 본론

1) 상상력의 구조와 서사 
2) 역설의 의미 
3) 인간통찰의 의미

4. 결론

목  차

https://doi.org/10.54698/kl.2023.13.169

* 부산교육대학교 국어교육과 교수


background image

170 

지식과 교양 Vol. 13

교환하는 경우가 적지 않다. 시대의 흐름을 첨예하게 반영하는 영역이 영
상이기도 하다. 이에 영상에 대한 접근과 이해 폭을 더 넓히며 영상의 교육
적 활용 등을 더 활발히 준비하기 위해 생활 속에 들어 온 영상의 의미를 살
피기 위해서는 거대 도시가 아닌 인구가 적은 지역에서 진행되는 영화제를 
살펴보는 것이 의의가 있는 일일 것이다. 음악영화, 산악영화 같이 특정 주
제를 가진 지방영화제도 있고, 작은 마을의 소규모 영화제가 세계적 영화
제가 될 수도 있다. 하지만 정동진독립영화제는 현재, 특정 주제의 영화제
를 표방하지 않으며 세계적 영화제가 되겠다는 목표를 드러낸 바도 없다. 
작은 마을의 의미 있는 영화제를 지향할 뿐이다. 이 지향은 의미 있는 것이
다. 이 지향의 의미를 더하고 정동진독립영화제의 미래를 위해 현재의 상
영작들을 분석하고 그 의의를 고찰하는 것이다.

정동진독립영화제(이하, 영화제)는 1999년에 시작되어 2023년 올해 25

회영화제가 되었다. 영화제는 정동진초등학교에서 8월 첫 주 주말 밤에 2
박 3일간 개최된다. 초등학교에서 개최되지만 초등학생을 위한 혹은 가족
을 위한 특별프로그램이 마련되어 있는 것은 아니다. 출품작 중에서 선별
된 작품을 상영하는 것을 원칙으로 하는 영화제다. 올해는 1015편이 출품
되었고 그 중에서 심사위원들이 선정한 22개 작품이 상영되었다. 비가 오
는 경우는 실내에서 영화를 상영 하지만 그렇지 않으면 정동초등학교 운동
장 즉 야외에서 영화를 상영한다. 야외상영을 하기 때문에 영화제 개관시
간이 저녁 8시이고 밤 12시 너머까지 상영1)이 이어진다.

출품자격2)은 대한민국 국적을 가진 연출자이며 1년 이상 국내 거주한 

외국인이나 동포도 작품을 출품할 수 있다. 영화제의 역사 및 지향, 공모대
상, 기간, 제작지원 등은 영화제 홈페이지에 들어가면 확인할 수 있다. 작품 

1) 2023년 영화제에 찾아 온 관객 수는 8,147명이었다고 한다.
2) 출품자격, 주제, 각종 프로그램 등등은 정동진독립영화제 홈페이지에 자세히 나

와 있다.


background image

171

정동진독립영화제의 상상력 구조와 의미에 대한 연구┃심상교

선정 기준은 독립영화제가 표방하는 일반적 기준과 크게 다르지 않다. ‘다
른 시선, 다른 취향, 다른 경험으로 우열이 아닌 다름의 가치를 중시하고 우
리 사회가 직면한 현실을 다양한 주제와 소재의 변주를 통해 다루고 질문
하는 작품들 속에서 보다 다르게 자신만의 세계를 구축하려는 용감한 창작
자들의 결과물이나 전 세대를 관통하는 돌봄과 주거, 일자리, 결혼과 이혼, 
출산과 육아, 가부장, 가정과 학교폭력 등의 다양한 문제를 새로운 장르적 
형태와 전복된 시선, 사려깊은 태도가 구현된 작품’을 기준으로 출품작을 
선정한다.

특별 프로그램으로 관객들이 본 영화에 대한 선호를 바탕으로 관객이 

통에 투여한 돈을 상금으로 주는 ‘땡그랑동전상’,3) 영화제 직후 1년 후에 발
송되는 편지쓰기 프로그램인 ‘별밤우체국’ 등이 있다. 역시 관련 내용은 영
화제 홈페이지에 자세히 나와있다.

이번 영화제에서 공통적으로 나타난 대표적 상상력 구조는 역설과 인

간통찰이었다. 그 근저에는 인간애와 가족 사랑이 자리 잡고 있었다. 이런 
특성이 영화제가 기획한 것은 아니고 이런 주제를 영화제를 관통하는 주제
로 추구하는 것도 아니다. 그래서 역설과 인간통찰의 특성은 이번 영화제
에 출품된 작품들 중에서 우연히 나타난 공통 특성이라고 볼 수 있다.

영화제에서 상영된 작품들의 상상력 구조를 확인하기 위해 고찰 대상

으로 선정한 작품은 대체로 서사구조가 분명하였다. 서사구조가 분명하면 
서사구조를 드러내는 상상력 구조를 확인하기가 더 용이하다. 내용파악이 
쉬우면 주제 확인도 어렵지 않게 된다. 내용과 주제가 분명하면 이를 표현
하기 위한 과정 즉 내용과 주제 표현을 위한 상상력도 확인이 쉬워지기 때
문이다. 서사구조가 분명하다고 작품의 완성도가 높은 것은 아니다. 다만, 

3) 영화제의 유일한 상이다. 당일 본 작품 중에서 선호되는 작품이름이 적힌 통에 관

객들이 돈을 투여하여 제일 많은 돈이 투여된 작품이 땡그랑동전상을 받는다. 통

에 투여된 돈은 몇 만 원에서 몇 십만 원 정도다.


background image

172 

지식과 교양 Vol. 13

영화제에 출품된 작품의 특성을 분석하기 위한 기준을 상상력 구조로 하였
기에 서사구조 분명 여부를 고찰 대상의 기준으로 삼은 것이다. 서사구조
가 분명치 않으면 작품을 소개하는 사람이 작품에 대한 해석을 많이 하게 
된다. 해석이 많이 들어간 작품을 소개하게 되면 작품을 객관적으로 건조
하게 전달하기 어렵게 되어 원작을 훼손할 우려가 있어 서사구조가 분명한 
작품을 우선 하였다. 그리고 서사구조가 분명하더라도 해석이 다양할 수 
있는 것보다 해석이 다소 분명해 보이는 것을 우선하였다. 역시 원작 훼손
을 최대한 방지하기 위함이었다.

영화제에 대한 기존의 연구4)는 소략하다. 4편 정도의 리뷰가 있는데 

2-5쪽 정도 길이로 내용은 영화제 소개와 영화제에 참석했던 관람후기나 
인상적 내용을 소략하게 적은 글들이다.

2. 본론

1) 상상력의 구조와 서사

영화제에서 상영된 작품의 상상력은 대개 역설과 인간통찰로 구조화 

되었다. 특히, 본고의 고찰 대상 작품들은 뚜렷한 서사구조에 역설과 인간
통찰을 더 분명하게 녹여냈다. 본고에서 살펴볼 작품은 역설과 관련되어 <
수능을 치려면>, <더 납작 엎드릴게요>, <파지>, <엄마극혐> 등이었고 인
간통찰과 관련되어 <너와 나>, <자르고 붙이기> 등이다.

4) 박광수, 「어쩌면 독립영화!-한국독립영화협회 창립 10주년과 정동진독립영화제 

10주년, 󰡔독립영화󰡕 36집, 한국독립영화협회, 2008.

편집부, 「별이 지는 하늘, 영화가 뜨는 바다-제4회 정동진독립영화제」, 󰡔독립영

화󰡕 13집, 한국독립영화협회, 2002.

문창현, 「뜨거웠던 여름날의 기억」, 󰡔오늘의 문예비평󰡕 111집, 오늘의 문예비평,

2018.

김은혜, 「대한민국 축제, 살아있네~:크리에이티브 라이프」, 󰡔케이콘텐츠󰡕 7·8합

집, 한국콘텐츠진흥원 2013.


background image

173

정동진독립영화제의 상상력 구조와 의미에 대한 연구┃심상교

상상력은 무의식에 가깝다.5) 상상력에 촉발의 자극이 주어지기 전까지 

작동의 느낌을 전혀 감지할 수 없다. 그런데 작동의 촉발이 주어지면 예상
치 못한 의외의 여러 상상들이 난무하게 된다. 경험은 했으나 잊었던 것들
이 전혀 예상치 못한 상황에서 활동하고 그 활동에 놀라며 과거 경험을 떠
올릴 때 무의식 세계를 인식하게 된다. 상상력이 어떤 면에서 무의식의 작
동과 비슷한 점이 있는 것이다. 무의식은 지나온 경험이 구조화 되어 있는 
것으로 볼 수 있는데 경험을 구조화하는 근간은 언어라고 할 수 있다. 사고
를 언어로 하고 경험 내용을 파악하고 정리할 수 있는 것이 언어이기 때문
이다. 무의식을 이루는 경험의 근간을 리비도로 볼 수도 있다. 태어나면부
터의 경험과 인간 본능적 측면을 고려하면 리비도는 무의식을 움직이는 거
대한 자장이 될 수 있다. 상상력은 이처럼 인간의 넓은 정신세계에 근거하
고 있다.

그런 점에서 상상력은 담긴 것의 범위는 넓고, 양은 많아 그 실체를 알

기 어려운 정신적 기의를 이해할 수 있는 기표로 표상하고 조직하는 것이
라고 할 수 있다. 여러 생각과 의미들이 상상력으로 발동된다 하더라도 구
체화된 단어나 형상물로 기표화 될 때 상상력의 작동을 확인하게 된다. 때
문에 수많은 기의를 담지한 기표가 상상력의 결과라고 할 수 있으며 정합
적이고 의미 있는 경험, 인식과 언어를 새롭게 생성하고 연결하는 기회를 
갖게 된다. 상상력이 만들어 낸 기표는 경험의 자의성이나 혼란을 피할 수 
있게 하며 지각적 입력들을 의외의 입력들과 연결하여 새로운 상황도 창출
하고 내면에 존속하고 있던 기억들을 새롭게 경험한다. 이러한 작동들을 
통해 상상력은 우리 의식에 어떤 통일성을 구성한다.

통일성 구성 과정에는 근저에서 언어가 작동되며 기의 기표가 매개하

여 드러나게 되는데 그 연결고리는 은유와 환유라고 할 수 있다. 은유는 단

5) 존슨 저, 노양진 역, 「마음 속의 몸」, 철학과 현실사, 2000, 302-305쪽.


background image

174 

지식과 교양 Vol. 13

어대체를 통한 의미 확장을 주로 의도하지만 단어만이 아니라 서술어나 내
포문장 대체를 통한 의미 확장도 은유의 일상이 되었다. 한편으로 은유는 
주로 수사법 표현방식으로 이해되었으나 더 나아가면 작품을 이해하는 해
석이론으로도 활용될 수 있다. 작품이 갖고 있는 의미를 파악하는 과정에
서 작품이 의도한 주제를 여러 관점으로 가성하여 대상 작품의 의도를 파
악해 나갈 수 있다. 여러 주제를 설정할 때 은유를 활용하는 것이다. 비슷
한 주제를 여러 가지로 설정할 때 같은 의미나 유사한 의미이지만 다른 성
격을 찾아 계열화하여 즉 은유화하여 대상작품의 주제를 바르게 해석하는 
근거를 확정할 수 있는 것이다. 정합적이고 패턴화된 언어작용을 확인하고 
그런 언어를 서로 연결하는 작업방식을 통해 대상작품이 갖고 있는 주제를 
확인할 수 있다. 즉, 작품이 갖고 있는 의미를 해석할 때 은유를 활용할 수 
있는 것이다.

그런 점에서 은유는 다양한 의미를 만드는 것이다. 의미의 확산에 은유

가 사용될 수 있는 것이다. 환유는 구체화다. 좁힘이다. 다양한 표현방식을 
갖지만 분명한 의미를 확인하기 위해 환유가 활용된다고 볼 수 있다.

‘은유는 크게 두 가지 차원에서 개념 규정이 된다. 하나는 단어의 장식

성이고 다른 하나는 대상의 개념화이다.’6) 장식성은 언어의 쓰임을 풍부하
게 하는 것으로 이 과정에 표현의 다양함이 추구된다. ‘대상에 대한 개념화
는 인간의 사고작용과 관련되는데 대상을 인식하고 설명하는 방식의 독특
함을 의미한다.’7)

‘환유는 의미의 장식성과 문장성분의 정합적 관계에서 규정된다.’8) 은

6) G 레이코프· M 존슨 저, 노양진·나익주 역, 『삶으로서의 은유』, 서광사, 1995, 

43-48쪽.

7) 심상교, 「은유·환유·몸의 개념과 연극적 활용에 대한 연구」, 『교육연극학』 13권 2

호, 한국 교육연극학회, 2021, 183-187쪽.

8) 위의 논문, 183-187쪽.


background image

175

정동진독립영화제의 상상력 구조와 의미에 대한 연구┃심상교

유가 단어의 장식성과 관계되는데 환유의 의미의 장식성과 관계 된다. ‘장
식을 위해 대상을 개념화라는 관점도 비슷하다. 문장의 연결 관계를 중시
하는 측면은 서로 변별된다.’9) 

의미의 장식성이란 문장의 의미를 다양하게 하려는 의도를 말한다. 은

유는 의미를 전달하기 위한 표현 속에서 의미의 연결을 위한 단어와 관련
되는 점에서 시니피앙과 관련되고, 환유는 의미의 전달을 위한 표현 속에
서 의미의 연결을 위해 단어보다 의미의 연결과 더 관련되는 점에서 시니
피에와 관련된다. 은유와 환유는 결핍에서 출발한다. 내가 표현하려는 내
용에 뭔가 부족한 것이 있어 더 나은 표현을 찾으려는 노력의 결과이기 때
문이다. 은유와 환유가 수직과 수평, 계열과 통합, 유사와 인접성의 결합으
로 새로운 세계를 만드는 것인데 이를 작동시키는 것이 상상력이다.

이번 영화제에서는 인간애와 가족 사랑을 근저로 한 역설과 인간통찰

이 상상력의 구조를 형성하였다. 대부분의 예술장르가 그렇듯이 영화도 사
회현상을 작품에 담게 된다. 인간 삶의 본질을 밝혀내려는 노력이 예술이 
집중하는 부분인데 예술에 그려지는 것은 대개 현상이다. 사회는 인간에게 
독과 약을 모두 제공한다. 사회없이 인간은 살아갈 수 없으면서 사회 때문
에 인간은 파괴되어 가고 사회가 인간을 고통스럽게 한다고 인식한다. 이
러한 대조적 인식은 예술에 그대로 반영된다. 사회에 희생되는 모습을 통
해 사회를 비판하기도 하고 사회적 난관을 극복하는 모습을 통해 인간 삶
의 긍정적 모습을 드러내는 경우도 있다.

대조적 인식은 대립과 갈등으로 작품에 반영되는 경우가 많다. 실제로 

인간 삶은 대립과 갈등으로 점철된다. 작품은 인간 삶이 반영되어 있다. 때
문에 작품 속 등장인물들은 서로 대척점에 위치하여 대립하고 갈등한다. 
대립과 갈등은 서사구조를 형성하는 기본요소이다. 서사가 형성되기 위해

9) 위의 논문, 183-187쪽.


background image

176 

지식과 교양 Vol. 13

서는 사건이 전개되어 하는데 사건을 전개시키는 가장 기본적 속성이 대립
과 갈등인 것이다. 사건에는 의미가 부여된다. 대립과 갈등이 원인이 되어 
일어나는 일과 대립과 갈등으로 결과 되는 일은 인간 삶 속에 무수히 일어
난다. 상황과 상황의 대립과 갈등이 인간에게 전이되어 생기는 일도 있다. 
이런 일들은 사건이 된다. 단지 일어난 일은 사실이고 여기에 의미가 부여
되면 사건이 된다. 사건들이 서사를 형성하여 작품 속에 들어온다. 일상 속
에서도 사건은 일어나지만 작품 속에서의 사건은 더 흥미롭다.

이번 영화제에서 상영된 작품들은 사건들을 역설적으로 보여주거나 인

간에 대한 통찰을 담는 방식으로 만들어졌다. 역설이나 인간통찰은 예술작
품의 흔한 주제다. 예술이 인간 삶에 근거하기에 인간에 대한 통찰과 인간 
삶의 역설적 모습을 담지 않을 수 없기 때문이다. 인간 삶의 양면적 요소를 
예술작품이 그대로 담아내는 것이다.

역설은 완전함을 위해 불완전함을 보여주는 것이라고 할 수 있다. 조화

를 위해 부조화를 활용하는 것이라고도 할 수 있다. 대비되는 두 요소의 대
조적 모습을 활용하는 것이 역설이기도 하다. 사회없이, 인간없이 살아갈 
수 없으면서 사회와 인간을 인간의 적으로 바라보는 역설적 요소는 인간에
게 그리고 인간사회에 너무나 흔한 것이다. 이런 특성이 예술작품에 그대
로 반영된다. 사건은 그 자체로도 의미를 갖지만 다른 사건이나 특정 맥락
과 만나면서 의미를 형성하는 경우가 많다.

어떤 사실이나 일에 의미가 부여되면 사건이 된다. 의미가 사건에 개입

되는 과정은 지속적 접촉이고 이 접촉은 계열화로 이어진다. 물건이 없어
진 사실을 확인했을 경우 ‘왜 없어졌는지’, ‘누가 가져갔는지’ 등으로 의미
부여가 일어나고 지속적 의미부여는 사건들의 연쇄를 동반하여 첫 사건에 
연쇄되는 계열화 과정을 거쳐 사건은 서사화 된다. 이 과정에 생성과 차이
를 반복하면서 역설이 일어나는 것이다. 


background image

177

정동진독립영화제의 상상력 구조와 의미에 대한 연구┃심상교

인간에 대한 통찰은 비극적 인식과도 관련되는데 비극적 인식의 인간

의 이성적 사유가 어그러질 때 발생하는 것으로 받아들인다. 인간의 이성
적 사유는 보이지 않는 절대세계를 찾는 것과 관련된다. 인간들은 이데아
라고 하는 형상이 있다고 생각한다. 보이지 않는 실재세계가 바로 형상 혹
은 실체를 이루는데 인간들은 형상과 실체를 갖고자 하는 것이다. 현실에
서 우리가 실제로 보고 느끼는 것은 형상이나 실체가 아니고 가상이나 현
상이 되는 것이다. 인간은 가상이나 현상 속에서 살아가지만 그에 만족하
지 않고 절대적 미적 세계를 추구하는 것이다. 미적 세계는 미 하나만으로 
구성되지 않고 진선미가 합일된 보편적 생각 속에 존재한다고 생각한다. 
인간이 추구하는 미적 세계가 그 보편적 생각 속에 있다고 생각하면서 그 
안에서의 미적 세계만이 온전한 것으로 생각하는 것이다. 인간 대개의 삶
과 가치는 이러한 보편적 생각과는 동떨어진 현실의 미적 세계에 존재한
다. 이러한 사고작용이 원하는 대로 추구하는 대로 진행될 때는 문제가 없
는데 어그러질 때 인간의 존재 한계를 보게 된고 삶의 괴리를 느껴서 비극
적 인식을 갖게 되는 것이다. 인간통찰이 어그러질 수밖에 없음에도 이 어
그러짐을 볼 때 인간들은 인간 삶에서 비극적 세계를 보는 것이다.

대조되는 인식과 비극적 인식은 인간과 그 삶을 설명하는 중요관점이

다. 즉, 인간과 그 삶은 나눠져 있다는 점이다. 이 나눠져 있는 것을 인간은 
서로 화합하려고 하지 않는다. 표면적으로는 화합을 지향하는 것 같지만 
인간은 쉼없이 대립하고 갈등한다. 이 쉼없도록 부추기는 것이 인간 내면
이다. 이 부추김의 나열이 서사라고 할 수 있다. 인간애와 가족 사랑도 표면
적으로는 화합지향이지만 그 내면에는 다양한 서사가 있고 그 서사는 은유
나 환유같은 방법이 적용되어 전개되는 것이다.


background image

178 

지식과 교양 Vol. 13

2) 역설의 의미

(1) 〈수능을 치려면 (Drive with Zombies)
〈수능을 치려면 (Drive with Zombies)〉10)은 역설적 상황으로 인간 삶을 

설명한다. 등장인물들의 갈등은 수능을 보느냐 마느냐와 관련된다. 원수를 
갚으면 엄마가 외로워지고 원수를 갚지 않으면 아버지가 초라해 지는 상황
을 맞은 햄릿의 갈등만큼 등장인물들의 내적 괴로움이 이 작품에 드러난
다.

5명의 여학생들이 학원봉고차를 타고 수능을 치르기 위해 출발한다. 이 

여학생들은 늘 이 봉고차를 타고 등교를 한 인물들이다. 배경은 한적한 시
골이다. 학원 차 운전자는 남자다. 한 여학생은 집에서 재수불가라는 엄명
을 받고 학원차를 타고 수능장으로 향한다. 수능장 가는 과정에 재수불가 
상황을 계속 떠올리고 위험한 상황에도 수능을 보느냐 마느냐 갈등되는 상
황에서도 반복해서 반추된다. 

수능날 아침, 수능시험보기 전 명상하고 이들을 격려하는 언론의 보도

도 있다. 그런데 좀비가 나타나서 사회를 어지럽히기 시작한 시점이다. 좀
비는 실제로 거리 곳곳에 나타나 5명의 수험생이 수능장으로 가는 학원봉
고차에도 달려 들어 수능고사장행을 방해한다. 좀비는 수능방해세력이거
나 수능을 보기 싫어하는 사람들에게는 선물같은 핑계거리다. 내가 내일을 
할 수 있는 충분한 힘이 있다.

좀비가 전국적으로 출현하고 있다는 긴급 뉴스가 나오는 등의 비상상

황에서도 수능은 예정대로 시행된다. 같은 학원차를 타고 다니는 여고생들
은 학원차 기사의 안내로 등교하듯이 수능장으로 향한다. 여고생들만으로 
구성되 수험생들은 평소 습관대로 집을 나서고 차안에서의 대화도 평소 성
격을 그대로를 보여준다. 그런 상황에 자동차 밖에서는 좀비가 차창을 두
10) <수능을 치려면 (Drive with Zombies)>, 김선빈.


background image

179

정동진독립영화제의 상상력 구조와 의미에 대한 연구┃심상교

드리기도 한다. 학원차 기사는 좀비가 차 밑에 깔렸는지를 확인하려다가 
좀비에게 물려 좀비가 된다.

운전기사를 잃은 학원 차, 운전경험이 없는 수험생 중의 한 명이 수능을 

포기할 수 없다며 운전대를 잡는다. 제일 늦게 탑승하는 친구 집 앞에도 좀
비가 수험생들을 노린다. 좀비가 닫히는 학원 차에 매달려 수험생들의 공
포는 극에 달하지만 가까스로 문을 닫은 학원 차는 천신만고 끝에 수험장
에 도달하고, 체온검사 등 좀비 가능성이 있는지 등의 검사를 마친 수험생
들은 수험장에 입실하여 수능을 치르기 시작한다. 좀비들은 수험장 학교 
교문을 뚫고 드디어 수험장 교실 창문에까지 도달하여 수험장 교실 창문을 
두드린다. 이런 상황에서도 수능중지는 없다. 이 정도 되면 수능 치르는 정
상적 인간도 좀비나 다름없다. 수능이 모든 사람을 좀비처럼 만든 것이다. 
하지만 재수는 없다면서 운전면허도 없이 학원차를 몰아 학교까지 도착한 
수능절박녀는 결국 수능을 포기한다. 수능이 아니라도 나를 실현할 수 있
는 것이 있음을 자각했다는 점을 선언하는 것이다.

이 영화에서 흥미로운 것은 좀비가 차창을 두드리는 위급함 속에서도 

수능은 예정대로 시행된다는 점이다. 수능장 오는 과정에서도 좀비가 횡행
하여 긴급뉴스가 되는데 피흘리는 좀비가 수능장 창문을 두드리는 상황에
서도 시험 중지는 일어나지 않는다. 사람이 피를 흘리며 비정상적 움직임
을 보이며 흐느적거리는 상황이 전개되는 중에도 수능은 예정대로 시행되
는 점이 인간 사회의 현실을 역설적으로 보여주는 것이다. 수험생도 국가
도 수능을 포기하지 않는다. 수능이 사람들의 정신세계를 황폐화시키고 있
음을 드러낸 영화다. 하지만 수능은 교육과 관련되며 교육은 누구도 포기
할 수 없는 가치다. 수능은 인간에게 정신적 피해를 주기도 하지만 인간에
게 많은 혜택을 주는 근원이기도 하다. 좀비화를 통해 피해를 보여 주었고 
수능을 포기하지 않는 집념을 통해 혜택을 보여 주었다. 인간과 인간 삶의 


background image

180 

지식과 교양 Vol. 13

모습을 역설적으로 잘 드러낸 영화였다.

(2) 〈더 납작 엎드릴게요 (will you please stop, please)〉
〈더 납작 엎드릴게요 (will you please stop, please)〉11)는 동명의 에세

이를 바탕으로 제작된 영화이다. 낮과 밤이 있고 남자와 여자가 있듯이 세
상에는 어느 하나만 있는 것이 아니라 상반된 것들로 구성되어 조화를 이
루고 있다는 점을 이 영화는 보여준다. 역설적 인간행동을 통해 인간의 진
실 된 모습을 바라보게 한다. 인간 내면에 그리고 인간의 삶에 내재한 묘한 
이중성인 긍정과 부정, 큰 것과 작은 것, 고통과 기쁨 등이 나름 균등하게 
배치되어 있음을 인식케 하는 영화다. 이 영화는 <정글 아니, 사찰 라이프>, 
<번뇌의 시그널>, <달마가 내게 온 까닭>, <온종일 일하고도 아무것 도 하
지 않은 기분> 이렇게 4개의 에피소드로 구성되어 있는데 네 번째 에피소
드가 상반된 두 요소로 조화된 삶을 표현한 것이다.

큰 절에 소속되었으며 불교 관련 서적을 간행하는 출판사의 막내 사원

이 주인공이다. 출판사라는 곳은 기본적으로 정신세계를 다루는 직장이기 
때문에 합리적이고 나름 공평무사하며 지적 토론이 무성한 곳이다. 이 영
화속 출판사도 일반적 출판사의 모습을 닮았다. 하지만 출판사도 하나의 
회사다. 회사라는 곳은 이익을 남겨야 하고 한국의 일반적 문화습속을 반
영하고 있다. 이익과 일반적 문화 습속은 지적 토론과 합리적 사고 작용에 
우선한다. 막내는 선배들의 심부름을 해야 하고 선배들의 이야기를 거역하
면 안 된다. 출판사 직원들도 배는 고파 점심 메뉴에 갈등하고 직원간의 갈
등도 없지 않아 보이지 않는 긴장이 연출되기도 한다. 선배가 지시한 내용
이 틀렸을 경우 선배는 지시를 부인하고 후배는 지시가 없었던 것으로 하
는 한국의 우격다짐 선배 갑질도 나타난다. 출판사 내의 정점갈등은 절에 
시주를 많이 한다고 주장하는 여자보살의 용맹갑질이 원인이 되어 나타난

11) 〈더 납작 엎드릴게요 (will you please stop, please)〉, 김은영.


background image

181

정동진독립영화제의 상상력 구조와 의미에 대한 연구┃심상교

다. 이 여자보살은 출판사의 월간지에 글을 싣고자 큰 스님의 영향력을 활
용한다. 마감이 지났지만 이 보살의 글은 게재된다. 그런데 이 보살은 자신
의 원고가 허락없이 고쳐졌다고 화를 낸다. 잘못된 불교지식을 수정했던 
것인데 자신의 무지한 불교지식이 드러나자 무안함보다는 뻔뻔함을 작동
시켜 출판사 직원들을 더 괴롭힌다. 이러한 일상의 연속 속에 포교를 위한 
큰 스님의 행동도 고민을 던져 준다. 큰 스님의 행동은 불교를 위한 종교적 
성격을 내포하였지만 스님이 아닌 출판사 직원들의 알량한 한 인간에게는 
고행을 주는 억압이 되기도 한다.

주인공인 출판사 막내의 괴로움은 번뇌의 108배 같은 행동을 견딜 수 

없는 지루함과 육체적 피곤함으로 인식하는 장면에서 잘 나타난다. 신성한 
대웅전 안에서의 108배가 지루함과 고통의 의례로 인식하는 모습에서 삶
의 괴로움이 표현되지만 대웅전 외벽의 다정한 색깔과 단청의 모습에서 조
화와 다시 삶의 에너지를 얻게 하는 모습에서 평온과 응원에 이미 젖어 있
구나 하는 점을 느끼게 한다. 살아지는 삶에서 사는 삶으로 치환하는 것 또
한 외부에서 오는 것임을 알게하여 소통이 아픔도 주지만 힘도 주는 것이
라는 소통의 이중성을 잘 느끼게 해 준다.

(3) 〈엄마 극혐 (My Annoying mother)〉
〈엄마 극혐 (My Annoying mother)〉12)은 사랑과 격려가 만발한 엄마와 

딸 사이의 티격태격이 담긴 작품이다. 모녀는 서로를 지극히 사랑한다. 그
런데 미워하는 듯 상반된 행동을 통해 사랑을 표현한다. 역설적 상황을 통
해 서로를 걱정하고 애정하는 것이다. 걱정과 애정을 더 가치롭게 하고자 
서로를 타박한다. 타박도 격려와 사랑의 결과이다. 극혐단계에 이른 타박
도 있지만 결별을 위한 명분을 쌓고자 극혐을 드러내는 것이 아니다.

딸 가영은 7년째 영화감독으로 살고 있으나 히트작도 뚜렷한 성과도 보

12) 〈엄마 극혐 (My Annoying mother)〉, 이혜지.


background image

182 

지식과 교양 Vol. 13

이지 못하고 있다. 엄마는 이런 딸을 마음 속으로 응원하지만 감독으로서 
우뚝서기를 바라는 마음에 질타하고 비판적 응원자가 되어 티격태격한다.

가영은 엄마를 욕하는 내용의 영화를 찍기로 하는데, 아이러니하게도 

그런 가영을 돕는 사람은 엄마뿐이다. 세상에서 가장 사랑하지만, 가장 많
이 싸우기도 하는 엄마라는 존재에 대해 한 번쯤은 이야기해 보고 싶었던 
것이다. 서로를 이해하진 못해도 인정할 수 있는 관계라고 생각하며 만들
었다.

‘돈도 안 되고, 재능도 없는 영화과를 7년 동안 다니는 딸을 볼 때마다 

엄마는 속이 뒤집힌다. 뭔 놈의 영화를 누리겠다고.... 그런 엄마가 지긋지
긋한 가영은 엄마와 자신의 이야기로 졸업 영화를 만들고자 하는데, 장마 
탓에 촬영은 자꾸만 취소된 다. 비가 그친 어느 날, 급하게 촬영을 재개하지
만 도와줄 사람이 없다. 그런 가영 을 위해 달려와 주는 오직 한 사람, 바로 
엄마다. 가영은 엄마를 스텝으로 하여 촬영 한다.’13)

영화촬영을 끝냈다. 그 작품이 성공작이 되고 히트작이 되는가 하는 점

에는 초점이 없다. 가족애를 확인하고 서로 격려하고 애정을 나누는 가족 
관계를 확인하는 것이 중요하였기 때문이다. 이런 가족관계는 일상에서 흔
한 모습일 것 같지만 그런 가족모습이 간절하다는 점을 이 영화는 보여준
다. 많은 것은 대체로 가치가 떨어진다. 그러나 흔한 것이라도 매우 소중한 
가치를 지니는 것이 가족애라는 점을 보여주는 것이다.

(4) 〈파지 (useless)〉
〈파지 (useless)〉14)는 상황과 신뢰를 이용하여 상대방을 속여 신뢰가 깨

어지는 내용을 다뤘다. 고물상에서 일어나는 사건으로 구성되었다. 폐지나 

13) 『제25회 정동진독립영화제』(안내책자), 정동진독립영화제집행위원회, 2023, 51

쪽.

14) 〈파지 (useless)〉, 고광준


background image

183

정동진독립영화제의 상상력 구조와 의미에 대한 연구┃심상교

파지를 모아 고물상에 파는 사람이 있다. 이 사람은 1톤 봉고트럭에 파지
를 가져다 고물상에 넘긴다. 고물상에는 차체를 그대로 올리는 저울이 있
다. 고물상 주인은 차가 저울에 올라왔을 때의 무게와 파지를 모두 바닥에 
내린 후의 무게를 비교하여 돈을 지불한다. 봉고트럭 짐칸에 높게 화물유
실 방지를 위해 덧대를 올렸다. 차 외부에서 차를 바라보면 짐칸 안이 보이
지 않는 것이다. 파지 수거자는 이를 이용하여 짐칸 안에 사람 3명을 태운
다. 고물상 사장이 짐칸 안을 확인하지 않는 습성을 이용한 것이다. 짐칸 안
의 사람 무게 만큼 파지 무게가 더 나가는 것이다. 파지 수거자는 자신이 수
거한 파지의 실제무게에 사람 세 명의 무게를 더한 파지값을 받는 것이다. 
파지를 모두 바닥에 던질 때 짐칸 안에 있던 사람 3명은 고물상 사장 몰래 
급히 짐칸에서 하차하여 고물상 밖으로 피한다. 파지수거자가 이런 사기행
각을 반복하다가 고물상 사장한데 발각된다. 믿음의 역설이 나타난 작품이
다.

사건이란 사실에 의미를 부여하여 생기는 것이기도 하고 사실들이 서

로 부딪쳐 생성되기도 한다. 두 사람이 만났는데 다툼이 발생하면 이 다툼
은 만남 이상의 사건으로 연결된다. 사건이란 것이 사실의 내면과 내면이 
충돌하고 이 충돌이 다른 사건의 원인이 되게 하여 사건이 발생하는 것이
다. 충돌의 연쇄가 사건을 만드는 것이다. 충돌의 연쇄 속에서 사건이 생성
되고 증식되는 것이다. 이러한 충돌의 연쇄는 일시적인 것이다. 일시적이
지만 그 충돌의 의미를 확정짓기 때문에 사건이 전개되는 것이다.

따라서 충돌의 연쇄는 사실 속에 잠재되어 있다가 현실화 되면서 모습

을 드러낸다. 사실의 충돌이 일어나면 내면이 드러나게 되고 본질이 올라
오게 된다. 인간의 본래적 속성이 드러나는 것이다. 사실의 외면에 실존했
던 의미가 아니라 외면 아래에 잠재되어 있던 의미가 드러나면서 인간의 
속성까지 드러난다. 충돌하면 부숴 지고 깨어져 흩어질 것 같은데 사건의 


background image

184 

지식과 교양 Vol. 13

연속으로 이어지는 역설이 발생하는 것이다. <파지> 속 사건들이 바로 이
러한 과정을 보여 준다. 역설을 통해 인간의 속성을 보여 주는 것이다.

<파지> 속 사건에서 파지수 거자가 규칙과 양심을 잘 지켰으면 고물상 

사장과의 사이에 있는 신뢰의 파괴는 일어나지 않는다. 그러나 규칙과 양
심을 잘 지키는 파지수거자라는 기존의 사실을 배반하고 새로운 사건으로 
넘어간다. 신뢰 배반사건이 표면으로 올라와 현실화된 것이다. 배반이라는 
사건이 발생함으로써 사건이 가지고 있는 의미가 비로소 생성된다. 역설적 
상황이 만들어짐으로써 오랫동안 관계를 유지해 왔던 인간의 새로운 모습
을 보게 된 것이다. 역설이 삶에 필요한 요소임을 보여 주는 것이다.

고물상 사장도 파지 수거자들을 속이기는 마찬가지다. 파지의 무게를 

불려서 압축장에 팔려고 한다. 고물상 사장은 수거자들에게 파지 값을 속
이고 낮은 금액을 준다. 그럼에도 대부분의 수거자 대부분은 성실하게 파
지를 주워온다. 그런데 한 청년이 고물상 사장을 속이는 행동을 한 것이다. 
파지수거자의 속임수를 탓하는 고물상 사장의 속임수도 다를 바 없다. 상
대의 잘못을 지적하기 위해 자신의 잘못이 충돌되도록 연출되었다. 비판의 
역설이 서로의 본질을 드러낸 작품이다.

3) 인간통찰의 의미

(1) 〈너와 나 (The Dream Songs)〉
〈너와 나 (The Dream Songs)〉15)은 영원히 끝나지 않을 슬픈 이별, 세

월호 침몰이 모티프다. 몸이 아파 혹은 수학여행경비가 없어 수학여행을 
가지 못한 아이가 수학여행을 떠난 절친들과 영원히 헤어져 갈피를 잡을 
수 없는 정신상태에 빠져 가눌 수 없는 인생에 봉착한 상황을 보여준다.

학창생활 속 꽃같이 기쁜 수학여행, 그 여행이 친구들을 영원히 갈라놓

았다. 가족도 영원히 갈라놓았다. 영원히 갈라지는 일은 여러 경로를 통해 
15) 〈너와 나 (The Dream Songs)〉, 조현철.


background image

185

정동진독립영화제의 상상력 구조와 의미에 대한 연구┃심상교

흔한 일이다. 하지만 꽃같은 나이에 물 속에서 허망하게 저 세상으로 떠난 
이들은 어떻게 해원되어야 하는가. 아마 세월호를 기억하는 사람들이 영원
히 사라지기 전까지 해원은 완성되지 않을 것이다. 기막힌 슬픔과 기막힌 
이별은 인간 삶에 적지 않다. 그 적지 않은 이야기가 우리 삶 한 가운데에서 
일어났다는 점을 이 작품은 다시 기억시킨다. 너무나 슬픈 이별을 통해 인
간 존재를 통찰하고 삶의 구조가 가진 허술함도 질타한다.

‘수학여행을 하루 앞둔 어느 날. 세미는 단짝 하은이가 죽는 꿈을 꾼다. 

놀란 마음에 세미는 덜컥 조퇴를 한다. 얼마 전 자전거 사고를 당한 하은이
는 병원에 서 힘든 시간을 보내고 있다. 세미는 불길한 꿈 때문인지 하은이
를 혼자 두고 떠나는 것이 마음에 걸린다. 세미는 무리를 해서라도 하은과 
함께 수학여행에 가고 싶다. 하지만 하은의 태도는 어딘가 미심쩍고, 세미
의 의심은 결국 폭발 한다. 하은이에게 잘해주고 싶었을 뿐이었는데.... 마
음과는 다르게 상처만 줄 뿐이다. 세미는 하은이를 남겨두고 도시를 떠돈
다.’16)

2014년 4월 봄. 영화는 꿈인지 현실인지 모호하다. <너와 나>는 수학여

행 전날, 그 하루 동안의 이야기이지만 시간이 뒤엉켜 있다. 우리는 이들이 
꿈꾸던 수학여행이 영영 이뤄지지 못한 것을 알고 있기에 모든 장면이 다 
아프다. 위태로운 물컵, 병원의 비누 냄새, 살았다, 인생, 슬픔, 죽음 등의 
이미지와 대사를 느끼다 보면 어느새 세미처럼 이유 없는 눈물이 흐른다. 
한낮의 녹음 사이로 발갛게 노을이 내려앉아, 결국 어둠이 되는 동안 <너와 
나>는 고백과 위로와 애도를 건네는 작품이다. 2014년 4월 16일 아침이전
으로 돌아갈 수 없음에 절망하는 작품이다.

수학여행 전날, 세미 하은은 불행한 상황을 꿈꾼다. 하은은 누군가가 죽

16) 『제25회 정동진독립영화제』(안내책자), 정동진독립영화제집행위원회, 2023, 52

쪽.


background image

186 

지식과 교양 Vol. 13

는 꿈을 꾸는데 그 꿈 속의 죽는 사람이 자신임을 꿈속에서 본다. 꿈속에서 
자신의 미래를 본 것이다. 살아서 죽는 자신의 미래를 본 것처럼 비극적이
고 경악할 일은 없을 것이다. 인간이 스스로를 돌아보게 하는 한 계기를 마
련해 준다.

하은은 다리를 다쳐 병원에 입원한다. 입원 때문에 수학여행을 가기 어

렵게 되었으나 수학여행을 같이 가자는 친구 세미의 조름과 설득, 강압으
로 수학여행을 가기로 한다. 세미와 하은은 서로 좋아하면서 거리를 두고 
싶은 감정도 갖고 있다. 그런데 세미가 하은을 많이 좋아하는 편이다. 세미
는 하은에게 좋아한다고 고백하기도 한다. 사춘기 시절의 묘한 동성애적 
감정을 보여주어 청소년기의 여러 감정이 자연스럽게 나타나도록 한다. 하
은은 제리라는 반려견을 13년간 키웠으나 그 반려견이 죽은 경험을 한다. 
매우 슬퍼하는 장면이 나온다. 인간의 보편적 감정들이 표현되는 것이다. 
인간을 통찰하는 기회를 주는 셈이다.

세미는 앵무새를 키운다. 수학여행을 같이 갈까 고민할 정도 앵무새와 

친하다. 앵무새에게 수학여행을 같이 갈까 말하기도 한다. 세미는 다애라
는 친구가 하은이 서로 친하는 점에 질투를 강하게 느낀다. 세미의 질투까
지 느끼자 부담을 느끼고 다애라는 친구가 하은이 자신과 많이 친하지 않
다는 점을 보여주기 위해 수학여행을 가기로 한다. 세미는 자신의 집에 있
는 캠코더 팔아 그 돈으로 하은의 수학여행비를 댈 예정이다. 캠코더를 팔
려고 노력하는 과정도 몇 가지 에피소를 통해 인간의 여러 내면을 보여준
다. 캠코더를 사려는 사람을 만나기 위해 공원으로 나가는 일, 공원에서 보
게 된 유기견에 관심을 갖는 일, 유기견 먹이를 사러 가는 일, 먹이 사러 가
는 과정에서 하은이 사라지는 일. 세미가 편의점에서 유기견 먹이 사고 나
오다가 유기견을 찾는 벽보 보는 일 등이 두 사람 사이의 미묘한 감정을 느
끼도록 한다. 인간에 대한 통찰을 여러 개의 에피소드를 통해 확인하도록 


background image

187

정동진독립영화제의 상상력 구조와 의미에 대한 연구┃심상교

하는 미덕이 발휘되는 작품이다.

세미는 하은 가방에 액서사리도 끼워준다. 세미는 하은이 자전거 탄 오

빠랑 친하게 지내는 장면에도 상처를 받는다. 청소년기에서 종종 나타나는 
동성에 대한 과도한 우정이 나타나는 장면이다. 평범한 너무나 평범한 고
등학생들의 우발적 일상, 옆에 있는 친구를 좋아하는 지극히 평범한 아이
들이 더 이상 이 세상에 존재하지 않는 다는 점을 조금씩 쌓아 간다. 쌓아진 
장면들이 쌓여진 감정들은 결국 무너진다. 무너져 슬픈 것은 살아있는 사
람들일 것이나 그 슬픔을 느끼지도 못하는 죽음은 어떻게 설명할 수 있는
가라는 슬픈 물음이 잔잔하지만 무섭게 영화 속에서 떠나지 않는다. 평범
한 일상의 대사가 가슴을 저미는 장면도 있다. ‘갔다올게’와 ‘사랑해’라는 
대사가 그것이다. 친구들 사이에서 사람들 사이에서 갔다올게라거나 사랑
해 라는 말은 특별한 감정을 갖지 않는 경우가 많다. 특별한 감정을 섞지 않
은 채 사랑해를 반복하기도 하는 것이다. 그런데 이 영화 속에서 갔다올게 
사랑해라는 말은 수없이 반복해도 이제는 더 이상 의미없는 일이 될 수 있
는 사건을 보여준다. 살아 있는 사람들 사이에서는 아무 것도 아닌 인사말
이 이제는 그런 말을 할 수 없는 사람들을 보여 줌으로써 인간 삶의 여러 모
습을 통찰하게 한다. 이제는 여기에 없는 사람에게 다주지 못한 사랑이 슬
퍼 수없이 되뇌었을 아픔이다. 인간의 수없이 많은 예외적 감정과 순간들
이 어떤 결과로 이어질지 모르는 것임을 보여준다. 작은 순간들도 소중하
고 소중한 가치를 남기지 못하는 작은 순간들이 훨씬 많겠지만 우리 감정
은 소중한 기억이 된 작은 순간에 영화는 울먹인다.

(2) 〈자르고 붙이기 (Cut and paste)〉
〈자르고 붙이기 (Cut and paste)〉17)는 현실의 윤리에 종속된 인간모습

이 나타난다. 현실의 윤리는 신뢰는 지키고 법을 따르는 것이다. 지극히 평

17) 〈자르고 붙이기 (Cut and paste)〉, 김효준.


background image

188 

지식과 교양 Vol. 13

범한 일인데 그 평범한 일을 지키기 어려운 상황 속에서 한계상황에 처한 
것과 같은 처절한 인간모습이 나타난다. 고시원 두 개의 단칸방이 배경이
다. 한 방에는 엄마와 아들이 살고 다른 방에는 부인과 자식들이 산다. 고시
원 단칸방이라 배경이 등장인물들의 환경을 설명하고 압박받는 조건까지 
보여준다. 이 가족은 빚을 져, 방을 줄이고 열심히 돈을 벌어 빚을 갚아 가
는 중이다. 그런데 주인공 정호의 엄마가 주인공 몰래 새로 신용카드를 만
들었다. 검약하지 않은 엄마를 질타하지만 엄마도 빚 갚기 위해 최선을 다
하고 검약하기 이를 데 없는 존재다. 검약해도 돈이 필요한 경우가 있어 카
드를 만들었지만 빚갚기에 자존심을 목숨처럼 생각하는 정호는 엄마를 질
타한다. 엄마는 집안 빚을 먼저 갚느라 제 카드 값을 미루고 있는 아들이 걱
정돼 돌려막기용 신용카드를 새로 만들었던 것이나 아들 정호를 빚갚는 일
에 부당한 과정이 개입되면 안 된다고 화를 낸다. 사람답게 살려면, 빚의 고
리를 잘라야 한다고 생각하는 아들과 빚을 카드로 돌려막더라도 정호의 신
용을 지키고 싶은 엄마. 두 사람 모두 사람답게 살기 위해, 빚을 대물림하지 
않기 위해 몸부림친다. 한 가계의 가난과 빚의 대물림이 절박하게 극화되
어 있다. 어머니가 만든 카드를 자르려다 실수로 말리는 어머니의 손에 깊
은 상처를 내게 된다. 급히 응급실로 가고 입원까지 하게 되지만 어머니는 
입원비가 무서워 퇴원한다. 어머니를 걱정하는 아들의 마음과 아들을 걱정
하는 마을이 교차되어 신뢰의 눈물을 쏟게 한다. 노력해도 경제적 고통에
서 헤어날 수 없는 현실의 비정한 구조가 비판된다. 서로를 염려하는 흔한 
가족의 소중함이 다시 강조된다. 소중함이 절실하기에 빚과 피를 통해 표
현한 것으로 보인다.

‘신용카드도 가족도 잘린 후에는 다시 그 전처럼 붙일 수는 없는 법. 하

지만 엄마는 절대로 죽어 없어지지 않고 돌아와 아들을 부르고, 아들은 가
쁜 숨을 들이마시고 엄마와 마주한다. 사려 깊은 연출과 흡입력 있는 배우


background image

189

정동진독립영화제의 상상력 구조와 의미에 대한 연구┃심상교

들의 연기 속에서 한 가계의 가난과 빛의 대물림이 절박하게 극화되어 가
슴을 후빈다. 배우 황재 필과 신혜경이 주고받는 모든 호흡에 오롯이 포박
되어 이들과 같은 속도로 심장이 뛴다. 그래. 우리는 아직 살아있다. 아니 
살고 있다.’18)

인간통찰은 사람과 사물들 사이에서 발생하는 의미를 이해하려 노력

하는 과정에서 나타난다. 사람과 사물 사이의 연결 전체를 파악하여 그 
상태와 의미를 알게 되는 과정에서 인간통찰이 일어나게 된다. 그 연결
이 선하고 불의하지 않을 때 그 과정은 선명하게 사람들에게 전달될 것
이다. 〈자르고 붙이기〉는 이 과정이 잘 드러난 작품이라고 할 수 있다. 인
간에 대한 이해를 인간 사회의 민감한 문제를 견고한 도덕률로 들여다보
고 있는 것이다.

〈자르고 붙이기〉는 다양하고 이질적인 내용으로 시작한다. 불량하고 

선하지 못한 의도가 담긴 행동들이 한 가족 안에서 일어나고 있는 착각을 
갖게 한다. 그러나 시간이 지나면서 이 착각이 잘못된 것임을 알게 한다. 가
족 안에서 일어나는 불량한 행동들은 사실, 가족이 서로를 걱정하고 도와
주는 행동들이었다. 일상의 행동에서 가족애를 발견하는 미덕이 발휘되는 
것이다. 이런 미덕은 인물들 간의 사건과의 연결, 인간간의 관계 구성에서 
의외의 사실인 것처럼 보여 졌던 것들이 그렇지 않은 것으로 변하도록 하
는 과정에서 나타난다. 일정한 공간과 현실 속에서 인간에 대한 통찰이 안
정화 됨으로써 이런 점을 확인하게 된다. 인간에 대한 이러한 통찰은 인간
을 바 라보는 눈에 긍정적 시각을 부여하는 원동력이 된다.

4. 결론

정동진독립영화제는 정동진에 있는 정동진초등학교에서 개최되는 영

18) 『제25회 정동진독립영화제』(안내책자), 정동진독립영화제집행위원회, 2023, 43

쪽.


background image

190 

지식과 교양 Vol. 13

상축제다. 정동진이라는 바닷가에서 개최되지만 바다의 특성을 특별히 반
영하지는 않는다. 하지만 정동진이 바닷가이기에 그리고 영화제가 열리는 
장소가 초등학교 운동장이기 때문에 바닷가와 운동장이라는 점과 연결 지
어 영화제를 감상할 것으로 생각한다. 하지만 주최측은 이러한 요소를 기
획의도로 내 비치거나 홍보하지 않는다. 그렇지만 정동진독립영화제는 정
동진 바다가 영화의 바다가 되어 세상의 많은 예술적 감성과 상상력이 운
항하는 공간이 되 도록 노력한다.

2023년 정동진독립영화제(이하, 영화제)에 상연된 작품들의 주된 성격

은 가족애와 인간사랑에 초점이 맞춰져 있었다. 영화제위원회가 전체 주제
를 제시한 적은 없다. 그럼에도 출품작들의 공통된 성향이 나타난 것이다. 
가족애과 인간사랑은 인류의 영원한 작품 주제일 수도 있는데 그런 특성이 
이번 영화제에서도 나타난 것이다. 가족애와 인간사랑은 인간의 보편적 관
점이다. 영화제가 인간의 보편적 관점과 주제를 다루고 있었던 셈이다. 독
립영화제의 특성을 보여주는 것이었다고 할 수 있다. 자본에서의 독립, 투
자배급사로부터의 독립, 순수예술정신의 향연, 정치성 억제 등이 근간을 
이루는 독립영화제의 성격을 보여주는 것이다. 상영작에 인간의 근본정신
과 소박한 삶의 진정성이 잘 드러났다고 할 수 있다.

영화제는 세계적 관심을 끄는 영화제가 되고자 노력하지 않는다. 정동

진 바다와 정동초등학교만의 느낌을 살리고 그것을 공유하는 영화제이면 
만족할 것이다. 정동진만의 가치와 정동진만의 감성을 향유하면 영화제 개
최의 목적은 달성되는 것으로 보인다. 이러한 영화제에 바다의 성격을 확
대하고 정동초등학교에서 진행하는 장소의 의미를 확대하여 어린이영화
교실 프로그램 운영도 고려해 볼 수 있을 것이다. 2023년 영화제에서 젊은 
관람객이 압도적으로 많이 보였다. 휴가철을 이용하였지만 가족관객은 많
아 보이지 않았다. 친구 사이로 보이는 관객이 훨씬 많았다. 세계적 관심을 


background image

191

정동진독립영화제의 상상력 구조와 의미에 대한 연구┃심상교

끌고자 노력하지 않기에 영화제를 특정 주제로 특성화할 필요가 있어 보인
다. 가족이 나 바다를 특성화된 주제로 기획하는 것이 필요할 수도 있겠다. 
실버영화교실 성격의 프로그램을 추가하여 관람객의 균형지향도 생각해 
볼만하다.

본고에서는 영화제에서 상연된 작품 중에서 서사성이 뚜렷한 작품을 

중심으로 그 작품의 상상력 구조를 고찰하였다. 역설과 인간통찰이 상상력 
내면에 구조화 되어 있었다. 역설과 인간통찰은 인간애와 가족 사랑을 바
탕으로 하고 있음도 확인하였다. 고찰 대상은 역설과 관련되어 〈수능을 치
려면〉, 〈더 납작 엎드릴게요〉, 〈파지〉, 〈엄마 극혐〉 등이었고 인간통찰과 
관련되어 〈너와 나〉, 〈자르고 붙이기〉 등이었다.


background image

192 

지식과 교양 Vol. 13

참고문헌

G 레이코프· M 존슨 저, 노양진·나익주 역, 『삶으로서의 은유』, 서광사, 

1995. 

존슨 저, 노양진 역, 『마음 속의 몸』, 철학과 현실사, 2000
심상교, 「은유·환유·몸의 개념과 연극적 활용에 대한 연구」, 『교육연극

학』 13권 2호, 한국교육연극학회, 2021

박광수, 「어쩌면 독립영화!-한국독립영화협회 창립 10주년과 정동진독

립영화제 10주년」, 『독립영화』 36집, 한국독립영화협회, 2008.

편집부, 「별이지는 하늘, 영화가 뜨는 바다-제4회 정동진독립영화제」, 

『독립영화』 13집, 한국독립영화협회, 2002.

문창현, 「뜨거웠던 여름날의 기억」, 『오늘의 문예비평』 111집, 오늘의 

문예비평, 2018.

김은혜, 「대한민국 축제, 살아있네~:크리에이티브 라이프」, 『케이콘텐

츠』 7·8합집, 한국콘텐츠진흥원, 2013.

『제25회 정동진독립영화제』(안내책자), 정동진독립영화제집행위원회, 

2023.


background image

193

정동진독립영화제의 상상력 구조와 의미에 대한 연구┃심상교

❚국문초록

본고는 2023년 제25회정동진독립영화제에서 상영된 영화의 상상력 

구조에 고찰한다. 이번 영화제에는 단편영화 19편, 장편영화 1편, 영화
제 제작지원작 1편 등 모두 22편의 영화가 상영되었다. 이 작품들 중에
서 상상력 구조를 확인하기 쉬우면서 서사구조가 분명한 7개 작품을 대
상으로 고찰한다. 인간의 무의식이 언어로 구조화 되었다거나 리비도로 
구조화 되었다는 설명이 있는 것처럼 이번 정동진독립영화제에 출품된 
작품들을 생성한 상상력은 어떤 요소들이 핵심을 이루는가를 살펴보는 
것이다.

이번 영화제에서 공통적으로 나타난 대표적 상상력 구조는 역설과 

인간통찰이었다. 그 근저에는 인간애와 가족사랑이 자리잡고 있었다. 
이런 특성이 영화제가 기획한 것은 아니고 이런 주제를 영화제를 관통
하는 주제로 추구하는 것도 아니다. 그래서 역설과 인간통찰의 특성은 
이번 영화제에 출품된 작품들 중에서 우연히 나타난 공통 특성이라고 
볼 수 있다.

영화제를 특정 주제로 특성화할 필요가 있어 보인다. 가족이나 바다

를 특성화된 주제로 기획하는 것이 필요할 수도 있겠다. 어린이영화교실 
프로그램 운영도 고려해 볼 수 있을 것이며 실버영화교실 성격의 프로
그램을 추가하여 관람객의 균형지향도 생각해 볼만하다.

주제어 ● 정동진독립영화제. 상상력구조. 역설. 인간통찰. 가족사랑. 

인간애.


background image

194 

지식과 교양 Vol. 13

❚Abstract

A Study on the imaginative structure and meaning of 

the Jeongdongjin Independent Film Festival

Sim, Sang Gyo / Busan National University of Education

This paper examined the imaginative structure of films screened at the 

25th Jeongdongjin Independent Film Festival in 2023. A total of 22 films 
were screened at this film festival, including 19 short films, 1 feature film, 
and 1 film festival support film. Among these works, seven works whose 
imaginative structure was easy to identify and whose narrative structure 
was clear were examined. Just as there is an explanation that the human 
unconscious is structured by language or libido that created the works 
submitted to this year's Jeongdongjin Independent Film Festival.

The typical imaginative structures that appeared commonly at this film 

festival. Structures were paradox and human insight. The roots  was love for 
humanity and family. It seems necessary to characterize film festivals with 
specific themes. It may be necessary to plan with specialized themes such 
as family or the sea. Operating a children's film class program can also be 
considered, and it is also worth considering adding a program in the nature of 
a silver class.

Keyword ● Jeongdongjin Independent Film Festival. Imagination structure. 

Paradox. Human insight. Family love. Humanity.

❙논문투고일:2023.10.23.❙심사완료일:2023.11.02.❙게재확정일:2023.11.28.❙


background image

195

외래어의 형태적ㆍ의미적 특성 연구

: 한국어 신문 기사 제목을 중심으로

1. 들어가며

본 연구는 한국어에서 사용되는 실제성 있는 외래어 정보를 수집하기 

위하여 한국어 신문 기사 제목에 출현하는 외래어를 서양어계 외래어를 중
심으로 살펴보고 이를 형태적 측면과 의미적 측면에서 분석하는 데에 목적
이 있다. 다른 나라와의 언어·문화 교류를 통해 수용된 언어를 ‘외래어’라
고 부른다. 외래어(loanword)와 외국어(foreign language)는 모두 외국으
로부터 들어와 쓰이는 어휘를 말하지만 외래어와 외국어는 다르다. 일반
적으로 외국에서 들어온 말이지만 한국어에서 널리 쓰이고 있는 어휘면 외
래어(loanword),1) 외국에서 들어왔으나 아직 한국어로 정착되지 않은 어

* 연세대학교 국어국문학과 박사수료

1) <표준국어대사전>에서는 외래어를 버스, 컴퓨터 등과 같이 외국에서 들어온 말

어 지 혜*

1. 들어가며
2. 연구 대상 및 방법
3. 빅카인즈 분석 결과
4. 외래어 특성 분석 결과 
5. 맺음말

목  차

https://doi.org/10.54698/kl.2023.13.195


background image

196 

지식과 교양 Vol. 13

휘는 외국어(foreign language)로 보는데 외래어와 외국어의 구분에 있어 
가장 기본이 되는 것은 대체 어휘의 존재 여부이다.2) ‘버스(bus), 빵(pao)’
과 같이 외국에서 들어온 말이지만 한국어에 동화되어 한국어처럼 쓰이는 
즉, 다시 말해 한국어로 대체할 어휘가 없으면 ‘외래어(loanword)’라고 할 
수 있고 ‘무비(movie, 영화)’, ‘댄스(dance, 춤)’와 같이 한국어에 있는 어휘
로 대체할 수 있으면 외국어(foreign language)라고 할 수 있다. 그러나 우
리가 일상적으로 사용하는 어휘 중 외국어를 어원으로 가지는 모든 어휘를 
외래어와 외국어로 명확하게 나누는 것은 결코 쉬운 일이 아니다. 하나의 
외래어가 어휘의 사용 분야에 따라서 어떤 분야에서는 이미 한국어 체계에 
동화되어 한국어 어휘화가 완료되었을 수도 있고 또 어떤 분야에서는 아직 
한국어 어휘 체계에 동화되지는 않았으나 언중 사이에서는 널리 사용되고 
있을 수도 있기 때문이다. 예를 들어 최근 우리 사회에서 널리 쓰이는 ‘모바
일 뱅킹(mobile banking)’, ‘키오스크(kiosk)’, ‘OO 챌린지(challenge)’, ‘포
털(portal)’ 등은 언중이 ‘외국어에서 온 말’이라는 것을 인식하고 있지만 
사람에 따라 친밀도와 이해도 그리고 그에 따른 쓰임이 다를 수밖에 없다. 
김종덕(2017)에서 지적하였듯이 외래어의 가장 큰 특징인 ‘국어의 일부’로 
받아들여진 말(정희원, 2004)’과 ‘한국어화(김하수, 1999)’는 받아들이는 사

로 국어에서 널리 쓰이는 단어라고 정의하며, 김민수(1973)에서는 외래어는 일차

적으로 낱말의 기원이 외국어임을 지시하는 말로서 귀화어뿐만 아니라 우리말에 

동화되지 않은 외국어 낱말까지도 모두 포함하는 것으로 보았다. 임홍빈(1997)은 

외국에서 들어온 말로 우리말에 동화되어 쓰이는 것, 박창원ㆍ김수현(2004)은 외

국과의 접촉 과정에서 다른 나라의 문화 및 문물의 유입과 함께 들어와 자국어처

럼 사용되는 언어, 정희원(2004)는 국어로 굳어진 낱말뿐만 아니라 동화 과정에 

있는 외래 어휘들까지 포함하는 언어를 외래어라고 정의하였다.

2) 임홍빈(1997)은 외래어와 외국어를 구분하는 기준으로 ‘동화의 조건’뿐만 아니라 

우리말 문맥 속에서 일반적으로 사용되는지 여부에 대한 ‘쓰임의 조건’도 함께 고

려해야 한다고 보았다. 송철의(1998) 역시 외래어와 외국어를 구분하는 기준으로 

‘동화의 정도’, ‘자연스러움’, ‘쓰임의 정도’를 언급하였다. 외래어는 다른 언어권

에서 들어온 어휘가 언중 사이에서 널리 사용되어야 하며, 한국어의 특징과 유사

해져야 한다는 것을 알 수 있다. 


background image

197

외래어의 형태적·의미적 특성 연구 : 한국어 신문 기사 제목을 중심으로┃어지혜

람의 인지적인 작용에 의한 것이기 때문에 외래어와 외국어를 구분하는 데
에 있어 명백히 객관적인 기준을 세우는 것은 쉽지 않다. 특히 최근 영어 지
식이 높아지면서 외래어의 유입과 생산 및 사용이 증가하고 가속화되고 있
는 만큼 이러한 양상은 앞으로 더욱 두드러질 것이다. 이에 본 연구에서는 
‘외래어’를 외국어를 어원으로 하고 언중 사이에서 널리 사용되는 어휘 중 
이미 한국어에 동화된 어휘뿐만 아니라 동화 과정 중에 있는 어휘들까지 
포함하는 광의의 개념으로 정의하고 논의를 진행하였다.3) 이는 협의의 개
념으로 외래어에 접근하는 것보다 광의의 개념으로 외래어에 접근하여 실
제성 있는 외래어 정보를 수집하고 제공하는 것이 유의미하다고 판단하였
기 때문이다. 

외래어는 우리의 일상생활에서 높은 빈도로 사용되고 있는데 우리가 

일상생활을 하면서 접하게 되는 외래어의 정확한 의미를 알지 못하면 언어
생활에 있어 심리적 스트레스를 받거나 좌절을 겪게 마련이다. 우리가 일
상생활을 하는 데에 있어서 가장 쉽게 외래어를 접하는 매체는 공공언어와 
대중매체일 것이다. 대중매체 중에서도 ‘신문’은 사회에서 발생한 사건에 
대한 사실이나 해설을 널리 신속하게 전달하기 위한 것으로4) 교육 분야에
서 일찍이 지식 습득 도구 및 비판적 사고를 가능하게 하는 도구로써 주목
을 받았는데5) 신문을 꾸준히 읽으면 지식 습득뿐만 아니라 어휘력 및 문장

3) 오늘날 뉴스 보도에서도 널리 사용되는 ‘모바일 뱅킹(mobile banking)’, ‘포털

(portal)’은 <표준국어대사전>에는 등재되어 있지 않고 <고려대 한국어사전>과 

개방형 한국어사전인 <우리말샘>에는 등재가 되어 있다. 이 단어들이 한국어 동

화되어 자연스럽게 많이 쓰인다는 점에서 이들 어휘는 외국어가 아닌 외래어의 

지위에 가깝다고 볼 수 있을 것이다. 이처럼 외래어와 외국어를 구분하는 데에 있

어 중요한 것은 사전의 등재 여부가 아니라 앞선 연구들에서 논의하였듯이 ‘동화

의 정도’, ‘자연스러움’, ‘쓰임의 정도’를 고려해야 할 것이다.

4)  표준국어대사전, https://stdict.korean.go.kr, 2023.10.08.
5) 예를 들어 NIE(Newspaper in Education) 운동이 대표적인 예이다. 매일 다양

한 분야와 관련해 새로운 정보가 공유되는 신문을 교육에 활용하자는 운동으로 

1930년대 미국에서 처음으로 시작되어 우리나라에는 <중앙일보>에 의해 1994


background image

198 

지식과 교양 Vol. 13

력 신장에 도움이 되게 마련이다.6) 언중은 신문에서 사용되는 언어를 크게 
의심하거나 거부감 없이 받아들이고 학습의 대상으로 여기지만 신문에서 
사용되는 어휘의 의미를 몰라 기사 내용을 충분히 이해하지 못하는 경우도 
있고 때로는 곤란을 겪기도 한다.7) 신문은 연구 자료로서의 활용도 또한 높
은데 강범일(2021)에서 신문은 사회과학 및 인문학 분야 연구의 관심 대상
이 되고, 언어학적인 분석의 대상이 되며 자연어 처리를 위한 각종 모델 생
성에도 활용될 수 있다고 밝히며 신문 기사의 연구적 가치를 언급한 바 있
다. 이에 본고에서는 신문 기사의 연구적 가치에 주목하여 신문 기사에 출
현한 외래어를 분석하였는데 최근 사용되는 외래어의 특성을 알아보고자 
2023년 1월 1일부터 2023년 9월 30일까지의 신문 보도 자료를 대상으로 
삼았다. 신문 자료 분석을 통해 최근 신문 기사에 사용된 외래어를 살펴보
고 그 형태적 특징과 의미적 특징을 규명하여 신문 기사에 출현한 외래어
의 언어학적 특징을 고찰하는 데에 연구의 목적이 있다. 

2. 연구 대상 및 방법

본고에서는 외래어의 언어학적 특징을 분석하기 위해 신문 기사 제목 

중 스포츠면의 서양어계 외래어를 연구의 대상으로 삼았다. 먼저 신문의 
여러 주제 중에서 스포츠면을 자료로 선택한 것은 스포츠면은 경제면이나 
사회면보다 외래어가 사용되는 비율이 월등히 높으므로8) 외래어의 언어학

년 소개되었다. 

6) 국립국어원(2014)의 ‘평소 신문 기사를 꾸준히 읽는 것이 어휘력에 도움이 되는

지’에 대한 설문에 중‧노년의 90.7%, 청‧장년층의 76.7%, 청소년의 64.3%가 그

렇다고 응답해 모든 세대가 신문이 어휘력 향상에 도움이 된다는 것을 인식하고 

있음을 알 수 있다. 

7) 국립국어원(2020)의 국민 언어 의식 조사에 따르면 신문이나 방송에서 나오는 

말의 의미를 몰라 곤란했던 경험이 ‘자주 있다’고 응답한 비율은 2005년 8.7%, 

2010년 7.3%, 2015년 5.6%, 2020년 36.3%로 2015년에 비해 2020년에 크게 증

가했음을 알 수 있다.

8) 오래된 자료이긴 하나 국립국어원(2005)에 따르면 스포츠면(14%)-경제면


background image

199

외래어의 형태적·의미적 특성 연구 : 한국어 신문 기사 제목을 중심으로┃어지혜

적 특성을 분석하고 그 특징을 규명하는 데에 있어 분석 자료로서의 가치
가 높다고 판단하였기 때문이다. 다음으로 서양어계 외래어를 연구 대상
으로 삼은 이유는 한국어의 외래어 중 서양어계 외래어가 차지하는 비중이 
가장 높기 때문이다.9) 그리고 신문 기사의 제목은 기사의 내용을 집약적으
로 나타내어 주제를 부각하기 때문에 신문 제목은 신문 이용자들의 주의와 
관심을 끈다는 점에서 신문 기사의 본문이 아닌 신문 기사 제목을 분석 대
상으로 삼았다. 대부분의 신문 매체의 언어 사용 양상을 연구한 앞선 연구
에서는 한국 ABC(Audit Bureau of Circulation) 협의회 보고서를 통해 일
간 발행 부수를 살피고 일정 부수를 초과하는 일간지를 연구 대상으로 삼
고 있으나 본고에서는 신문 이용률에 있어서 예전과는 다르게 지면 신문 
이용률보다 인터넷 뉴스 이용률이 높다는 점에 주목하여10) ‘뉴스 빅데이
터 분석’ 서비스를 통해 연구 자료를 수집ㆍ분석하였다. 본고에서는 한국
언론진흥재단이 제공하는 한국 최대 공공 뉴스 아카이브인 빅카인즈(BIG 
KINDS)에서11) ‘((K리그) OR (K League))’를 핵심 검색어로 하여 2023년 1
월 1일에서 2023년 9월 30일까지의 신문 스포츠면 기사에서 나타난 보도
를 추출하였다. 

(7.1%)-사회면(2.2%) 순으로 각 주제별 어절 수 대비 외래어와 외국어 어절 수가 

차지하는 비율이 높은 것으로 조사되었다.

9) <표준국어대사전>의 사전 통계에 따르면 대표적인 서양어계 언어인 영어를 원어

로 하는 순 외래어만 11,760개로 전체 순 외래어 14,006개의 83%가 영어를 원어

로 하는 순 외래어이다.

10) 한국언론진흥재단(2022)에 따르면 종이 신문 이용률은 2018년 17.7%, 2020년 

10.2%, 2022년 9.7%로 많이 줄어든 반면 인터넷 포털 뉴스 이용률은 2018년 

76%, 2020년 75.8%, 2020년 75.1%로 상당히 높음을 알 수 있다.

11) 빅카인즈는 국내 최대의 보도 데이터베이스에 빅데이터 분석 기술을 접목한 뉴

스 빅데이터 분석 시스템으로 1990년부터 현재까지 전국 일간지, 경제 일간지, 

지역 일간지, 방송사, 전문지에서 작성한 뉴스를 빅데이터화하여 제공한다. 


background image

200 

지식과 교양 Vol. 13

3. 빅카인즈 분석 결과

빅카인즈(BIG KINDS;https://www.bigkinds.or.kr)에서 ‘((K리그) OR 

(K League))’를 핵심 검색어로 하여 2023년 1월 1일에서 2023년 9월 30일
까지의 신문 스포츠면 기사에서 나타난 보도를 추출한 결과 중복되거나 예
외가 되는 기사를 제외하고 ‘((K리그) OR (K League))’를 핵심 검색어로 하
는 총 2,215개의 신문 기사 검색 결과를 얻을 수 있었다. 

[그림 1] K리그를 핵심 검색어로 하는 신문 기사 검색 결과

이중 스포츠면에 해당하는 2,049개의 신문 기사 제목에서 외래어를 수

집하였다. 결과를 분석하는 데에 있어서 본 연구는 정량적 논의를 다루지
는 않았는데 이는 빈도 조사보다는 신문 기사 제목에 출현한 외래어의 언
어적 특성을 파악하는 것이 더 유의미하다고 판단하였기 때문이다. K리그
를 핵심 검색어로 하는 주간별 기사 건수는 [그림 2]와 같다. 2023년 2월 최
대 건수의 기사가 보도되었는데 이는 2월 19일 시즌 개막에 맞춰 사람들의 
관심이 집중되며 최대 기사가 발행되었기 때문이라고 해석할 수 있다. 

[그림 2] K리그를 핵심 검색어로 하는 주간별 기사 수


background image

201

외래어의 형태적·의미적 특성 연구 : 한국어 신문 기사 제목을 중심으로┃어지혜

본고에서는 검색 대상 언론사를 선정하는 데에 있어 전국 일간지와 지

역 일간지를 모두 포함하였는데 이는 국내 프로축구 K리그는 지역 연고지 
제도를 기반으로 운영되는 만큼 각 지역 일간지에서 적극적으로 취재 활동
을 펼칠 것이고 그에 따른 신문 기사 보도 역시 그 양이 상당할 것으로 기대
하였기 때문이다. 실제로 검색 결과 전국 일간지에서 총 1,005개의 기사를, 
지역 일간지에서 총 1,044개의 기사 목록을 얻을 수 있었다. 전국 일간지와 
지역 일간지를 종합하면 세계일보(전국) - 서울신문(전국) - 조선일보(전국) 
- 중부일보(지역) - 경인일보(지역) 순으로 보도 기사 수가 많았으며 전국 
일간지 중에서는 세계일보(139건), 서울신문(134건), 조선일보(134건), 중
앙일보(111건), 경향신문(94건)이 K리그 관련 보도가 가장 많았고 지역 일
간지는 중부일보(123건), 경인일보(111건), 강원도민일보(66건), 전남일보
(66건), 강원일보(63건) 순으로 K리그 관련 보도가 많았다. 

빅카인즈에서는 검색 결과 중 정확도 상위 100건의 뉴스 본문을 분석해 

검색어 사이의 연결 관계를 네트워크 형태로 시각화하여 제공하는데 ‘K리
그’가 신문 기사에서 어떠한 키워드들과 관련되어 나타나는지를 살펴보면 
[그림 3]과 같다. 

[그림 3] 핵심 검색어 ‘K리그’의 관계도


background image

202 

지식과 교양 Vol. 13

‘K리그’ 관계도가 높은 어휘를 정리하면 [표 1]과 같으며 골키퍼, 미드필

더, 카리스마, 코칭 스태프 등 다양한 외래어가 등장했음을 알 수 있다. 

[표 1] ‘K리그’와 관계도가 높은 어휘 

키워드

키워드

키워드

키워드

1

A매치

11

명예회장

21

올스타전

31

카리스마

2

K리거

12

미드필더

22

월드컵

32

코로나19

3

개막전

13

베스트11

23

유나이티드

33

코치진

4

골키퍼

14

베테랑

24

인스타그램

34

코칭스태프

5

공격수

15

부회장

25

일레븐

35

쿠팡플레이

6

공헌자

16

사령탑

26

주인공

36

팔로세비치

7

국가대표

17

서울올림픽

27

지도자

37 프리미어리그

8

대표팀

18

수비수

28 챔피언스리그 38

플레이오프

9

리베로

19

올림픽

29

최우수선수

39

플레잉코치

10 멕시코월드컵 20

올스타

30

축구팬

40

해설위원 

위의 관계도 분석 결과는 신문 기사 제목이 아닌 보도 기사 전체를 대상

으로 한 것으로 실제 분석 결과와는 차이가 있을 수 있다. 그럼에도 불구하
고 위의 [그림 3]과 [표 1]을 제시한 것은 분석 대상에서 제외된 외래어의 예
시를 보이기 위함이다. 본고는 분석 과정에서 인명, 국외 회사 및 단체, 지
명/국가명/도시명, 대회명 등은 제외하였는데 예를 들어 ‘A매치, 올스타
전, 올림픽’과 같은 대회명으로 분석 대상에서 제외하였고 ‘팔로세비치(FC
서울)’와 같은 외국인 선수의 이름 역시 분석 대상에서 제외하였다. ‘OO 유
나이티드(United)’와 같은 팀 이름, ‘인스타그램(Instagram)’과 같은 회사 
이름 역시 제외한 결과 아래 [표 2]와 같이 외래어 목록을 얻을 수 있었다.


background image

203

외래어의 형태적·의미적 특성 연구 : 한국어 신문 기사 제목을 중심으로┃어지혜

[표 2] 신문 스포츠면 기사 제목에 출현 외래어 목록

외래어 표현

1등팀, 결승골, 골, 골가뭄, 골든볼, 골맛, 골키퍼, 골폭풍, 그라운드, 극장골, 다이렉트, 

다크호스, 대표팀, 더비, 데뷔, 데뷔골, 동점골, 듀오, 드리블, 득점골, 디펜딩, 라운드, 

라이벌, 라이선스, 라이트백, 레전드, 리거, 리더십, 리베로, 맞트레이드, 멀티골, 

멀티플레이어, 메카, 멤버, 미드필더, 미디어데이, 미스, 백태클, 베테랑, 보이콧, 볼보이, 

블록코어, 빅리그, 빅매치, 빅클럽, 선방쇼, 선취골, 세트피스, 센터백, 소나기골, 슈퍼매치, 

슈퍼팀, 스타군단, 스타덤, 스타트, 스트라이커, 스폰서십, 스프린트, 스피드, 슬럼프, 

승격팀, 시즌, 신생팀, 아마추어, 에이스, 엠블럼, 역전골, 연속골, 영건, 영플레이어, 

오프사이드, 원더골, 원맨쇼, 원정팬, 윙백, 유니폼, 유스, 이벤트, 자책골, 준프로, 

중거리슛, 징크스, 찐팬, 챔피언, 축구쇼, 축구팬, 친정팀, 카리스마, 코치, 코치진, 쿼터, 

크랙, 크로스, 클럽, 킬러, 태극마크, 터닝슛, 터닝포인트, 투어, 트레이드, 트로피, 팀, 패스, 

팬, 팬서비스, 팬심, 팬투표, 포지션, 프런트, 프로, 프로생활, 프로스포츠, 프로연맹, 프로축구, 

프리시즌, 프리킥, 플레이, 플레이메이커, 플레잉코치, 피니셔, 하프타임, 해트트릭, 

홈경기, 홈구장, 홈팬

4. 외래어 특성 분석 결과

앞서 언급하였다시피 본 연구에서는 ‘외래어’를 외국어를 어원으로 갖

는 어휘 중 이미 한국어 어휘화되었거나 어휘화 과정 중에 있으며, 널리 사
용되는 외국어를 어원으로 갖는 어휘를 ‘외래어’로 보고 논의를 진행하였
으며 이를 형태적 측면과 의미적 측면으로 나누어 분석을 실시하였다. 

1) 형태적 특성

신문 기사 제목에 출현한 외래어는 먼저 조어법에 따라 단일 형태소로 

이루어진 단일어 구성과 두 개 이상의 형태소가 결합한 복합어 구성으로 
나눌 수 있는데 외래어의 경우에는 단일어와 복합어를 뚜렷하게 구분하기
란 쉽지 않다. 원어에서는 복합어의 지위를 갖는 것이 차용 외래어에서는 
단일어로 인식될 수 있기 때문이다. 본고에서는 ‘골킥’, ‘킥오프’, ‘프리킥’, 
‘패널티킥’과 같은 구성에서 축구나 럭비 풋볼 등에서 공을 발로 차는 일을 
의미하는 ‘킥(kick)’이 동일 의미로 여러 단어에서 나타나는 것과 같이 외래
어 요소가 추가로 다른 단어를 형성할 수 있는 동시에 한국어 모어 화자가 


background image

204 

지식과 교양 Vol. 13

‘골-킥’, ‘킥-오프’, ‘프리-킥’, ‘패널티-킥’과 같이 복합어 구성 요소 각각의 
의미를 이해하고 구조를 인식할 수 있다면 이를 복합어로 보았다. 

(1) 단일어 구성
스포츠면 신문 기사 제목에 단일어 구성으로 나타난 외래어로는 이미 

한국어에서 널리 사용되는 골, 라이벌, 리더십, 멤버, 슬럼프, 유니폼, 카리
스마, 코치, 트로피, 팀, 패스, 팬 등이 있었다. 단일어 구성의 외래어 대부
분이 <표준국어대사전>에 등재 어휘인 반면 ‘디펜딩(defending), 레전드
(legend), 리거(leaguer), 미드필더(midfielder), 스폰서십(sponsorship), 
엠블럼(emblem), 유스(youth), 투어(tour)’는 미등재 어휘임을 확인할 수 
있었다. 그러나 개방형 한국어 사전인 <우리말샘>에 ‘미드필더, 스폰서십, 
엠블럼’ 등이 등재되어 있는 것으로 보아 단일어 구성으로 나타난 외래어
의 상당수가 이미 한국어화되었으며 언중 사이에서 널리 사용되고 있음을 
확인할 수 있었다. 단일어 구성의 외래어의 <표준국어대사전>과 <우리말
샘>에서의 등재 여부를 비교하면 아래 [표 3]과 같다. 

[표 3] 단일어 구성의 외래어 사전 등재 여부 비교

외래어 〈표준〉 〈우리

말샘〉

외래어

〈표준〉 〈우리

말샘〉 외래어 〈표준〉

〈우리

말샘〉

골 

미스 

징크스 

골키퍼

베테랑 

챔피언 

그라운드  ○

보이콧 

카리스마 

데뷔

스타덤 

코치 

듀오 

스트라이커 

쿼터 

드리블 

스폰서십 

X

킬러 

디펜딩 

X

X

스프린트 

투어 

X

X

라이벌 

스피드 

트레이드 

라이선스  ○

슬럼프 

트로피 

레전드 

X

X

시즌 

팀 

리거 

X

X

아마추어 

패스 


background image

205

외래어의 형태적·의미적 특성 연구 : 한국어 신문 기사 제목을 중심으로┃어지혜

리더십 

엠블럼 

X

팬 

리베로 

오프사이드 

포지션 

메카 

유니폼 

플레이 

멤버 

유스 

X

X

해트트릭

미드필더 

X

이벤트

이와 같은 단일어 구성의 외래어가 쓰인 기사 제목의 일부를 제시하면 

다음과 같다.12)

① “K리그, 그라운드에서 되새기는 ‘호국보훈’”, <광주일보>, 2023.06.07. 
② “1위 달리는 울산 하위권 떨어진 전북 ‘현대가 라이벌’ 엇갈린 희비”, <

세계일보>, 2023.04.02.  

③ “삼부자가 FC서울 유니폼 ‘100경기’ 채울 겁니다”, <중앙일보>, 

2023.07.07.

④ “시즌 초반 요동치는 K리그2 선두경쟁”, <경남도민일보>, 2023.04.24. 
⑤  “황의조  조규성  오현규  스트라이커  무한경쟁”,  <국제신문>, 

2023.06.14. 

(2) 복합어(합성) 구성
복합어(합성) 구성 외래어의 유형은 [표 4]와 같이 나누어 살펴볼 수 있

다. 

[표 4] 외래어의 복합어(합성) 구성 유형

복합어(합성) 

구성 유형

외래어 

고유어+외래어 소나기골 
외래어+고유어 골가뭄, 골맛

12) 본고에서는 신문 기사 제목의 띄어쓰기를 수정하지 않고 원문 그대로를 제시하

였다.


background image

206 

지식과 교양 Vol. 13

외래어+외래어

골든볼, 다크호스, 데뷔골, 라이트백, 멀티골, 멀티플레이어, 미디어데이, 

백태클, 볼보이, 블록코어, 빅리그, 빅매치, 빅클럽, 세트피스, 센터백, 슈

퍼매치, 슈퍼팀, 영건, 영플레이어, 원더골, 원맨쇼, 윙백, 터닝슛, 터닝포

인트, 팬서비스, 프로스포츠 

외래어+한자어

골폭풍, 극장골, 동점골, 득점골, 스타군단, 팬심, 팬투표, 프로생활, 프로

연맹, 프로축구, 프리시즌, 프리킥, 플레이메이커, 플레잉코치, 하프타임, 

홈경기, 홈구장 

한자어+외래어 1등팀, 결승골, 대표팀, 선방쇼, 선취골, 승격팀, 신생팀, 역전골, 연속골, 

원정팬, 자책골, 중거리슛, 축구쇼, 축구팬, 친정팀, 태극마크, 홈팬 

총 63개의 어휘 중 ‘외래어+외래어’ 합성 구성 유형의 외래어 총 26개로 

가장 많이 나타난 반면 ‘고유어+외래어’ 구성의 복합어(합성) 외래어는 ‘소
나기골’ 하나만 출현하였다. ‘외래어+외래어’ 구성의 복합어(합성) 외래어
는 대부분 영어를 어원으로 하고 있었으나 ‘데뷔골(début goal)’과 같이 ‘프
랑스어+영어’와 같이 두 개의 외국어를 어원으로 한 것도 있었다. 

복합어(합성) 구성 중 가장 많은 합성에 관여한 외래어는 ‘골(goal)’과 

‘팀(team)’, ‘팬(fan)’, ‘홈(home)’이다. 이들 어휘와 같이 합성에 관여한 이
른바 ‘생산성이 높은 외래어 조어소’를 살펴보면 아래 [표 5]와 같다. 

[표 5] 생산성이 높은 외래어 조어소 목록

유형

외래어 표현

골 (goal)

골-가뭄, 골-맛, 골-문, 골-잡이, 골-폭죽, 골-폭풍 

결승-골, 극장-골, 데뷔-골, 동점-골, 득점-골, 멀티-골, 선취-골, 소나

기-골, 역전-골, 연속-골, 원더-골, 자책-골

멀티(multi) 멀티-골, 멀티-플레이어

볼(ball)

골든-볼, 볼-보이

백(back)

라이트-백, 백-태클, 센터-백, 윙-백

빅(big)

빅-리그, 빅-매치, 빅-클럽 

쇼(show)

선방-쇼, 원맨-쇼, 축구-쇼 

슈퍼(super) 슈퍼-매치, 슈퍼-팀

슛(shoot)

중거리-슛, 터닝-슛

영(young) 영-건, 영-플레이어

터닝(turning) 터닝-슛, 터닝-포인트


background image

207

외래어의 형태적·의미적 특성 연구 : 한국어 신문 기사 제목을 중심으로┃어지혜

팀(team)

1등-팀, 대표-팀, 슈퍼-팀, 승격-팀, 신생-팀, 친정-팀

팬(fan)

팬-서비스, 팬-심, 팬-투표, 원정-팬, 축구-팬, 홈-팬 

프로(pro)

프로-생활, 프로-스포츠, 프로-연맹, 프로-축구

홈(home)

홈-경기, 홈-구장, 홈-팬

이 가운데 <표준국어대사전>에 등재된 어휘는 ‘골문’, ‘골키퍼’, ‘골잡

이’, ‘자책골’, ‘홈경기’와 ‘홈구장’이었다. 그러나 <우리말샘>에는 총 63개
의 복합어(합성) 구성의 외래어 중 ‘골든볼, 극장골, 득점골, 미디어데이, 블
록코어, 선방쇼, 슈퍼매치, 슈퍼팀, 스타군단, 승격팀, 영플레이어, 원더골, 
프로생활, 프로연맹’의 14개의 어휘를 제외한 48개의 어휘가 등재되어 있
어 복합어(합성) 구성의 외래어 역시 언중 사이에서의 널리 사용되고 있음
을 알 수 있었다. 복합어(합성) 구성 외래어가 쓰인 기사의 제목의 일부를 
제시하면 다음과 같다.

① “윌리안 극장골 서울, 울산과 무승부 “우리는 할 수 있다!””, 조선일보 

2023.08.27

② “친정팀 울린 나상호... 광주FC, FC서울에 1-3 패”, <전남일보>, 

2023.05.09.  

③ “빵사러 온겨~ 축구보러 온겨? 대전 원정팬들에게 물어봤습니다”, <중

도일보>, 2023.05.05.

④ “주민규, 제주전 터닝슛으로 K리그 6월의 골 선정”, <문화일보>, 

2023.07.19. 

⑤ “FC서울, 올시즌 수원 삼성과 슈퍼매치 전승...김진규 감독대행, 일류

첸코 앞세워 1-0 승리 챙겨”, <한국일보>, 2023.09.02.

(3) 복합어(파생) 구성
파생은 어근과 접사의 결합으로 나타나는데 스포츠면 기사 제목에서 

나타난 복합어(파생) 구성은 ‘맞-트레이드, 준-프로, 코치-진’이었다. ‘맞-’


background image

208 

지식과 교양 Vol. 13

은 외래어와 결합한 고유어 접두사로 ‘마주 대하여 하는’ 또는 ‘서로 엇비슷
한’의 뜻을 더하고, ‘준-(準)’은 ‘구실이나 자격이 그 명사에는 못 미치나 그
에 비길 만한’의 뜻을 더하는 한자어 접두사, ‘-진(陣)’은 ‘사람의 무리’ 또는 
‘집단’의 뜻을 더하는 한자어 접미사이다. 복합어(파생) 구성 외래어가 쓰인 
기사의 제목의 일부를 제시하면 다음과 같다. 

① “사령탑 교체부터 맞트레이드까지... K리그 구단들, 후반기 출격준비 

완료”, <한국일보>, 2023.06.23. 

② “‘16세’ 최연소 준프로 축구선수 탄생”, <서울경제>, 2023.07.20.  
③ “부산아이파크 승격 지휘 ‘박진섭 사단’ 코치진 정비”, <부산일보>, 

2023.02.26.

이처럼 복합어를 형성하는 데에 있어 파생보다 합성이 더 생산적인 양

상을 보여주었는데 이는 합성에 쓰인 각각의 단어의 의미를 알면 처음 접
하는 단어라도 그 의미를 어느 정도는 쉽게 예측할 수 있는 것에 비하여 접
사인 ‘맞-’, ‘준-’, ‘-진’은 그 의미를 추측하기가 쉽지 않기 때문으로 해석
할 수 있다.

(4) 절단형 외래어
절단형 외래어는 영어 단어에서 일부를 잘라 동일한 의미로 쓰인 단어

를 말하는데 스포츠면 신문 기사 제목에서 나타난 절단형 외래어는 ‘프로
(←professional’이다. 다만 ‘프로(pro)’는 영어에서도 이미 절단된 형태로 
나타나 ‘프로 (선수)’를 의미하는 명사로 사용되기도 한다. 절단형 외래어가 
쓰인 기사의 제목의 일부를 제시하면 다음과 같다. 

① “‘프로 500경기’ 기성용 “팀에 도움 되지 않으면 언제든 그만둘 것 이

제는 많은 나이””, <세계일보>, 2023.07.13.

② “‘천안시티FC 탈꼴찌 주역’ 이민수, 프로 데뷔골이 결승골”, <충청투

데이>, 2023.09.24.


background image

209

외래어의 형태적·의미적 특성 연구 : 한국어 신문 기사 제목을 중심으로┃어지혜

③ “임영웅 시축에 들썩... 서울-대구전, 코로나 이후 프로 최대관중 기록 

눈앞”, <조선일보>, 2023.04.04.

한편 절단과 합성이 함께 나타나는 이른바 ‘축합형’ 구성의 외래어도 있

었는데 아래 신문 기사 제목에서 나타난 ‘찐팬’이 바로 그것이다. 

① “‘지방 연고 ‘찐팬 문화’ 등장 K리그 ‘구름 관중’ 몰린다”, <경향신문>, 

2023.05.23.

‘찐팬(찐fan)’ 운동 선수, 배우, 가수 또는 제품, 서비스 등을 진심을 다

해 열광적으로 좋아하는 사람을 말하는데, 이는 ‘꾸밈이나 거짓이 없이 
참된 것’의 뜻을 지닌 ‘진짜(眞짜)’에서 출발한 것으로 보인다. ‘진-짜’가 
‘진’ ‘짜’로 절단되고 이후 ‘진’에 강세를 붙여 ‘찐-’을 만든 다음 여기에 ‘팬
(fan)’이 붙어 ‘찐팬’이라는 유행어가 만들어진 것으로 보인다. 

 신문 기사 제목에 출현한 외래어의 형태적 특징을 지금까지의 논의를 

바탕으로 정리하면 아래 [표 6]과 같다.

[표 6] 신문 기사 제목 출현 외래어의 형태적 특징에 따른 분류

유형

외래어 표현

단일어

골, 골키퍼, 그라운드, 데뷔, 듀오, 드리블, 디펜딩, 라이벌, 라이선스, 

레전드, 리거, 리더십, 리베로, 메카, 멤버, 미드필더, 미스, 베테랑, 보이콧, 

스타덤, 스트라이커, 스폰서십, 스프린트, 스피드, 슬럼프, 시즌, 아마추어, 

엠블럼, 오프사이드, 유니폼, 유스, 이벤트, 징크스, 챔피언, 카리스마, 

코치, 쿼터, 킬러, 투어, 트레이드, 트로피, 팀, 패스, 팬, 포지션, 플레이, 

해트트릭

복합어

(합성)

1등팀, 결승골, 골가뭄, 골든볼, 골맛, 골폭풍, 극장골, 다크호스, 대표팀, 

데뷔골, 동점골, 득점골, 라이트백, 멀티골, 멀티플레이어, 미디어데이, 

백태클, 볼보이, 블록코어, 빅리그, 빅매치, 빅클럽, 선방쇼, 선취골, 

세트피스, 센터백, 소나기골, 슈퍼매치, 슈퍼팀, 스타군단, 승격팀, 신생팀, 

역전골, 연속골, 영건, 영플레이어, 원더골, 원맨쇼, 원정팬, 윙백, 자책골, 

중거리슛, 축구쇼, 축구팬, 친정팀, 태극마크, 터닝슛, 터닝포인트, 팬서비스, 

팬심, 팬투표, 프로생활, 프로스포츠, 프로연맹, 프로축구, 프리시즌, 

프리킥, 플레이메이커, 플레잉코치, 하프타임, 홈경기, 홈구장, 홈팬

복합어

(파생)

맞트레이드, 준프로, 코치진 


background image

210 

지식과 교양 Vol. 13

절단

프로

축합

찐팬

등재 의미 외 

쓰임

다이렉트, 더비, 라운드, 스타트, 에이스, 크랙, 크로스, 클럽, 프런트, 

피니셔

2) 의미적 특성

(1) 비유적 표현의 사용
외래어의 의미적 특성 중에서 가장 두드러진 것은 비유적 표현이었으

며 ‘골가뭄’, ‘골폭풍’, ‘소나기골’과 같이 날씨 어휘와 결합하여 나타나는 
비유적 표현이 주로 사용되었으며 모두 득점과 관련해 사용되었다. ‘골가
뭄’은 좀처럼 점수가 나지 않는 상황을, ‘골폭풍’은 연속적으로 다수의 골을 
넣어 득점하는 것을, 마지막으로 ‘소나기골’은 경기에서 한꺼번에 많은 득
점을 하는 것을 비유적으로 이르는 말이다. 이밖에도 득점 상황과 관련되
어 ‘골폭죽’이라는 표현도 사용되었는데 이는 폭죽을 터뜨리듯이 계속적으
로 득점을 하는 것을 뜻한다. 이와 같은 비유적 표현의 외래어가 쓰인 기사 
제목의 일부를 제시하면 다음과 같다. 

① “윤정환호 ‘골가뭄 탈출’ 특명 공격진 전면개편”, <강원도민일보>, 

2023.07.14. 

② “골폭풍 광주FC, 수원삼성 꺾고 3위 등극”, <무등일보>, 2023.08.27. 

③ “막판 소나기골… 빅클럽 앞에서 ‘K리그 저력’ 과시”, <세계일보>, 

2023.07.28.

④ “사상 첫 ‘7골 폭죽’…흥겨운 서울의 밤”, <서울신문>, 2023.07.12. 

(2) 등재 의미 외 쓰임
‘다이렉트, 더비, 라운드, 스타트, 에이스, 크랙, 크로스, 클럽, 프런트, 


background image

211

외래어의 형태적·의미적 특성 연구 : 한국어 신문 기사 제목을 중심으로┃어지혜

피니셔’ 등과 같이 <표준국어대사전>에 등재되어 있는 외래어 표제어이기
는 하지만 <표준국어대사전>에서 제시하고 있는 뜻풀이 외 쓰임으로 나타
나는 외래어의 몇 가지 예를 신문 기사 제목과 함께 살펴보도록 하겠다. 

① 더비

ㄱ.“K리그 올 시즌 첫 '동해안 더비' 무승부”, <한국일보>, 2023.04.22.

ㄴ. “신진호 울고, 임상협 웃고 두 포항 이적생의 엇갈린 ‘경인 더비’”, <한

겨례>, 2023.02.55.

위 기사에 나타난 ‘더비(derby)’란 ‘더비 경기(derby競技)’를 줄여 쓴 것

으로 같은 지역이 연고지인 팀들 간의 경기를 말한다. 그러나 <표준국어대
사전>에서는 인명, 지명의 의미로만 등재되어 있어 사전을 찾는다고 해도 
그 의미를 파악하기는 쉽지 않다.

② 프런트

아래 기사에 나타난 ‘프런트(front)’란 ‘프로 축구나 프로 야구 등에서, 

구단의 행정 업무를 수행하는 사람’의 의미로 사용되었다. 그러나 <표준국
어대사전>에는 ‘호텔 현관의 계산대’라는 의미만 등재되어 있다. 

ㄱ. “통합축구에 ‘진심’인 부천 프런트”, <서울경제>, 2023.10.07.

이러한 예와 관련해서는 그 의미를 면밀히 분석하고 언중의 사용 양상

을 통시적으로 분석하여 사전 등재 여부를 검토해야 할 것이다. 

5. 맺음말

본 연구에서는 ‘외래어’를 외국어를 어원으로 갖는 어휘 중 이미 한국어 

어휘화되었거나 어휘화 과정 중에 있으며, 널리 사용되는 외국어를 어원으
로 갖는 어휘를 ‘외래어’로 보고 2023년 1월 1일부터 2023년 9월 30일까지
의 신문 보도 자료를 분석 대상으로 삼아 최근 신문 기사 제목에 사용된 외


background image

212 

지식과 교양 Vol. 13

래어를 살펴보고 그 형태적 특징과 의미적 특징을 규명하여 신문 기사에 
출현한 외래어의 언어학적 특징을 고찰하고자 하였다.

분석 결과 신문 스포츠면 기사 제목에는 상당수의 외래어가 쓰이고 있

었는데 이는 해당 스포츠가 영어권에서 들어온 것으로 규칙 용어에 있어 
해당 원어를 그대로 받아들여 사용하고 있기 때문이라고 생각한다. 분석 
결과 신문 스포츠면 기사 제목에 출현한 외래어는 ‘그라운드’, ‘라이벌’ 등
과 같은 단일어 유형, ‘극장골’, ‘플레잉코치’ 등과 같은 복합어(합성) 유형, 
‘맞트레이드’, ‘코치진’ 등과 같은 복합어(파생), ‘프로’와 같은 절단형 유형, 
‘찐팬’과 같은 두 가지 이상의 조어 기제로 나타나는 유형의 형태적 특징을 
보이는 것을 알 수 있었다. 의미적 특성에서는 ‘골가뭄’, ‘소나기골’과 같이 
날씨 어휘와 결합하여 나타나는 비유적 표현이 많았으며 <표준국어대사전
>에 등재된 뜻풀이 이외의 쓰임으로 사용되고 있는 외래어도 많았다. 본고
는 신문 기사 제목에 나타난 외래어에 대한 빈도 조사와 통시적 분석을 실
시하지 않아 각각의 외래어가 얼마나 높은 빈도로 사용되는지, 언제부터 
쓰이기 시작하여 한국어 어휘화되었다고 할 수 있는지, 외래어가 쓰이는 
과정에서 의미 변화가 일어나지는 않았는지와 같은 보다 자세한 논의를 다
루지 못했다는 점에서 한계가 있다. 그러나 본 연구를 스포츠, 특히 축구 분
야에서 사용되는 외래어 선정을 위한 기초 작업의 하나로 본다면 축구 관
련 용어 사전 발행이나 사용자 참여형 사전 등재 어휘 검토 등에 있어 참고 
자료로 충분히 의의가 있다고 할 수 있다. 


background image

213

외래어의 형태적·의미적 특성 연구 : 한국어 신문 기사 제목을 중심으로┃어지혜

참고문헌

1. 논저 
강범일, 「신문 언어 변화 양상의 계량적 연구 : 조선일보 1920~2019년 

기사를 중심으로」, 연세대학교 박사학위논문, 2021.

강신항, 「국어 교육과 언어 생활 환경」, 『교육월보』, 142권 0호, 1993, 

21-40쪽.

양명희, 『국어 사용 환경 조사』, 국립국어원, 2005, 12쪽.
권순희 외, 『문식성 향상을 위한 어휘 능력 신장 연구』, 국립국어원, 

2014, 4-5쪽.

김창영 외, 『2020년 국민의 언어 의식 조사 결과보고서』, 국립국어원, 

2020, 105쪽.

김민수, 『국어정책론』, 고려대학교 출판부, 1973.
김수현, 「외래어 표기법 연구」, 이화여자대학교 박사학위논문, 2003.
김종덕, 「외래어와 외국어, 그리고 국어」, 『새국어생활』 27권 1호, 국립

국어원, 2017, 67-89쪽.

김하수, 「한국어 외래어 표기법의 문제점」, 『배달말』 25권, 배달말교육

학회, 1999, 247-259쪽.

김희정, 「영어 차용어의 한국어 수용에 관한 연구」, 경희대학교 석사학

위논문, 2001.

문금현, 「변화된 영어외래어에 대한 한국어 어휘 교육」, 『국어국문학』

193권, 국어국문학회, 2020, 515-541쪽.

민현식, 「국어 외래어에 대한 연구」, 『한국어 의미학』 2권, 한국어의미

학회, 1998, 91-132쪽.

박수정, 「신문테스트에 나타난 주제별 외래어 분석」, 연세대학교 석사

학위논문, 2011.

박창원·김수현(2004), 「외래어 표기 양상의 변천」, 『새국어생활』 14권 2

호, 국립국어연구원, 2004, 59-102쪽.

송철의, 「외래어의 순화 방안과 수용 대책」, 『새국어생활』 8권 2호, 국


background image

214 

지식과 교양 Vol. 13

립국어연구원, 1998, 21-40쪽.

왕   령, 「신문 매체의 외래어 사용양상 연구」, 충남대학교 박사학위논

문, 2021.

원흥연, 「국어 외래어 표기의 변천과 형태적‧의미적 특성 연구」, 건국대

학교 박사학위논문, 2009.

이상억, 「외래어 표기법 문제의 종합 검토」, 『말』 7권, 연세대학교 한국

어학당, 1982, 57-75쪽.

이은영, 「외국인을 위한 외래어 교육」, 『한국어학』 28권, 한국어학회, 

2005, 167-183쪽.

이정희, 「한국어 외래어 교육 목록 선정에 관한 연구」, 『한국어교육』 18

권, 국제한국어교육학회, 2007, 195-220쪽.

이주행, 「신문의 언어 사용 실태와 개선 방안에 대한 연구」, 『국어교육

학연구』 16권, 국어교육학회, 2003, 187-213쪽.

임규홍, 「한국 신문의 외래어 지면 이름에 대한 언어학적 분석」, 『사회

언어학』 11권 1호, 한국사회언어학회, 2003, 193-214쪽.

임홍빈, 「신외래어 표기법의 역사」, 『새국어생활』 15권 2호, 국립국어

원, 1996, 3-40쪽.

정희원, 「외래어의 개념과 범위」, 『새국어생활』 14권 2호, 국립국어원, 

2004, 5-22쪽.

최형강, 「신문의 어휘와 문자 사용 양상 – 외래어, 외국어와 로마자, 한

자의 사용 양상을 중심으로」, 『사회언어학』 15권 2호, 한국사

회언어학회, 2007, 187-213쪽.

한국언론진흥재단, 『언론수용자조사』, 한국언론진흥재단, 2022, 73-75

쪽.

2. 사이트
빅카인즈, https://www.bigkinds.or.kr/, 2023.10.01.
우리말샘, https://opendict.korean.go.kr/, 2023.10.08.
표준국어대사전, https://stdict.korean.go.kr, 2023.10.08.


background image

215

외래어의 형태적·의미적 특성 연구 : 한국어 신문 기사 제목을 중심으로┃어지혜

❚국문초록

본 연구는 한국어 신문 기사 제목의 어휘 사용 양상을 외래어를 중심

으로 살펴보고 이를 형태적 측면과 의미적 측면에서 분석하여 신문 기
사 제목에 출현한 외래어의 언어학적 특징을 고찰하고자 하였다. 본고에
서 분석 대상으로 삼은 것은 신문 기사 중 스포츠면 신문 기사 제목에 
사용된 서양어계 외래어로 본고에서는 최근 나타나고 있는 외래어의 사
용 실태를 분석하기 위해 2023년 1월 1일부터 2023년 9월 30일까지의 
신문 기사를 연구 자료로 삼았다. 한국언론진흥재단에서 제공하는 뉴
스 빅 데이터 분석 시스템 ‘빅카인즈’에서 ‘K리그’를 핵심 검색어로 하여 
총 2,049개의 신문 기사 제목을 1차 추출한 뒤 신문 기사 제목을 확인
하며 외래어 목록을 추출한 결과, 중복값을 제외하고 총 125개의 외래
어 목록을 작성하였다. 분석 결과 신문 스포츠면 기사 제목에 출현한 외
래어는 ‘그라운드’, ‘라이벌’ 등과 같은 단일어 유형, ‘극장골’, ‘플레잉코
치’ 등과 같은 복합어(합성) 유형, ‘맞트레이드’, ‘코치진’ 등과 같은 복합
어(파생), ‘프로’와 같은 절단형 유형, ‘찐팬’과 같은 두 가지 이상의 조어 
기제로 나타나는 유형의 형태적 특징을 보이는 것을 알 수 있었다. 의미
적 특성에서는 ‘골가뭄’, ‘소나기골’과 같이 날씨 어휘와 결합하여 나타
나는 비유적 표현이 많았으며 <표준국어대사전>에 등재된 뜻풀이 이외
의 쓰임으로 사용되고 있는 외래어도 있는 것으로 조사되었다.

주제어 ● 한국어, 외래어, 신문 텍스트, 빅카인즈


background image

216 

지식과 교양 Vol. 13

❚Abstract

Analysis on the Morphological and 

Semantic Characteristics of Loanwords 

: Focused on Korean Newspaper Headlines

Eo, Ji Hye / Yonsei University

The purpose of this study is to examine the morphological and semantic 

characteristics of loanwords of Korean newspaper headliness. In order to 
analyze the recent use of loanwords, newspaper headlines in sports sections 
from January 1, 2023, to September 30, 2023, were analyzed. A total of 
2,049 newspaper article titles were initially extracted using “K-League” as a 
key search term in Big Kinds, a big data analysis system for news provided 
by the Korea Press Foundation, and then the titles of the newspaper articles 
were checked and a list of loanwords was compiled. As a result, a total of 125 
loanwords appeared. Several significant features of loanwords are discovered 
in this study. Loanwords that appear in the newspaper headlines are single 
words and complex words. Complex words are created by derivation, 
compounding, and clipping. Loanwords are combined with other loanwords, 
native words, and Chinese characters to form compound words, and foreign 
words are used as morphemes to expand the vocabulary and create new 
loanwords. 

Keyword ● Korean Language, Loanwords, Newspaper Text, Big Kinds

❙논문투고일:2023.10.24.❙심사완료일:2023.11.28.❙게재확정일:2023.11.28.❙


background image

217

1. 서론

공간적 제약을 벗어난 현대 사회에서 국가와 민족의 개념은 특수성보

다는 보편성 차원에서 인식되는 경우가 많으며, 이 경우 국가와 민족의 경
계(境界)는 경계(警戒)해야 하는 대상이 된다. 이미 다수의 외국인이 한국
에 살고 있고, 그보다 많은 동포가 해외에 살고 있다. 법무부에서 제시한 우
리나라에 체류하는 외국인만 보더라도 224만 5천 명을 넘어섰고, 이들 중 
단기 체류 외국인을 제외한 장기 체류 외국인만도 169만 명1)에 육박한다. 
이는 전체 인구수와 대비하여도 높은 수치로 볼 수 있다. 뿐만 아니라 외교

* 본 논문은 2022년 알-파라비 카자흐국립대학교에서 개최된 국제학술대회

(2022.10.29.)에서 발표한 원고를 수정하고, 보완한 것임.

** 공주대학교 교양학부 조교수
1) 법무부, https://www.moj.go.kr/moj/2412/subview.do, 2023.10.05. 

고려극장의 세계문화유산적 가치 탐색*

유   리**

1. 서론
2. 세계문화유산의 의미 및 카자흐스탄의 세계문화

유산

3. 고려극장의 문화적 가치
4. 결론 및 제언

목  차

https://doi.org/10.54698/kl.2023.13.217


background image

218 

지식과 교양 Vol. 13

부는 2023년 기준 재외동포의 현황을 708만 1천 명으로 집계하였다.2) 외
국인이 우리나라로 오든, 우리 동포가 외국으로 떠나가든 하나의 국가 내
에서도 다양한 민족과 문화가 공존하는 모습은 이제 일상적인 삶의 형태가 
되었다. 이렇게 국경이 더 이상 삶의 경계로 자리하지 않은 것은 최근의 일
만은 아니다. 19세기 후반 조선의 농민들은 간도로 이주하여 조선족의 삶
을 살았고, 20세기 초반 한인 노동자들은 미국 하와이로 떠나 재미한인으
로 디아스포라의 삶을 살았다. 

또 다른 디아스포라인 고려인 역시 이주의 역사를 가지고 있다. 러시아

의 공식 기록에 따르면 고려인은 1864년 연해주로 이주해 온 것으로 되어 
있다.3) 이들은 조선 조정의 이주 억제 정책과는 달리 러시아의 적극적 이주 
정책과 환대 속에 활발하게 이주하였다. 1800년대 후반에는 기근과 불안한 
국내 사정이 이주의 동기로 작용하였지만, 1900년대 초에는 일본의 침략
으로 인한 도피가 동기가 되었다. 1920년대 러시아는 유화정책을 통해 조
선인을 지원하였으며, 이와 함께 동화정책을 병행하였다. 이러한 정책들로 
인해 조선인의 러시아 이주는 더욱 활발해졌다. 

그러나 1937년, 러시아에 살던 고려인 17만여 명은 터전을 잃고, 스탈

린에 의해 중앙아시아로 무기력하게 집단 강제이주를 당했다. 스탈린은 일
본과의 전쟁에 앞서 조선인들의 일본군에 대한 협력 가능성이라는 군사적 
이유, 또한 조선인이 일본 스파이로 활동하고 있다는 판단을 이유로 고려
인을 강제 분산시켰다. 이는 '떠난 온 자들이 다시 떠나보내지는' 고려인 디
아스포라들의 비극적 사건이었다. 중앙아시아 고려인들은 재중, 재일, 재
미한인들과는 다르게 완전하게 집단적으로 강제이주를 당했다는 특징을 
갖는다.

2) 외교부, http://www.oka.go.kr/oka/information/know/status/, 2023.11.16.
3) 전승민, 󰡔유라시아의 중심국 카자흐스탄 이야기󰡕, 들녘, 2002, 384쪽.


background image

219

고려극장의 세계문화유산적 가치 탐색┃유  리

이주의 과정도 어려운 과정이지만, 또다시 삶의 터전을 잃고 떠나야만 

하는 강제이주가 더욱 힘든 과정이었을 것임은 자명하다. 강제로 이주하게 
되어 소수민족으로 살아가는 과정에서 고향에 대한 그리움의 감정을 꺼내
놓는 것조차 두렵거나 위험한 일이 될 수 있었던 상황을 상상해 보는 것만
으로도 그들의 어려웠던 과거를 조금이나마 짐작할 수 있을 것이다. 그러
나 우리가 역사적으로 경험했듯 강제력만으로 인간의 정신이 말살되지는 
않는다. 강제로 이주하게 된 땅에서도 고려인들의 문화는 형성되고, 발전
되었는데 이러한 문화 전파의 몫을 담당했던 대표적인 기관 중 하나가 고
려극장이다. 

고려극장은 연해주에서부터 한민족의 정체성을 보전하는 역할을 담당

해 왔으며, 현재는 카자흐스탄 고려인 동포 사회의 구심적 역할을 하고 있
다. 역사적 가치와 문화 보존이라는 고려극장의 의미와 역할을 고려할 때 
고려극장은 유산으로서의 의미가 있다고 본다. 주지하듯이 유산은 과거
로부터 물려받아 오늘날까지 이어지며, 후손에게까지 물려줄 가치가 있
는 재산 및 문화를 말한다. 특히 유네스코 세계유산위원회는 세계유산협약
(1972)에 의거하여 인류 전체를 위해 보호해야 할 가치가 있는 유산을 세계
유산으로 지정하여 관리하고 있다.  

본 연구는 고려극장의 과거와 지향을 통해 그 역사·문화적 가치와 역할

에 대해 살피고, 고려극장이 지니는 유산으로서의 의미를 밝힘으로써 고려
극장의 세계문화유산적 가치를 탐색해 보고자 한다. 이를 위해 먼저 세계
문화유산의 의미, 세계문화유산 등재 절차와 기준을 파악하고, 고려극장의 
가치를 유네스코의 세계유산 평가기준으로 분석하고자 한다. 고려극장에 
대한 연구와 논의는 지속적으로 이루어져 왔음에도 불구하고 아직 고려극
장의 세계문화유산적 가치에 대한 연구는 찾아볼 수 없다.

지금까지의 고려극장과 관련된 연구는 고려극장에서 공연된 작품들과 


background image

220 

지식과 교양 Vol. 13

관련된 논의가 주를 이룬다. 논의의 대상이 된 작품들의 범위에는 음악 활
동,4) 춤예술 활동5)과 더불어 연극 활동 등이 포함된다. 서인화(2023)에서는 
고려극장과 고려인 가무단에서 활동한 13인의 원로 예술가와 관계자를 대
상으로 고려극장과 고려인 가무단의 민족 구성과 공연의 특징을 밝히고, 
전망을 제시하였다. 고려극장에서는 카자흐스탄의 작품을 공연하기도 하
지만, 우리 민족의 고전이 연극화되어 무대에 오른다. 주요철(2003)에서는 
고려극장에서 공연된 한국의 고전 작품을 통해 고려인의 연극 형태를 알아
보고, 한국의 고전 작품을 계승하고자 한 고려인들의 배경을 토대로 고려
극장의 연극사적 의의를 밝혔다. 조규익(2009)에서는 1932년부터 2009년
에 이르기까지 고려극장에서 공연된 연극의 내용과 흐름을 구체적으로 밝
히며, 고려극장의 존재의미와 가치에 대해 논의하였고, 조규익(2013)에서
는 고려극장에서 불린 노래들의 텍스트 양상과 갈래를 확인하며, 주제 의
식의 양상을 살펴보았다. 또한 전선하(2021)에서는 고려극장 무대 미술가
들의 전기와 시대별 변천양상을 살피며, 이를 통해 극장 정체성의 변화에 
대해 논의하였다. 

이상의 고려극장에 대한 논의는 대체로 공연된 작품들과 관련하여 주

제 및 양적 확대가 이루어지고 있어 논의의 성과가 점차 누적되고 있다. 하
지만, 고려인 디아스포라 문학과 관련된 연구 성과에 비하여, 그리고 고려
극장이 지니는 자체적인 역사적, 문화 예술적 가치에 비하여 여전히 미미
한 것이 사실이다. 이에 본고에서는 세계문화유산 평가기준 항목별 충족 
여건을 통해 고려극장의 의미를 밝힘으로써 세계문화유산적 가치를 탐색

4) 김보희, 「소비에트시기 고려극장의 역사와 음악활동-원동시기를 중심으로-」, 

󰡔한국음악연구󰡕 46권, 한국국악학회, 2009, 5-30쪽.

5) 양민아, 「문화허브로서 유라시아 한인예술단체의 역할과 비전-카자흐스탄 국립 

고려극장의 춤예술 활동을 중심으로-」, 󰡔한국문학과 예술󰡕 41권, 사단법인 한국

문학과예술연구소, 2022, 135-164쪽.


background image

221

고려극장의 세계문화유산적 가치 탐색┃유  리

하고자 한다. 

2.  세계문화유산의 의미 및 카자흐스탄의 세계문화유산

1) 세계문화유산의 개념과 유형 및 기준

유네스코는 1972년, 이집트의 아스완 하이 댐 건설로 수몰 위기에 놓인 

고대 누비아 유적의 보호를 위해 '유네스코의 세계 문화 및 자연 유산 보호 
협약 사업'을 시작하였다.6) 세계유산은 유네스코에서 인류 전체를 위해 보
호해야 할 탁월한 보편적 가치(OUV: Outstanding Universal Value)가 있
다고 인정한 유산으로 문화유산, 자연유산, 복합유산으로 분류한다. 기념
물, 건조물군, 유적지를 문화유산이라고 하고, 자연의 기념물로서 자연지
역이나 자연유적지는 자연유산에 해당한다. 마지막으로 문화유산과 자연
유산의 특징을 동시에 충족하는 유산은 복합유산에 해당한다. 

세계문화유산은 그 특성에 따라 모뉴멘탈형, 사건형, 시리즈형, 정주형

으로 유형을 구분할 수 있다. 모뉴멘탈형 문화유산은 건축의 고유성과 독
특성을 갖는 기념물의 성격이 강하고, 사건형 문화유산은 역사적 기억으로
서의 가치를 중시하여 장소적 의미가 큰 유산이다. 시리즈형 문화유산은 
분산된 지역에 분포해 있으나, 연속적인 유산 가치를 지닌다고 판단되어 
집합적으로 등재된 유산을 말한다. 정주형 문화유산은 사람이 유산 내에 
거주하는 정주성을 바탕으로 한 도시나 마을이다.7)

고려극장은 기념물, 건조물군에 속하는 문화유산, 그리고 역사적 기억

으로서의 가치가 중시되는 사건형 문화유산으로 분류될 수 있다. 여기에서
는 고려극장의 세계문화유산적 가치를 분석하기 위해 먼저 세계문화유산

6) 유네스코와 유산, https://heritage.unesco.or.kr/유산소개/유네스코-유산사

업-소개, 2022.11.10.

7) 강동진 외, 「세계유산의 등재, 그 의미와 보존관리의 현안」, 󰡔도시정보󰡕 374권,

대한국토도시계획학회, 2013, 5쪽.


background image

222 

지식과 교양 Vol. 13

의 기본적인 기준에 대해 살펴보고자 한다. 세계유산의 등재 기준은 세계
유산협약 이행을 위한 운영지침에 10가지 항목으로 명시되어 있다. 이는 
전술한 탁월한 보편적 가치의 평가기준에 해당한다.8) 세계문화유산 신청은 
아래의 모든 평가기준을 충족해야 하는 것이 아니라 1개 이상의 기준만 충
족하면 가능하다. 다음의 표는 세계문화유산 평가 기준을 제시한 것이다.9) 

[표 1] 세계문화유산 평가기준

기준

1. 인간의 창의성으로 빚어진 걸작에 해당해야 한다.

2. 일정한 시기 또는 세계의 일정한 문화권 내에서 건축이나 기술, 기념비적인 예술, 도시계

획이나 조경 디자인의 발전에 있어 인류 가치의 중요한 교환을 보여주어야 한다.

3. 현존하거나 사라진 문화적 전통이나 문명의 유일한 또는 적어도 독보적인 증거여야 

한다.

4. 인류 역사에서 중요한 단계를 예증하는 건물유형, 건축이나 기술의 총체 혹은 경관의 탁

월한 사례여야 한다.

5. 하나의(또는 여러) 문화 혹은 특히 되돌릴 수 없는 변화의 영향으로 취약해진 환경과 인

간의 상호작용을 대표하는 인간의 전통적 정주지, 토지 이용 또는 바다 이용의 탁월한 사

례여야 한다. 

6. 탁월한 보편적 중요성이 있는 사건이나 살아있는 전통, 사상이나 신앙, 예술, 그리고 문

학 작품과 직접 또는 유형적으로 연관되어야 한다.

7. 최상의 자연현상이나 독보적인 자연미와 미학적 중요성을 지닌 지역을 포함해야 한다.

8. 생명의 기록이나 지형의 발전에서 진행 중인 중요한 지질학적 과정, 중요한 지형학 또는 

자연지리학의 특징물 등 지구 역사상 주요 단계를 보여주는 탁월한 사례여야 한다.

9. 육상, 민물, 해안 및 해양 생태계와 동식물 군락의 진화와 발전에서 진행 중인 중요한 생

태적·생물학적 과정을 보여주는 탁월한 사례여야 한다.

10. 과학이나 보존의 관점에서 탁월한 보편적 가치를 지닌 멸종위기종 등 생물학적 다양성

의 현장 보존을 위해 가장 중요하고 의미 있는 자연 서식지를 포함해야 한다.

세계유산에 등재되기 위해서는 무엇보다 탁월한 보편적인 가치가 인정

되어야 한다. 이것은 국경이라는 공간을 초월하고, 과거에서부터 미래라
는 시간을 초월하여 전 인류에게 중요하다고 판단될 만한 중요성이 있어야 

8) 이전에 10가지의 기준은 문화유산 기준 6가지, 자연유산기준 4가지로 나누어 제

시되었으나 세계유산위원회 제6차 특별회의에서 10개의 기준을 통합하기로 결

정되었다.

9) 문화재청 세계유산팀, 󰡔세계유산협약 이행을 위한 운영지침󰡕, 문화재청, 2019,

49-51쪽.


background image

223

고려극장의 세계문화유산적 가치 탐색┃유  리

한다는 의미이다. 이 외에도 탁월한 보편적 가치를 인정받기 위해서는 대
상이 되는 유산이 완전성(integrity) 및/또는 진정성(authenticity)의 조건
을 충족해야 한다. 완전성은 유산들의 속성의 완전함과 온전함을 가늠하는 
척도이다. 해당 유산의 중요한 특징이 양호한 상태여야 하고, 쇠락 과정의 
영향이 통제되어야 하며, 유산이 지닌 가치 전체를 전달하는데 필요한 요
소들의 상당 부분이 포함되어야 한다. 진정성은 해당 가치에 대한 정보원
이 어느 정도의 신뢰성과 진실성을 갖고 있느냐와 관련된다. 정보원은 물
리적 정보, 서면 및 구두 정보, 조형적 정보로 정의되며, 이를 통해 해당 유
산의 성격과 특수성, 의미, 역사를 이해할 수 있다.10) 이러한 기준들을 충족
시키는 유산이 세계유산목록에 등재되기 위해서는 등재근거를 명확히 밝
힌 신청서를 제출해야 한다. 세계유산 위원회는 여러 나라에서 제출된 신
청서를 검토하고 전문가들의 도움을 받아 세계유산 목록에 등재할 유산을 
최종적으로 결정하게 되는데 문화유산 신청서는 국제기념물유적협의회
(ICOMOS)가, 자연유산 신청서는 국제자연보전연맹(IUCN)이, 복합유산은 
국제기념물유적협의회(ICOMOS)와 국제자연보전연맹(IUCN)이 공동으로 
평가를 담당한다. 자문기구의 안내에 따라 세계유산위원회는 등재, 등재불
가, 보류, 반려를 결정하고, 당사국에 결정을 통지한 이후 최신 세계유산목
록을 공개한다. 

2) 카자흐스탄의 문화유산

세계유산 중에서 가장 많은 수를 차지하고 있는 것은 문화유산이다. 문

화유산은 유럽과 북아메리카에 가장 많이 분포해 있고, 아시아와 태평양 
지역이 그 뒤를 잇고 있다. 본 연구의 대상이 되는 고려극장은 카자흐스탄
에 위치해 있으며, 카자흐스탄에는 지금까지 총 3개의 문화유산이 등재되

10) 문화재청 세계유산팀, 앞의 책, 2019, 51-55쪽.


background image

224 

지식과 교양 Vol. 13

어 있다.11) 여기에서는 등재되어 있는 카자흐스탄의 문화유산에 대해 살펴
보고자 한다. 

먼저, 코자 아흐메드 야사위의 영묘(The Mausoleum of Khoja Ahmed 

Yasawi)이다. 이는 2003년 등재된 문화유산으로, 티무르 왕 때 이슬람 신
비주의 운동인 수피즘의 대표적 학자인 코자 아흐메드 야사위를 위해 현 
투르키스탄(Turkistan) 시의 동북쪽에 지어졌다. 이 영묘는 티무르 시대의 
대표적인 건축물이며, 규모가 가장 크고 보존이 잘 되어 있다.12) 티무르 시
대의 건축적 성과로 이슬람교 건축물 발달에 기여하였고, 중앙아시아 지역 
문화와 건축 기술 발달을 보여주며, 티무르 시대 건축 역사를 이해하는 데 
중요한 참고 자료가 된다는 점에서 1절에서 밝힌 (1), (3), (4)의 기준을 충족
시킨다.13) 

다음으로 2004년에 등재된 탐갈리의 암각화(Petroglyphs within 

the Archaeological Landscape of Tamgaly)이다. 이는 세미레체
(Semirech’e) 주 알마티(Almaty) 서북쪽 170km 떨어진 탐갈리 계곡 츄
일리 산 48개소에 집중되어 있는 5천여 개의 암각화이다. 이들은 기원전 
1500년 전부터 20세기 초까지 만들어졌으며, 암각화를 통해 그들의 목축, 
사회조직과 의식도 알 수 있다.14) 이 암면 조각들은 청동기 시대부터 현대
까지의 중앙아시아 스텝 지역 유목민들의 삶과 신앙을 보여주어 (3)의 기준
을 충족시킨다.15)

11) 자연유산으로는 2008년에 등재된 사랴르카 초원·호수 지역과 2016에 등재된 톈

산 산맥 서부 지역이 있다. 이 외에도 카자흐스탄에서 행해지는 경기, 게임, 전통 

예술 등의 문화가 무형문화유산으로 등재되어있다.

12) 최몽룡, 󰡔세계문화유산󰡕, 주류성, 2021, 831쪽.
13) 유네스코와 유산, https://heritage.unesco.or.kr/코자-아흐메드-야사위의-

영묘, 2022.11.10.

14) 최몽룡, 위의 책, 2021, 832쪽.
15) 유네스코와 유산, https://heritage.unesco.or.kr/탐길리-고고-경관의-암면-

조각, 2022.11.10.


background image

225

고려극장의 세계문화유산적 가치 탐색┃유  리

또 다른 문화유산인 실크로드(Silk Roads: Initial Section of the Silk 

Roads, the Routes Network of Tian-shan Corridor)는 2014년에 등재되
었다. 실크로드는 중앙아시아의 정주문화권을 관통하였으며, 유목민과 정
주민들 문명 사이의 교류를 보여준다. 실크로드와 관련된 역사 유적들은 
대부분 우즈베키스탄 영역 내에 위치하고 있음에도 불구하고, 실크로드는 
중국에서부터 카자흐스탄, 키르기스스탄에 걸쳐 있는 길로 약 5,000km에 
이르는 넓은 구간에 해당하여 본 연구에서 주목하는 카자흐스탄 유산의 영
역에도 속한다. “이 도로망은 기원전 2세기에서 서기 1세기 사이에 형태를 
갖추어 16세기까지 이용되었고, 여러 문명을 잇고, 무역과 종교, 신앙, 과
학, 지식, 기술 혁신, 문화 관습, 예술 등 다양한 활동 분야에서 폭넓은 교류
를 촉진”한 것이다. 실크로드는 유라시아 대륙에서 진행된 다양한 문화의 
지속적인 상호교류를 실증적으로 보여주며, 도시와 마을의 발달, 여행자의 
편의와 안전을 위한 시설, 종교 발현 등 유라시아 대륙의 사회적 발전에 대
한 증거를 가진다. 또한 정교한 물 관리 체계를 기반으로 한 도시 발달 촉진 
과정을 보여주며, 장건을 중심으로 한 사신단의 서역 파견, 동아시아 문화
에 영향을 미친 불교의 조명, 이슬람교 확산에 대한 증거를 담고 있기 때문
에 (2), (3), (5), (6)의 기준을 충족시킨다.16)

지금까지 등재된 카자흐스탄의 문화유산은 다른 문화유산들과 마찬가

지로 세대를 거쳐 전승된 인간에 의해 만들어진 인공적인 산물들이다. 그
러나 단순한 의미의 산물이 아닌 역사·문화적 측면에서 가치를 지니거나, 
과거의 삶을 이해하는 데에 도움이 되는 산물에 해당한다. 카자흐스탄의 
고려극장 역시 인간이 만든 인공적인 산물로 단순한 무대공간이나 건축물
로서의 가치가 아니라 고려인의 역사, 그들의 삶과 문화를 담고 있다는 점

16) 유네스코와 유산, https://heritage.unesco.or.kr/실크로드-창안-톈산-회랑-

도로망, 2022.11.10.


background image

226 

지식과 교양 Vol. 13

에서 문화사적 가치가 동시에 담긴 공간이다. 고려극장에서 공연된 작품들 
역시 작품의 미적 의미보다 역사적 의미의 비중이 크게 반영17)되었다는 지
적은 이를 방증한다고 볼 수 있다.

3.  고려극장의 문화적 가치

1) 고려극장의 과거와 지향

극장의 사전적 의미는 ‘연극이나 음악, 무용 따위를 공연하거나 영화를 

상영하기 위하여 무대와 객석 등을 설치한 건물이나 시설’18)이다. 극장의 
사전적 의미에서 알 수 있듯이 극장은 다양한 예술의 형태를 담아낼 수 있
는 다목적 공간이라는 의미를 지닌다. 따라서 음악관, 무용관, 영화관 등의 
개별 예술을 장르별로 수용하는 전용 공간의 의미보다 더 넓은 함의를 지
니게 된다. 극장은 공간의 가치와 의미에 더해 문화적, 사회적, 경영적 가치
가 공존하는 장소이다. 그렇기 때문에 예술의 공공성을 실현하면서 때로는 
관객들의 다양한 욕망을 충족시키는 장이 되기도 하며, 극장이 있는 지역 
사회에서 살아가는 사람들 간의 공동체 의식을 형성해주기도 한다. 이렇듯 
극장은 무대예술, 공연예술이라는 특수 목적을 위한 기능을 하는 공간이지
만, 예술이 행해지는 단순한 공간으로만 볼 수 없고, 사회·문화적인 가치를 
실현할 수 있는 장소로 이해하는 것이 온당하다. 이러한 극장의 기능을 고
려할 때, 무대에서 공연되는 작품에 대해서도 주목해야 한다. 어떤 콘텐츠
로 무대가 연출되는지에 따라 극장의 기능 역시 달라질 수 있기 때문이다. 
특정한 시기의 극장 콘텐츠의 성격을 분석해 보면, 그 시기 극장의 기능을 
확연하게 확인할 수 있다. 또한 극장의 경영 방식에 따라서도 극장은 다양
한 사회적 역할을 수행할 수 있다. 

17) 조규익, 「카자흐스탄 국립 고려극장의 존재의미와 가치」, 󰡔한국문학과 예술󰡕 4

권, 한국문학과예술연구소, 2009, 74쪽. 

18) 국립국어연구원, 󰡔표준국어대사전󰡕, 두산동아, 1999, 805쪽.


background image

227

고려극장의 세계문화유산적 가치 탐색┃유  리

카자흐스탄에 있는 고려극장은 구소련 한인들의 문화 예술의 상징이

다. 고려극장은 '원동변강조선인연극단'이라는 명칭으로 1932년 러시아 연
해주의 블라디보스토크(Vladivostok)에서 창단되었으며, 러시아에서 창
설되었지만 1937년 고려인의 강제이주 과정에서 카자흐스탄으로 옮겨졌
고, 강제이주 시기를 거친 이후에도 유지되어 문화 보존의 역할을 담당해 
왔다. 디아스포라의 삶과 닮아 있는 고려극장은 여러 차례의 지난한 변화
를 거쳐 현재 카자흐스탄 국립으로 운영되고 있으며, 세계 최초의 우리말 
전문 연극극장이라는 의미와 함께 한민족 공연단체 중 가장 오래된 단체로 
한민족 공동체 문화 예술의 상징으로 자리 잡았다. 

고려극장은 고려인들과 항일 지사들에 의해 전통 문화를 보존하고, 유

지하고자 설립된 기관으로 여기에서는 고려인 혹은 러시아 극작가들에 의
해 창작, 번역, 번안된 연극들을 통해 고려인들의 삶과 문화, 역사가 무대에 
올려졌다.19) 전술한 바와 같이 극장은 사회·문화적인 가치를 실현할 수 있
는 장소이다. 고려극장 역시 소련시기에는 사상 교육을 위한 도구가 되어 
공산주의 윤리와 프롤레타리아, 사회주의 리얼리즘을 다룬 작품들이 상연
되기도 하였고, 고려인들의 사회와 문화의 중심으로, 고려인들을 결속시켜
주는 구심체 역할을 하기도 하였다. 여기에서는 전통적 한국 이야기 중심
의 작품을 상연함으로써 전통예술, 우리말 보존의 역할을 하며 민족정신을 
일깨웠다. 스탈린의 강력한 대소련 동화정책으로 인해 소수민족들의 권리
가 박탈되고, 민족이 정체성을 유지하지 못하게 되는 외부적 압력 속에서
도 이들은 한국어 작품들을 꾸준히 무대에 올리며 민족문화를 계승하고 발
전시키고자 노력20)하였던 것이다. 

고려인들은 소수민족으로서 고초를 겪으며 체제에 적응하며 살아 왔

19) 조규익, 앞의 논문, 2009, 54쪽.
20) 윤두영, 「카자흐스탄의 국립 고려극장 공연에 나타난 문화상호주의」, 중앙대학

교 대학원 석사학위논문, 2021, 35쪽.


background image

228 

지식과 교양 Vol. 13

고, 자신들의 삶의 방식을 체제에 대응시키면서도 변화하는 시대 환경 속
에 사회경제적 물적 토대를 확보하기 위한 노력을 기울였다.21) 고려극장에
서도 이러한 적응의 방식으로 소비에트체제와 독립 카자흐스탄공화국 내
에서 정부 정책에 부응하는 한편, 끊임없는 예술적 진화에 대해서도 고민
하였다. 그렇기 때문에 우리민족에게 친숙한 작품이 공연되었지만 그 의미 
해석에 있어 한민족의 정서를 반영하기보다 소비에트적 이상을 실현하는 
데에 적합한 인물을 모색하기도 하였다. 또한 중앙아시아 현지인들의 공감
을 얻기 위한 재가공이 이루어지기도 하였다. 우리에게 친숙한 <홍길동전>
의 경우에도 홍길동이 유산계급에 대한 착취나 불평등한 사회구조에 저항
하는 인민의 대변자라는 이미지로 각색된 것도 이러한 맥락이다.22)

한편 스탈린은 중앙아시아에 거주하는 고려인에게 조선어 사용을 한정

적으로 허용했는데 <레닌기치>와 고려극장이 그 예에 해당한다. 조선어가 
사용된다고 해도 스탈린의 소비에트 정신을 찬양하는 내용23)에 초점이 맞
추어질 수밖에 없었지만, 조선어의 한정적 허용은 언어의 상실, 문화의 단
절 상황에서도 민족적인 특성을 일깨워 주고, 민족사를 이어가기 위한 노
력이 지속될 수 있도록 하였다. 이 외에도 고려극장의 과업 중 하나는 고려
인 관중들을 소련에 거주하는 다른 민족들의 문화유산과 접촉시키는 것24)
이었다. 그렇기 때문에 고전극이나 창작극 외에 러시아와 유럽의 주요 작
품들을 번역, 개작하여 무대에 올림으로써 고려인들이 다양한 문화를 접할 

21) 정형호, 「고려인 공연예술 단체의 독립 이후의 활동과 민족 정체성」, 󰡔무형유산

학󰡕 6권 2호, 무형유산학회, 2021, 29쪽.

22) 박영은, 「고려극장에서 상영된 중앙아시아 희곡의 역사·문화·예술사적 지형도 

연구-문화 접변과 습합을 통한 시대적 수용과 변용 양상을 중심으로」, 󰡔슬라브

학보󰡕 34권 2호, 한국슬라브유라시아학회, 2019, 73쪽.  

23) 이명재 외, 󰡔억압과 망각, 그리고 디아스포라-구소련권 고려인문학󰡕, 한국문화

사, 2004, 344쪽.

24) 이류보위, 「민족문화 발원지로서의 고려극장」, 󰡔한국문학과 예술󰡕 4권, 숭실대

학교 한국문학과예술연구소, 2009, 6쪽. 


background image

229

고려극장의 세계문화유산적 가치 탐색┃유  리

수 있었다.25) 이는 고려극장이 다른 문화와의 융합을 통한 새로운 문화의 
형성 과정과 보존 등을 통한 가치를 형성할 수 있는 기회를 제공한 것으로 
볼 수 있다. 

스탈린의 강제이주 정책 이후에도 고려극장은 한민족의 문화적 전통과 

언어 보존을 위한 역할을 수행하며 고려인들에게 정신적 위안을 주는 장소
로서 존재하였다. 또한 소련의 체제 붕괴 이후 현재까지도 고려극장은 CIS 
국가의 한인 디아스포라의 문화 허브로서의 역할26)을 담당하며, 한국의 공
연단체와 극장들과도 적극적으로 교류하는 활동을 지속하고 있다. 2019년 
6월에는 3·1운동과 대한민국 임시정부 수립 100주년을 기념하여 고려극장
이 내한하여 연극 '날으는 홍범도 장군'을 공연하였다. 이 공연은 고려인 3, 
4세 배우들이 연습한 한국어로 진행되었다. 또한 2021년, 한국연극협회에
서는 카자흐스탄 작품인 <안녕, 굴사르>를 번역하여 국내 공연팀과 현지 
예술가와 온라인 협업을 통해 공연작을 만들었다. 고려극장은 과거의 영광
에 머물고 있는 것이 아니라 여전히 활발하게 디아스포라 문화의 중심 역
할을 담당하고 있다. 

2) 고려극장의 세계문화유산적 가치

고려극장은 창립된 이후부터 현재까지 고려인 디아스포라의 삶을 여실

히 보여주며, 문화적 교류의 장으로서 역할을 해 왔다. 중앙아시아로 강제
이주되어 디아스포라의 고난을 겪는 사람들을 위로하는 역할을 극장이 했
다는 것은 세계 연극사에도 드문 일27)에 해당한다. 고려극장은 고려인들이 

25) 홍웅호, 「레닌기치를 통해 본 스탈린시기 카자흐스탄 고려극장」, 󰡔사림󰡕 54권,

수선사학회, 2015, 315쪽.

26) German N. KIM, Youngsarm HWANG, “Korean Theater in Kazakhstan as 

a Cultural Hub of the Diaspora”, Korea Journal 59권 2호, The Academy 

of Korean Studies, 2019, pp.177-201. 

27) 박영은, 「이오시프 김의 <소비에트 고려극장>」, 󰡔중소연구󰡕 41권 4호, 한양대학

교 아태지역연구센터, 2018, 260쪽. 


background image

230 

지식과 교양 Vol. 13

강제이주의 상황에서도 문화를 통해 소통하고자 했던 정황을 드러내는 장
소로, 문화적 전통을 보존하고자 하는 증거로 기능한다.

[그림 1] 고려극장 외관 및 내부 

(상단, 왼쪽에서부터 고려극장 외관 및 현판, 공연장 입구, 외투 보관 장소, 

공연장 무대, 공연장 내 방송실, 역사기념관, 관객석, 고려극장 영예표식 훈장)

여기에서는 현재까지 등재된 세계유산의 사례 중 본 연구에서 주목하

고자 하는 고려극장과 유사한 성격의 문화유산들의 등재기준을 살펴보고
자 한다. 일반적으로 건물이 세계문화유산으로 등재된 경우는 대체로 전술
한 (2)와 (4)의 기준을 충족시키는 경우에 해당한다. 그러나 키질로르다(Қы
зылорда)에서 옮겨져 현재 알마티에 소재하는 고려극장은  건물 자체의 
의미에 초점이 있는 것이 아니라 고려극장이 지니는 역사·문화적 가치에 
더 초점이 있다. 그렇기 때문에 건물유형, 건축이나 기술의 탁월한 사례가 
아니라 역사 혹은 문화적 가치의 기준에 초점을 두어야 한다고 본다. 


background image

231

고려극장의 세계문화유산적 가치 탐색┃유  리

이러한 관점에서 고려극장의 가치와 유사한 가치 특성을 지닌 문화유

산으로 분류될 수 있는 것은 엘 젬의 원형극장과 중국의 마카오 역사중심
지이다. 이들은 문화적 전통 혹은 문명의 증거 역할을 하며, 보편적 중요성
이 있는 사건이나 전통과 관련되어 있다는 점에서 고려극장과 유사한 가치
를 지니고 있다. 고려극장과 유사한 가치 특성을 지닌 문화유산과 비교하
여 고려극장이 지니는 가치를 명확하게 하기 위해 이들의 등재기준을 살펴
보고자 한다. 

엘 젬의 원형극장(Amphitheatre of El Djem)은 튀니지의 작은 마을 엘 

젬의 콜로세움 중 하나로 로마 제국의 위엄과 규모를 보여주는 문화유산이
다. 작은 도시에 복합 건물을 건설한 것은 로마 제국을 과장되게 선전하고
자 했던 징후로 보여 등재기준 (6)에 해당한다.28) 중국의 마카오 역사중심지
(Historic Centre of Macao)는 중국과 서양의 지속적인 교류를 보여주는 
지역으로 동서양이 만나는 독특한 장소이자 증거를 보여주는 유산이다. 이
는 다양한 문화들의 융합을 보여주어 등재기준 (3)에 해당하고, 문화 교환 
과정을 통해 형성된 사상들이 중국의 변화를 촉진하는 데 결정적인 역할을 
하여 등재기준 (6)에 해당한다.29)

고려극장은 창단된 이래로 지금까지 세대를 거듭하며 점차 사라지고 

있는 고려인의 언어를 포함한 문화적 전통을 다양한 문화 예술의 형태를 
통하여 보존하는 역할을 해왔다. 또한 카자스흐탄 소재 극장이지만, 고려
인 디아스포라의 원형인 한민족의 문화를 곳곳에서 발견할 수 있다. 고려
극장에서 볼 수 있는 한민족 관련 요소의 하나로 독립운동을 하며 한인들
에게 민족 의식을 고취시킨 홍범도 장군과 고려극장의 연관성을 들 수 있

28) 유네스코와 유산, https://heritage.unesco.or.kr/엘젬의-원형-경기장, 

2022.11.10.

29) 유네스코와 유산, https://heritage.unesco.or.kr/마카오-역사-지구, 

2022.11.10.


background image

232 

지식과 교양 Vol. 13

다. 카자흐스탄 한인 사회에서 홍범도의 업적은 영웅적으로 평가되며, 그
의 항일투쟁을 주제로 하여 <홍범도>가 고려극장에서 공연되었고, 2013년
에는 홍범도 장군 서거 70주기 추모식 및 학술회의가 고려극장에서 열리기
도 하였다. 고려극장과 홍범도와의 인연은 말년에 그가 고려극장의 수위로 
근무한 경력에서도 드러난다. 

또한 고려극장에서는 춘향전, 흥부와 놀부 등 한국의 고전에 해당하는 

작품들이 다수 공연되었으며, 고려극장 역사실에는 실제 당시 연극 소품으
로 사용되었던 물건들이 전시되어 있다. 고려극장에서는 현재도 탈춤 형식
의 공연이 진행되기도 하며, 고려극장 마크에서도 탈의 이미지를 찾아볼 
수 있다. 또한 고려극장 입구에  있는 단청북 역시 고려극장과 한민족의 관
련성을 보여주는 요소로 볼 수 있다. 이러한 이유로 고려극장은 카자흐스
탄에 소재하고 있지만, 과거 한민족의 이주와 그에 따른 문화의 보존을 드
러내주는 증거로 작용할 수 있다. 따라서 “현존하거나 사라진 문화적 전통
이나 문명의 유일한 또는 적어도 독보적인 증거여야 한다”는 탁월한 보편
적 가치의 평가기준을 충족시킬 수 있다.

고려극장은 러시아 연해주에서 설립되었지만, 강제이주 이후 카자흐스

탄으로 이전되었기 때문에 스탈린의 정치탄압, 소수민족에 대한 억압이라
는 역사적 사건과도 연관되어 있음을 보여주는 상징성을 지니고 있다. 이
러한 연관성은 떠나온 한민족에게 익숙한 작품을 정착한 공간의 이상에 맞
게 재해석해야했던 문화의 역사적 변천에서도 드러난다. 이것은 “탁월한 
보편적 중요성이 있는 사건이나 살아있는 전통, 사상이나 신앙, 예술, 그리
고 문학 작품과 직접 또는 유형적으로 연관되어야 한다”는 평가기준을 충
족시킬 수 있다. 


background image

233

고려극장의 세계문화유산적 가치 탐색┃유  리

[그림 2] 고려극장과 한민족의 관련성을 보여주는 요소들

(상단, 왼쪽에서부터 고려극장 경비원 홍범도 장군, 춘향전 무대의상, 

고려극장 마크, 고려극장 입구 단청북, 고려극장 공연, 흥부와 놀부 연극 소품)

세계문화유산에 신청된 유산은 탁월한 보편적 가치의 평가기준 외에도 

보호와 관리에 대한 설명이 충족되어야 한다. 고려극장은 1982년에 극장 
예술발전에 기여한 공로를 인정받아 '영예표식' 훈장을 받았고, 연중 공연 
횟수, 배우 수상 이력 등 22가지 조건을 충족하여 2017년 카자흐스탄 정부
로부터 국립극장 중 최고 권위인 아카데미 칭호를 부여받았으며, 현재까지
도 카자흐스탄 정부의 재정적인 지원을 받고 있는 카자흐스탄 국가기관 소
속의 민족극장에 해당한다. 이러한 상징적 의미는 고려극장이 사회의 보호
와 관리 영역 내에 운영될 수 있는 관리체계가 될 수 있다는 것을 의미한다
고 본다.


background image

234 

지식과 교양 Vol. 13

4. 결론 및 제언

카자흐스탄에 있는 고려극장은 구소련 한인들의 문화 예술 공간의 상

징이며, 창립 이래 디아스포라로서 격동의 삶을 살아온 고려인들에게 역사
와 문화를 계승하는 통로가 되어왔다. 이국땅에서, 그것도 탄압의 상황에
서 자신들의 역사와 문화를 계승하는 것은 결코 쉬운 일이 아니다. 어려운 
상황 속에서도 고려극장은 사라지고 있는 고려인의 언어를 포함한 문화적 
전통을 무대 예술을 통해 보존하였다. 그러나 고려극장이 가지는 상징적인 
의미와 가치에도 불구하고, 세대를 거듭하며 고려인의 언어와 문화는 점차 
소멸되어 가고 있다. 따라서 이를 보존하기 위한 노력을 기울여야 한다. 이
는 비단 한민족과 고려인에게 해당하는 문제만은 아니다. 본토를 떠나와 
소련의 붕괴 후 과거의 소련 국토 내에 퍼져 살던 사람들 모두에게 해당하
는 문제로 볼 수 있다. 

또한 러시아에서 설립되어 카자흐스탄으로 이전되기까지의 고려극장

의 지위 변화와 지난한 이전(移轉)의 역사는 강제이주로 인한 정치탄압, 소
수민족에 대한 억압이라는 역사적 사건과의 관련성을 보여준다. 한국어로 
공연할 수는 있었지만, 그 내용에 있어서는 완전하게 고려인의 정서를 담
지 못했던 것 역시 자신이 태어난 땅을 떠나 살며, 더욱이 강제로 이주하게 
된 디아스포라 모두의 문제로 볼 수 있다. 이러한 의미에서 극장에서 소장
하고 있는 다양한 공연 기록물들 역시 기록유산으로서의 가치가 있으며, 
추후 이에 대한 논의도 이루어져야 한다고 본다. 

고려극장은 세계문화유산의 판정 기준인 “현존하거나 사라진 문화적 

전통이나 문명의 유일한 또는 적어도 독보적인 증거여야 한다”와 “탁월한 
보편적 중요성이 있는 사건이나 살아있는 전통, 사상이나 신앙, 예술, 그리
고 문학 작품과 직접 또는 유형적으로 연관되어야 한다”는 평가기준을 충
족시킬 수 있다. 2022년은 고려극장이 창립된 지 90주년이 되는 해이고, 이


background image

235

고려극장의 세계문화유산적 가치 탐색┃유  리

를 기념하여 다양한 행사가 진행되었다. 2022년 7월 6일 카자흐스탄 고려
극장 예술지도원이자 전 극장장인 이류보위 여사는 고려극장의 이름을 ‘홍
범도 고려극장’으로 변경하는 방안을 제안하였다.30) 사회주의 국가에서는 
극장 명칭에 역사적인 위인 혹은 영웅들의 명칭을 사용하기 때문에 고려인
들에게 빼놓을 수 없는 영웅이었던 홍범도 장군의 이름을 고려극장 앞에 
추가하자는 것이다. 고려극장의 명칭을 홍범도 고려극장으로 변경하는 것
은 디아스포라의 삶을 살았던 홍범도 장군에 대해서도 기억할 수 있는 하
나의 방법이 될 수 있을 것이다. 

현재 고려극장은 유네스코 세계문화유산 등재를 꿈꾸고 있다. 유네스

코 세계문화유산으로 인정받기 위해서는 엄격한 기준을 갖춘 신청서를 작
성해야 해서 한국의 여러 성공 사례를 토대로 한 노하우를 전수받고 싶어
한다는 기사31)가 실렸다. 고려극장은 카자흐스탄 국립이다. 카자흐스탄의 
세계유산 등재 과정에 왜 한국이 도움을 주어야하는지에 대한 의문이 있을 
수 있으나 이에 대한 답은 이 극장의 이름인 ‘고려’에서 손쉽게 찾을 수 있
다. 더욱이 그 공간이 세계문화유산으로서의 보편적 가치를 인정받아 세계
인과 나누고자 해야 한다는 것에 공감한다면 한국의 노하우를 전수해 주지 
않을 이유가 없다고 본다. 문화유산을 통해 현재의 우리는 과거와 역사를 
돌아볼 수 있고, 문화유산 등재를 통해 문화를 보존할 수 있는 제도가 정비
되고, 인식이 강화될 수 있다. 고려극장은 단순히 과거에서부터 보존되어
온 건물로서의 의미만이 아니라 후대에까지 이어져야 하는 역사 및 문화적 
가치를 지니고 있다. 90년이 지났지만 고려극장은 여전히 문화, 역사, 그리
고 사람을 연결하는 역할을 하고 있다. 따라서 이를 보호하고 관리해야 하
는 의무는 현대를 살고 있는 우리에게 있다고 본다. 
30) 황원섭, “카자흐스탄 고려극장, ‘홍범도 고려극장으로 명치 변경제안’”, <오마이

뉴스>, 2022.07.07.

31) 어수웅, “고려극장의 세계유산 계획, 한국이 지원하자”, <조선일보>, 2023.08.23.


background image

236 

지식과 교양 Vol. 13

사실 등재 기준을 설정하는 또 다른 중요한 근거는 등재하고자 하는 대

상이 되는 유산에 대한 폭넓은 연구이다. 고려극장의 가치에 대한 인정과 
관심은 고려극장의 가치를 당연하게 생각할 수 있는 공동체 내부에서만 이
루어져서는 안 된다. 심도 있는 연구에 대한 지원이 이루어져야 우리 안의 
가치를 허물고, 세계인의 가치로 재구성될 수 있을 것이다. 세계문화유산 
등재를 꿈꾸고 있는 고려극장의 꿈이 이루어질 때 고려극장은 카자흐스탄, 
한국의 틀에서 벗어나 다시 한 번 세계로 도약할 수 있을 것이다. 


background image

237

고려극장의 세계문화유산적 가치 탐색┃유  리

❚참고문헌

1. 단행본
국립국어연구원, 󰡔표준국어대사전󰡕, 두산동아, 1999.
문화재청 세계유산팀, 󰡔세계유산협약 이행을 위한 운영지침󰡕, 문화재청,

2019.

이명재 외, 󰡔억압과 망각, 그리고 디아스포라-구소련권 고려인문학󰡕, 한

국문화사, 2004.

전승민, 󰡔유라시아의 중심국 카자흐스탄 이야기󰡕, 들녘, 2022.
최몽룡, 󰡔세계문화유산󰡕, 주류성, 2021.

2. 논문
강동진 외, 「세계유산의 등재, 그 의미와 보존관리의 현안」, 󰡔도시정보󰡕

374권, 대한국토 도시계획학회, 2013, 3-21쪽.

김보희, 「소비에트시기 고려극장의 역사와 음악활동-원동시기를 중심

으로-」, 󰡔한국음악연구󰡕 46권, 한국국악학회, 2009, 5-30쪽.

박영은, 「이오시프 김의 <소비에트 고려극장>」, 󰡔중소연구󰡕 41권 4호,

한양대학교 아태지역연구센터, 2018, 257-263쪽. 

         , 「고려극장에서 상영된 중앙아시아 희곡의 역사·문화·예술사적 

지형도 연구-문화 접변과 습합을 통한 시대적 수용과 변용 양

상을 중심으로」, 󰡔슬라브학보󰡕 34권 2호, 한국슬라브유라시아

학회, 2019, 67-98쪽.

서인화, 「카자흐스탄 고려극장과 고려인 가무단 공연예술의 특징과 전

망」, 󰡔동양음악󰡕 53권, 서울대학교 동양음악연구소, 2023,

37-62쪽. 

양민아, 「문화허브로서 유라시아 한인예술단체의 역할과 비전-카자흐

스탄 국립 고려극장의 춤예술 활동을 중심으로-」, 󰡔한국문학과

예술󰡕 41권, 사단법인 한국문학과예술연구소, 2022, 135-164


background image

238 

지식과 교양 Vol. 13

쪽.

윤두영, 「카자흐스탄의 국립 고려극장 공연에 나타난 문화상호주의」, 중

앙대학교 대학원 석사학위논문, 2021.

이류보위, 「민족문화 발원지로서의 고려극장」, 󰡔한국문학과 예술󰡕 4권,

숭실대학교 한국문학과예술연구소, 2009, 5-10쪽.

전선하, 「고려극장 미술가들의 전기와 변천양상 연구」, 󰡔민족문화연구󰡕

90권, 고려대학교 민족문화연구원, 2021, 357-387쪽.

정형호, 「고려인 공연예술 단체의 독립 이후의 활동과 민족 정체성」, 󰡔

무형유산학󰡕 6권 2호, 무형유산학회, 2021, 7-37쪽.

조규익, 「카자흐스탄 국립 고려극장의 존재의미와 가치」, 󰡔한국문학과

예술󰡕 4권, 숭실대학교 한국문학과 예술연구소, 2009, 53-80

쪽.

          , 「구소련 고려극장에서 불린 우리말 노래들의 성격과 주제의식」, 

󰡔온지논총󰡕 35권, 온지학회, 2013, 205-238쪽.

주요철, 「카자흐스탄의 극단 고려극장 고전작품 연극화에 관한 연구」, 

중앙대학교 신문방송대학원 석사학위논문, 2003. 

홍웅호, 「레닌기치를 통해 본 스탈린시기 카자흐스탄 고려극장」, 󰡔사림󰡕

54권, 수선사학회, 2015, 295-320쪽. 

3. 국외 자료
German N. KIM, Youngsarm HWANG, “Korean Theater in 

Kazakhstan as a Cultural Hub of the Diaspora”, Korea 

Journal 59권 2호, The Academy of Korean Studies, 2019, 

pp.177-201.

4. 인터넷 자료
법무부, https://www.moj.go.kr/moj/2412/subview.do, 2023.10.05.
황원섭, “카자흐스탄 고려극장, ‘홍범도 고려극장’으로 명칭 변경 제안”, 

<오마이뉴스>, 2022.07.07.


background image

239

고려극장의 세계문화유산적 가치 탐색┃유  리

외교부, https://www.mofa.go.kr/www/wpge/m_21507/contents.

do, 2023.11.16.

유네스코와 유산, https://heritage.unesco.or.kr/, 2022.11.10.
어수웅, “[朝鮮칼럼 The Column] 고려극장의 세계유산 계획, 한국이 

지원하자”, <조선일보>, 2022.08.23.


background image

240 

지식과 교양 Vol. 13

❚국문초록

본 연구는 고려극장의 역사적·문화적 가치를 밝히고, 세계문화유산 

평가기준에 따른 문화유산 등재 적합성을 분석함으로써 고려극장의 세
계문화유산적 가치를 탐색하는 것을 목적으로 한다. 이를 위해 먼저 고
려극장에 대한 선행 연구를 분석하고, 세계문화유산의 개념과 유형, 기
준에 대해 살펴보았다. 또한 등재되어 있는 카자흐스탄의 문화유산과 
등재 기준을 확인하였다. 다음으로 고려극장의 역사와 역할을 살핌으
로서 문화적 가치를 밝히고, 고려극장과 유사한 문화유산의 등재 기준
을 토대로 고려극장의 세계문화유산적 가치를 분석하였다. 고려인의 정
체성을 보존하는 역할을 담당해온 고려극장은 한민족 공동체 공연단체 
중 전 세계에서 가장 오래된 기관으로 1932년 러시아에 설립되었다가 
고려인의 강제이주 이후 카자흐스탄으로 이전되었다. 고려극장의 역할 
및 소수민족에 대한 억압과 동화 정책의 역사가 담긴 역사적 가치를 고
려할 때 고려극장은 세계문화유산의 판정 기준인 “현존하거나 사라진 
문화적 전통이나 문명의 유일한 또는 적어도 독보적인 증거여야 한다”와 

탁월한 보편적 중요성이 있는 사건이나 살아있는 전통, 사상이나 신앙, 

예술, 그리고 문학 작품과 직접 또는 유형적으로 연관되어야 한다”는 측
면에서 문화유산적 가치를 지닌다. 

주제어 ● 고려인, 디아스포라, 카자흐스탄, 고려극장, 세계문화유산


background image

241

고려극장의 세계문화유산적 가치 탐색┃유  리

❚Abstract

Exploring the World Heritage Value of Koryo Theart

Yu, Ri / Kongju National University

The purpose of this study is to explore the value of Koryo Theart as a 

World Cultural Heritage Site by examining the value of Koryo Theart in 
Kazakhstan as a heritage and analyzing the suitability of listing it as a cultural 
heritage according to the World Heritage Evaluation Standards. To this end, 
the concept, type and the standards of world cultural heritage were confirmed. 
In addition, the cultural heritage of Kazakhstan, which has already been 
registered, and the criteria for its registration were confirmed. Next, in order 
to reveal the cultural value of Koryo Theart, the history of Koryo Theart, the 
relationship between Koryo Theart and Koryoin, and the role of Koryo Theart 
that continues to this day were examined. In addition, the World Heritage 
value of Koryo Theart was analyzed based on the criteria for listing cultural 
heritages similar to Koryo Theart. Considering the historical value of the 
suppression of minorities and the history of fairy tale policies, starting with 
the role of the Koryo Theart and the active migration policy, the Koryo Theart 
has cultural heritage value. The criterion for judgment is “bear a unique or at 
least exceptional testimony to a cultural tradition or to a civilization which is 
living or which has disappeared” and “be directly or tangibly associated with 
events or living traditions, with ideas, or with beliefs, with artistic and literary 
works of outstanding universal significance.” 

Keyword ● Koryoin, diaspora, Kazakhstan, Koryo Theart, World Cultural 

Heritage.

❙논문투고일:2023.10.19.❙심사완료일:2023.11.08.❙게재확정일:2023.11.28.❙


background image

background image

243

대학생들의 성적 괴롭힘에 대한 

인식과 개선을 위한 교육 프로그램 개발

1. 들어가는 말

대학가의 성적 괴롭힘 및 인권침해 문제는 이전에도 존재하였지만 일

부 사건만이 밖으로 드러났다. 하지만 최근 수 년간 대학가의 성희롱·성폭
력 문제들이 수면 위로 드러나게 되었고, 이에 따라 대학 안팎으로 학내 문
제에 대하여 책임 있는 대응을 요구하는 목소리가 높아지고 있다. 캠퍼스 
내의 성희롱·성폭력 예방을 위해서는 대학생들의 성차별적 인식과 피해자 
관점에서 사건 해결이 가능하도록 실질적인 교육이 캠퍼스에 정착하는 것
이 중요하다. 여성가족부에서는 실질적인 법정 의무교육으로 대학 내에서 
일 년에 한 번 학생들을 대상으로 폭력예방교육(성폭력, 가정폭력)을 실시
하고 그 실적을 여성가족부에 보고하도록 지침을 내리고 있으며 예방교육

노 성 동*

1. 들어가는 말
2. 조사 대상 표집 및 자료수집
3. 자료 분석 방법
4. 조사 결과 분석
5. 성 인식 개선을 위한 교육 프로그램 개발 
6. 나가는 말

목  차

* 목원대학교 학생상담센터 조교수

https://doi.org/10.54698/kl.2023.13.243


background image

244 

지식과 교양 Vol. 13

이 부진할 경우 부진기관으로 언론에 공표하는 등 그 기준을 강화해 나가
고 있다.1) 

하지만 성적 괴롭힘에 관대한 캠퍼스 문화가 관행적으로 지속되고 반

복되는 현실에서 피해자와 가해자와의 관계성과 구성원들 간의 구조적인 
역동 관계가 사건 해결을 더욱 어렵게 만들고, 피해자들의 고통을 더욱 가
중시키고 있는 실정이다. 이러한 배경 속에서 캠퍼스의 대다수의 구성원인 
대학생들의 성희롱·성폭력에 대한 정확한 이해와 성 인식 개선에 관한 교
육은 사건의 예방을 위하여 더욱 중요한 방안으로 떠오르고 있다. 이에 대
학 재학생들을 대상으로 성 관련 문항을 통하여 대학생들의 성적 괴롭힘에 
대한 인식을 조사하였다. 관련 사항으로는 성적 괴롭힘(경험, 종류, 가해 대
상 등)과 대처방안, 성 관련 희망 교육내용과 관련된 문항 등이다. 이러한 
조사를 통하여 대학생들의 성적 괴롭힘에 대한 인식과 이러한 상황 속에서 
어떻게 대처하였는지, 또한 성과 관련해서 학생들이 요구하는 교육은 무엇
인지에 대해 알아보고자 하였다. 많은 대학교에서 법정 의무교육인 폭력
예방교육을 실시하고 있다. 하지만 폭력예방교육만으로는 대학가에 발생
하고 있는 성적 괴롭힘의 문제를 해결하기에는 한계가 있어 다양한 접근의 
교육 프로그램의 개발이 시급한 실정이다. 이에 성적 괴롭힘의 문제를 예
방하고 성인식 개선을 위해 설문조사한 내용들을 반영하여 학생들에게 보
다 효과적으로 다가갈 수 있는 교육 프로그램을 제안하고자 한다. 

대학생들을 실질적으로 상담하고 과거에 성희롱·성폭력 사안으로 가

해 학생과 피해 학생들을 만나고 조사하면서 이러한 교육적 프로그램의 부
재로 학생들이 잘못된 성 인식을 가지고 가해자와 피해자가 되는 모습에서 
연구자는 참으로 안타까움을 느꼈다. 학교 차원에서 조금 더 관심을 가지

1) 한국양성평등교육진흥원, 『2023년 성희롱·성폭력 고충상담원교육』, 2023, 166

쪽.


background image

245

대학생들의 성적 괴롭힘에 대한 인식과 개선을 위한 

교육 프로그램 개발┃노성동

고 학생들을 위해 좀 더 이른 시간에 성 인식개선을 위한 교육 프로그램을 
고민하고 실행하지 못한 반성에서 이 연구는 진행되었다. 실질적으로 대학
생들의 인식을 조사하면서 학교 상황에 맞는 교육 프로그램을 개발하고 적
용하는 것이 가장 큰 의미가 있을 것이라 사료 되어 설문조사를 통해 나타
난 요인들을 분석하여 프로그램 개발에 적용하고자 한다.

2. 조사 대상 표집 및 자료수집

본 연구의 조사 대상은 2023년 대전광역시 소재 A대학교의 48개 학과

(부)의 신입생 전원 및 대면 등교 중인 재학생을 응답자로 선정하였으며, 자
료수집 방법은 구조화된 설문지를 활용하였다. 구조화된 설문지는 본 연구
의 필요성과 설문 시의 주의사항에 대하여 각 학과(부)에서 근무하는 조교
에게 설명한 후 응답자가 설문지에 직접 기입하여 응답하도록 하였다. 

본 연구를 위한 설문지 배포는 2023년 1학기 초에 대면으로 실시하였

고, 설문지 수거는 6월 중순까지 실시되었으며, 자료 분석을 위한 자료입
력은 그 이후에 진행되어 전반적인 자료에 대한 코딩이 8월 말에 완료되었
다. 전체 조사대상 6,933명 중 3,972명이 조사를 완료하여 조사완료율은 
57.3%이다. 단과대학별 조사대상인원과 조사완료율은 [표 1]과 같다. 

[표 1] 단과 대학별 학생 수 및 조사 완료 수

구 분

조사인원

자료분석대상

조사완료율(%)

신학대학

193

78

40.4

문화콘텐츠대학

693

329

47.5

테크노과학대학

852

548

64.3

공과대학

958

476

49.7

사회과학대학

1,727

1,004

58.1

음악대학

552

437

79.2

미술·디자인대학

869

389

44.8

사범대학

723

555

76.8

웹툰애니메이션게임

대학

366

100

27.3

전          체

6,933

3,972

57.3


background image

246 

지식과 교양 Vol. 13

3. 자료 분석 방법

조사 완료된 설문지 중에서 응답이 불성실하거나 응답에 일관성이 없

어 분석에 부적합 사례는 제외되었으며, 구체적인 실증 분석 방법은 다음
과 같다. 첫째, 응답자들의 만족도를 알아보기 위하여 빈도분석(frequency 
analysis)을 실시하였다. 둘째, 만족도의 차이를 살펴보기 위하여 집단 간
의 차이 검증인 교차분석을 실시하였다. 셋째, 본 연구의 통계처리는 Excel
을 통한 통계 분석방법을 통하여 데이터를 분석하였다. 

4. 조사 결과 분석

응답자의 성적 괴롭힘에 대한 관련 사항으로는 성적 괴롭힘(경험, 종류, 

가해 대상 등), 성적 괴롭힘 문제의 심각성 인식 정도, 성적 괴롭힘 대처 방
법 인식 정도, 희망하는 성 관련 교육의 내용 등을 알아보았다. 조사한 결과
는 다음과 같다. 

1) 대학생들의 성적 괴롭힘 경험

먼저 대학 생활 중 성적 괴롭힘(성희롱․성폭력 등) 경험에 대하여 살펴

보면 [표 2]와 같다. 성적 괴롭힘 경험은 ‘없다.’가 99.1%로 가장 높게 나타
났으며, ‘있다.’가 0.9%로 나타났으며, 이를 성별과 단과 대학별로 살펴보
면 전체 조사대상자의 결과와 비슷한 경향을 보이고 있는 것으로 나타났
다. 

성적 괴롭힘의 경험이 없다는 비율이 99.1%로 높게 나타난 것으로 보

여 이는 신입생과 재학생들을 대상으로 대면과 비대면으로 성희롱․성폭력 
예방교육, 성매매 방지 교육 실시 등 학생들에게 지속적인 교육과 홍보 활
동에 대한 관심과 요구의 긍정적인 결과로 판단된다. 하지만 남학생들에 
비해 여학생들의 성적 괴롭힘에 대한 경험이 다섯 배 정도 많은 비율로 나
타났고 상대적으로 여학생들의 수가 많은 미술·디자인 대학도 높은 비율


background image

247

대학생들의 성적 괴롭힘에 대한 인식과 개선을 위한 

교육 프로그램 개발┃노성동

로 나타났다. 지속적인 성희롱·성폭력 예방교육이 이루어지고 있지만 아직
까지 여학생들에 대한 성적 괴롭힘이 여전히 발생하고 있는 것으로 나타나 
여학생들을 위한 양성평등 및 미술·디자인 대학을 위한 폭력예방교육을 강
화하는 등 이에 대한 강구책이 필요할 것으로 보인다. 

[표 2] 성적 괴롭힘(성희롱·성폭력)에 대한 경험           N(%)

구분

있다

없다

합계

전체

36(0.9)

3793(99.1)

3,829(100)

성별

남자

6(0.3)

1903(99.7)

1909(100)

여자

29(1.5)

1858(98.5)

1887(100)

단과

대학

신학대학

-

75(100)

75(100)

문화콘텐츠대학

6(1.9)

313(98.1)

319(100)

테크노과학대학

4(0.8)

528(99.2)

532(100)

공과대학

1(0.2)

462(99.8)

463(100)

사회과학대학

8(0.8)

967(99.2)

975(100)

음악대학

5(1.2)

415(98.8)

420(100)

미술디자인대학

8(2.1)

371(97.9)

379(100)

사범대학

3(0.5)

543(99.5)

546(100)

웹툰애니메이션게임대학

-

98(100)

98(100)

2) 성적 괴롭힘의 종류

대학 생활 중 성적 괴롭힘(성희롱·성폭력 등)을 경험한 학생들 36명을 

대상으로 경험한 성적 괴롭힘의 종류에 대하여 살펴보면 [표 3]과 같다. ‘불
쾌감을 주는 음담패설이나 성차별적 언행’이 22.2%로 가장 높게 나타났으
며, ‘신체나 외모에 대한 성적인 비유나 평가’가 19.4%, ‘원하지 않는 상대
방의 집요한 전화, 문자 등’, ‘미수에 그치거나 실행에 옮긴 성추행’ 11.1%, 
‘성적인 소문’, ‘특정 신체 부위의 노골적인 시선 등’, ‘술 시중’, ‘안마나 애
무 등을 요구하거나 원하지 않는데 해줌’이 8.3%, ‘업무나 교육과 무관한 
외설적인 낙서, 사진을 게시함’ 2.8%의 순으로 나타났다. 

이를 성별과 단과 대학별로 살펴보면 전체 조사대상자의 결과와 비슷

한 경향을 보이고 있는 것으로 나타났으며 여학생의 경우 남학생에게서 나


background image

248 

지식과 교양 Vol. 13

타나지 않는 ‘특정 신체 부위의 노골적인 시선 등’, ‘업무나 교육과 무관한 
외설적인 낙서, 사진을 게시함’, ‘술 시중’, ‘미수에 그치거나 실행에 옮긴 
성추행’ 등의 성적 괴롭힘을 당하고 있는 것으로 드러나 전반적으로 나타
나는 성차별적 요소가 대학 내에서도 발생하고 있는 것으로 나타났다. 하
지만 남학생의 경우에는 ‘불쾌감을 주는 음담패설이나 성차별적 언행’이 
33.3%로 상당 부분 높게 나타났으며 ‘성적인 소문’, ‘신체나 외모에 대한 성
적인 비유나 평가’, ‘원하지 않는 상대방이 집요하게 연락’, ‘안마나 애무 등
을 요구하거나 원하지 않는데 해줌’이 16.7%의 비율로 나타나 남학생들도 
여학생 못지 않은 성적 괴롭힘을 당하고 있는 것으로 드러났다. 이는 성적 
괴롭힘이 상대적으로 여성에게 집중되어있다는 고정관념을 깨뜨리는 요인
이 될 수 있으며 향후 양성평등교육이 더욱 절실하게 요구 되어지는 이유
이다.

[표 3] 성적 괴롭힘(성희롱·성폭력)의 종류            N(%)

구분

불쾌

감을 

주는 

음담

패설

이나 

성차

별적 

언행

나의 

성적

인 관

계나 

성생

활에 

대한 

소문

을 퍼

트림

신체

나 외

모에 

대한 

성적

인 비

유나 

평가

특정 

신체

부위

를 노

골적

으로 

훑어

업무

나 교

육과 

무관

한 외

설적

인 낙

서, 

사진

을 게

시함

술자

리에

서 술

을 따

르게 

하거

나 옆

자리 

강요

원하

지 않

는 상

대방

이 집

요하

게 연

락 

안마

나 애

무 등

을 요

구하

거나 

원하

지 않

은데 

해줌

미수

에 그

치거

나 실

행에 

옮긴 

성추

합계

전체

8

(22.2)

3

(8.3)

7

(19.4)

3

(8.3)

1

(2.8)

3

(8.3)

4

(11.1)

3

(8.3)

4

(11.1)

36

(100)

남자

2

(33.3)

1

(16.7)

1

(16.7) -

-

-

1

(16.7)

1

(16.7)

-

6

(100)

여자

6

(20.7)

2

(6.9)

6

(20.7)

3

(10.3)

1

(3.4)

3

(10.3)

3

(10.3)

2

(6.9)

3

(10.3)

29

(100)

신학대학

-

-

-

-

-

-

-

-

-

-

문화콘텐

츠대학

1

(16.7)

1

(16.7) -

2

(33.3) -

-

2

(33.3) -

-

6

(100)


background image

249

대학생들의 성적 괴롭힘에 대한 인식과 개선을 위한 

교육 프로그램 개발┃노성동

테크노과

학대학

1

(25.0) -

2

(50.0) -

-

1

(25.0) -

-

-

4

(100)

공과대학

-

-

-

-

-

-

-

-

1

(100.0)

1

(100)

사회과학

대학

2

(25.0)

2

(25.0)

2

(25.0) -

1

(12.5) -

1

(12.5) -

-

8

(100)

음악대학

1

(20.0) -

2

(40.0) -

-

-

-

1

(20.0)

1

(20.0)

5

(100)

미술디자

인대학

1

(12.5) -

1

(12.5)

1

(12.5) -

2

(25.0)

1

(12.5) -

2

(25.0)

8

(100)

사범대학

2

(66.7) -

-

-

-

-

-

1

(33.3)

-

3

(100)

웹툰애니

메이션게

임대학

-

-

-

-

-

-

-

-

-

-

3) 성적 괴롭힘의 행위자

성적 괴롭힘(성희롱·성폭력 등)의 행위자에 대해 살펴보면 [표 4]에서 

보는 바와 같이, ‘동기 및 선 후배’ 44.4%로 가장 높게 나타났으며, ‘기타’ 
16.7%, ‘이성 친구’와 ‘교수’가 13.9%, ‘외부사람’ 8.3%, ‘시간강사’가 2.8%
의 순으로 나타났다. 

이를 성별과 단과 대학별로 살펴보면 전체 조사대상자의 결과와 비슷

한 경향을 보이고 있으나 공과대학의 경우에는 ‘동기 및 선후배’로 응답한 
학생이 전체 1인이기에 100%로 나타났다. 대학 내 ‘동기 및 선후배’가 가장 
높은 행위자로 나타나게 된 것은 수업과 각종 행사로 인해 자주 접촉하게 
됨으로서 발생하는 다양한 불미스러운 언행으로 인해 나타난다. 그것이 성
희롱적 언어폭력일 수 있고, 술자리에서 발생할 수 있는 성희롱 및 성추행
일 수도 있을 것이다. 성희롱·성폭력 사건의 가해자가 80%는 가장 가까운 
사이에서 발생한다는 사회적 통계가 대학에서도 여지없이 나타나고 있다. 
또한 성적 괴롭힘(성희롱·성폭력)의 행위자가 교내에서의 ‘교수’가 13.9%, 
‘시간강사’ 2.8%로 나타나 이에 대한 정확한 실태조사와 교직원 대상으로 
하는 성희롱·성폭력 예방교육도 더욱 강화되어야 할 것으로 보인다.


background image

250 

지식과 교양 Vol. 13

실제적으로 이 결과를 가지고는 행위자의 행동이 인지하지 못하고 이

루어지는 행동인지 아니면 인지하고 이루어진 행동인지 인식할 수 없다. 
그러나 성희롱과 성폭력에 대한 교육이 끊임없이 실시되고 있는 가운데 이
와 같은 결과가 도출되었다면 성행위에 대한 잘못된 인식으로 인한 문제가 
아닌가 생각되어진다. 따라서 학생들과 교직원들의 성인식에 대한 조사가 
좀 더 구체적으로 병행되어야 하며 지속적인 교육이 이루어질 필요성이 있
을 것으로 보여진다. 

[표 4] 성적 괴롭힘(성희롱·성폭력)의 행위자           N(%)

구분

이성

친구

동기 

및 

선후배

교수

시간

강사

외부

사람

기타

합계

전체

5

(13.9)

16

(44.4)

5

(13.9)

1

(2.8)

3

(8.3)

6

(16.7)

36

(100)

남자

2

(33.3)

4

(66.7)

-

-

-

-

6

(100)

여자

3

(10.3)

12

(41.4)

5

(17.2)

1

(3.4)

3

(10.3)

5

(17.2)

29

(100)

신학대학

-

-

-

-

-

-

-

문화콘텐츠대학

1

(16.7)

3

(50)

-

-

-

2

(33.3)

6

(100)

테크노과학대학

-

2

(50)

1

(25)

-

1

(25)

-

4

(100)

공과대학

-

1

(100)

-

-

-

-

1

(100)

사회과학대학

3

(37.5)

3

(37.5)

-

1

(12.5)

-

1

(12.5)

8

(100)

음악대학

1

(20.0)

1

(20)

-

-

1

(20)

2

(40)

5

(100)

미술디자인대학

-

4

(50)

3

(37.5)

-

1

(12.5)

-

8

(100)

사범대학

-

2

(66.7)

1

(33.3)

-

-

-

3

(100)

웹툰애니메이션게

임대학

-

-

-

-

-

-

-

4) 성적 괴롭힘에 대한 대처

성적 괴롭힘(성희롱·성폭력 등)에 대한 대처에 대해 살펴보면 [표 5]와 


background image

251

대학생들의 성적 괴롭힘에 대한 인식과 개선을 위한 

교육 프로그램 개발┃노성동

같다. ‘불쾌했지만 참음’이 44.4%로 가장 높게 나타났으며, ‘주변 사람들
(가족, 친구, 선배 등)에게 상담’이 19.4%, ‘그 자리에서 잘못을 지적하고 의
사를 밝힘’ 13.9%, ‘교내 관련 기관(학생복지과, 상담센터)에 신고’ 8.3%, 
‘일단 참고, 나중에 당사자에게 얘기’와 ‘교외 관련 기관에 신고’가 5.6%, 
‘기타’ 2.8%의 순으로 나타났다. 

이를 성별에 따라 살펴보면 남학생은 ‘불쾌했지만 참음’이 83.3%, 여학

생은 34.5%로 가장 높게 나타났으며 여학생은 그 다음으로 ‘주변 사람들
(가족, 친구, 선배 등)에게 상담’이 24.1%로 나타나 남학생들에 비해 주변 
사람들에게 고민을 털어놓는 것으로 나타났다. 단과 대학별로 살펴보면 전
체 조사대상자의 결과와 비슷한 경향을 보이나 테크노과학대학의 경우에
는 ‘불쾌했지만 참음’이 100%로 타 단과대학에 비해 높은 비율을 보이고 
있음을 알 수 있다. 

학생들의 많은 비율은 대다수 불쾌하지만 참고 넘어가는 것으로 조사

되어 이것이 학교 내에서의 대인관계에 영향을 미치는 것으로 보여진다. 
대부분 학교를 같이 다녀야 할 동기와 선후배 사이이거나 교수와의 관계에
서 일어나는 일이라면 이러한 문제를 드러내기에 상당한 어려움이 있을 것
이라 생각된다. 특히 학점과 졸업에 관여하는 교수와의 관계에서는 더더
욱 힘든 일이라 힘들지만 참고 넘어가는 것이다. 하지만 이러한 문제는 해
결되는 것이 아니라 계속해서 발생할 가능성이 큰 만큼 용기와 결단이 필
요하며 이러한 의지에 대한 독려는 예방교육을 통해 반드시 강조되어야 할 
사안임이 분명하다. 


background image

252 

지식과 교양 Vol. 13

[표 5] 성적 괴롭힘(성희롱·성폭력)에 대한 대처           N(%)

구분

불쾌했

지만 

참음

주변 

사람들

(가족, 

친구, 

선배 

등)에게 

상담

일단 

참고, 

나중에 

당사자

에게 

얘기

그 자리

에서 잘

못을 지

적하고 

의사를 

밝힘

교내 관

련 기관

(학생

복지과, 

상담센

터)에 

신고

교외 관

련기관

(경찰, 

성폭력

상담소)

에 신고

기타

합계

전체

16

(44.4)

7

(19.4)

2

(5.6)

5

(13.9)

3

(8.3)

2

(5.6)

1

(2.8)

36

(100)

남자

5

(83.3)

-

-

1(16.7)

-

-

-

6

(100)

여자

10

(34.5)

7

(24.1)

2

(6.9)

4

(13.8)

3

(10.3)

2

(6.9)

1

(3.4)

29

(100)

신학대학

-

-

-

-

-

-

-

-

문화콘텐츠

대학

-

2

(33.3)

1

(16.7)

1

(16.7)

1

(16.7)

1

(16.7)

-

6

(100)

테크노과학

대학

4

(100)

-

-

-

-

-

-

4

(100)

공과대학

-

-

-

-

-

-

1

(100)

1

(100)

사회과학

대학

3

(37.5)

3

(37.5)

-

1

(12.5)

1

(12.5)

-

-

8

(100)

음악대학

4

(80)

-

-

1

(20.0)

-

-

-

5

(100)

미술디자인

대학

4

(50)

2

(25.0)

-

1

(12.5)

1

(12.5)

-

-

8

(100)

사범대학

1

(33.3)

-

1

(33.3)

-

-

1

(33.3)

-

3

(100)

웹툰애니메

이션게임

대학

-

-

-

-

-

-

-

-

5) 성적 괴롭힘에 대한 심각성 인식

조사대상자 중 대학 내 성적 괴롭힘 문제의 심각성에 대하여 살펴보면 

[표 6]와 같다. ‘전혀 심각하지 않다.’가 59.5%로 가장 높게 나타났으며, ‘심
각하지 않다.’가 32%, ‘다소 심각하다.’가 4.9%, ‘매우 심각하다.’가 3.7%
의 순으로 나타났다. 물론 심각하지 않다고 생각하는 학생들이 대다수이지
만 ‘다소 심각함’과 ‘매우 심각하다’고 생각하는 비율도 전체 8.6%로 나타


background image

253

대학생들의 성적 괴롭힘에 대한 인식과 개선을 위한 

교육 프로그램 개발┃노성동

나 이에 대한 대비책이 반드시 필요하다. 특히 여학생들의 경우 ‘다소 심각
하다’, ‘매우 심각하다’라고 생각하는 비율이 전체 9.9%로 나타나 남학생들
은 물론 평균 수치보다 높게 나타났으며 음악대학에서는 ‘다소 심각하다’, 
6.6%, 웹툰애니메이션게임대학에서는 ‘매우 심각하다’라고 생각하는 비율
이 6.3%로 나타나 타 단과대학에 비해 심각성이 높은 것으로 나타났다. 

[표 6] 교내 성적 괴롭힘(성희롱·성폭력)의 심각도          N(%)

구분

전혀 심각하

지 않다

심각하지 

않다

다소 

심각하다

매우 

심각하다

합계

전체

2279(59.5) 1227(32.0)

186(4.9)

140(3.7)

3,832(100)

남자

1275(67.0)

494(26.0)

68(3.6)

66(3.5)

1903(100)

여자

987(52.0)

724(38.1)

117(6.2)

70(3.7)

1898(100)

신학대학

40(52.6)

28(36.8)

6(7.9)

2(2.6)

76(100)

문화콘텐츠

대학

182(57.2)

109(34.3)

14(4.4)

13(4.1)

318(100)

테크노과학

대학

298(56.3)

184(34.8)

27(5.1)

20(3.8)

529(100)

공과대학

318(68.2)

111(23.8)

15(3.2)

22(4.7)

466(100)

사회과학

대학

617(62.6)

285(28.9)

47(4.8)

36(3.7)

985(100)

음악대학

234(54.9)

153(35.9)

28(6.6)

11(2.6)

426(100)

미술디자인

대학

201(55.1)

130(35.6)

21(5.8)

13(3.6)

365(100)

사범대학

335(60.8)

179(32.5)

23(4.2)

14(2.5)

551(100)

웹툰애니메

이션게임

대학

46(47.9)

40(41.7)

4(4.2)

6(6.3)

96(100)

이에 각 학과에서는 학기 초 학과별 오리엔테이션 및 각종 축제와 행사, 

MT에 앞서 성희롱·성폭력 예방교육을 반드시 실시하여 이러한 위험성이 
줄어들 수 있도록 대안을 마련해야 할 것이다. 교육에 있어 강의식 교육도 
물론 중요하지만 적극적인 학습방법을 통해 학습자 전체가 능동적으로 참
여할 수 있는 학습자 중심의 성인식 개선 교육이 필요할 것으로 보인다. 참
여자가 직접 경험한 내용을 함께 나누고 서로가 고민하였던 성인식에 대해 


background image

254 

지식과 교양 Vol. 13

토론을 통해 해결책을 찾아보도록 독려하는 것이 중요하다. 학습자 스스로
가 참여하는 교육은 기억에 오래 남을 뿐 아니라 스스로의 한계가 부딪혔
을 때 타인의 생각과 방법을 통해 자신의 문제를 적용하여 긍정적으로 해
결할 수 있다는 장점을 가지고 있다. 그러하기에 보다 성적 괴롭힘에 대한 
심각성을 효율적으로 해결해 나갈 수 있을 것으로 기대된다.

6) 성적 괴롭힘의 대처방안에 대한 인식

조사대상자 중 성적 괴롭힘(성희롱·성폭력 등)에 대한 대처 방법을 인지

하고 있는지를 살펴보면 [표 7]에서 보는 바와 같다. ‘구체적인 대처 방법은 
모른다’가 35%로 가장 높게 나타났으며, ‘잘 알고 있어 다른 사람에게 도움
을 줄 수 있다’가 20.4%, ‘관련 기관을 알고 있어 필요시 도움을 받을 수 있
다’가 18.4%, ‘관련 기관 및 대처 방법을 알고 있다’가 17.4%, ‘전혀 모른다’
가 8.7%의 순으로 나타났다. 이를 성별과 단과 대학별로 살펴보면 전체 조
사대상자의 결과와 비슷한 경향을 보이고 있다. 

물론 아직까지 많은 학생들은 성적 괴롭힘에 대한 대처 방법을 인지하

지 못하고 있어 ‘구체적인 대처 방법은 모른다’ 가 35%, ‘전혀 모른다’ 8.7%
로 나타나고 있다. 이에 매월 한 두번 정도 관련 부서에서 성희롱·성폭력에 
대한 성인지 감수성 자가 진단 질문이나 성희롱·성폭력 대응 요령 등을 문
자 메시지로 발송하여 전체 재학생들이 성 관련 문제에 대해 숙고해 보게 
하는 것은 좋은 방안이 될 것이다. 하지만 한편으로는 ‘잘 알고 있어 다른 
사람에게 도움을 줄 수 있다’가 20.4%, ‘관련 기관을 알고 있어 필요시 도움
을 받을 수 있다’ 18.4%, ‘관련 기관 및 대처 방법을 알고 있다’가 17.4%로 
나타나 많은 학생들이 성적 괴롭힘에 대한 대처방안을 어느 정도 인식하고 
있는 것으로 나타났다. 이는 그동안 온·오프라인을 통한 적극적인 성희롱·
성폭력에 대한 예방교육을 실시함으로서 학생들이 성적 괴롭힘에 대해 어
느 정도의 기초지식과 대처방안을 인식한 것으로 보여 이러한 예방교육의 


background image

255

대학생들의 성적 괴롭힘에 대한 인식과 개선을 위한 

교육 프로그램 개발┃노성동

중요성을 다시 한번 느끼게 하는 부분이다. 

[표 7] 성적 괴롭힘(성희롱·성폭력)에 대한 대처방법           N(%)

구분

전혀 

모른다

구체적인 

대처방법

은 모른다

관련기관

을 알고 

있어 필요

시 도움 

받을 수 

있다

관련기관 

및 대처방

법을 알고 

있다

잘 알고 

있어 다른 

사람에게 

도움을 줄 

수 있다

합계

전체

335(8.7) 1341(35.0) 707(18.4) 668(17.4) 781(20.4) 3,832(100)

남자

219(11.5) 589(31.0) 304(16.0) 296(15.6) 492(25.9) 1900(100)

여자

114(6.0) 737(38.7) 400(21.0) 365(19.2) 286(15.0) 1902(100)

신학대학

7(9.1)

35(45.5)

8(10.4)

12(15.6)

15(19.5)

77(100)

문화콘텐츠

대학

16(5.0)

112(35.1) 56(17.6) 65(20.4)

70(21.9) 319(100)

테크노과학

대학

54(10.2) 176(33.1) 106(20.0) 86(16.2) 109(20.5) 531(100)

공과대학

43(9.3)

161(34.7) 77(16.6) 73(15.7) 110(23.7) 464(100)

사회과학

대학

122(12.4) 332(33.8) 170(17.3) 163(16.6) 195(19.9) 982(100)

음악대학 45(10.6) 157(36.9) 68(16.0) 79(18.5)

77(18.1) 426(100)

미술디자인

대학

23(6.3)

133(36.3) 73(19.9) 63(17.2)

74(20.2) 366(100)

사범대학

19(3.5)

184(33.6) 122(22.3) 105(19.2) 118(21.5) 548(100)

웹툰애니메

이션게임

대학

3(3.0)

40(40.4)

24(24.2) 21(21.2) 11(11.1)

99(100)

7) 희망하는 성 관련 예방교육 내용

조사대상자 중 희망하는 성 관련 예방 관련 교육의 내용에 대하여 살펴

보면 [표 8]에서 보는 바와 같이 ‘성희롱․성폭력 예방특강’이 27.6%로 가장 
높게 나타났으며, ‘이성교제 시 성적문제 대처방법’이 26.9%, ‘성병 예방 및 
대처방안’ 20.9%, ‘피임법’ 18.5%, ‘기타’ 3.2%’, ‘성역할’ 2.9%의 순으로 나
타났다. 단과대학 중에서는 테크노과학대학과 사회과학대학이 31.1%로 
‘성희롱․성폭력 예방특강’을 가장 희망하는 예방교육의 비율로 나타났다.


background image

256 

지식과 교양 Vol. 13

[표 8] 희망하는 성 관련 예방 교육의 내용           N(%)

구분

이성

교제 시 

성적 문

제 대처

방법

성희롱․

성폭력 

예방

특강

성병

예방 및 

대처

방안

피임법 성역할 기타

합계

전체

1029(26.9) 1054(27.6) 799(20.9) 707(18.5) 109(2.9) 121(3.2) 3,819(100)

남자

486(25.7) 595(31.4) 379(20.0) 296(15.6) 70(3.7) 68(3.6) 1894(100)

여자

535(28.2) 452(23.9) 415(21.9) 404(21.3) 37(2.0) 51(2.7) 1894(100)

신학대학 31(40.8) 17(22.4) 11(14.5) 10(13.2) 2(2.6)

5(6.6)

76(100)

문화콘텐츠

대학

84(26.4) 95(29.9) 61(19.2) 61(19.2) 7(2.2) 10(3.1) 318(100)

테크노과학

대학

134(25.4) 164(31.1) 102(19.3) 104(19.7) 15(2.8) 9(1.7) 528(100)

공과대학 125(27.0) 134(28.9) 111(24.0) 64(13.8) 11(2.4) 18(3.9) 463(100)

사회과학

대학

235(24.0) 305(31.1) 194(19.8) 177(18.0) 40(4.1) 30(3.1) 981(100)

음악대학 121(28.7) 119(28.2) 86(20.4) 79(18.7) 8(1.9)

9(2.1) 422(100)

미술디자인

대학

105(28.6) 77(21.0) 83(22.6) 73(19.9) 11(3.0) 18(4.9) 367(100)

사범대학 157(28.8) 127(23.3) 122(22.3) 116(21.2) 11(2.0) 13(2.4) 546(100)

웹툰애니메

이션게임

대학

29(29.6) 13(13.3) 27(27.6) 17(17.3) 4(4.1)

8(8.2) 98(100.0)

이를 성별과 단과 대학별로 살펴본 결과도 전체 조사대상자의 결과와 

비슷한 경향을 보이고 있으나, 남학생의 경우에는 ‘성희롱․성폭력 예방특
강’ 31.4%로 가장 높게 나타나 지속적인 성희롱·성폭력 예방교육의 필요성
을 알 수 있다. 여학생들의 경우 ‘이성 교제 시 성적 문제 대처 방법’과 ‘성
병 예방 및 대처방안’, 그리고 ‘피임법’ 등이 남학생들보다 높은 비율을 보
여 남학생들보다는 성적 대처에 있어 조금 더 구체적이고 적극적인 내용의 
관련 교육을 희망하는 것으로 나타났다. 이에 이성교제에 관한 다양한 교
육적 접근이 필요할 것으로 보인다. 특히 최근 발생하는 데이트 폭력의 심
각성을 볼 때 이성 간에 건강한 의사소통 및 갈등 해결 방안 등을 집중적으
로 교육하여 데이트 상황 속에서 발생할 수 있는 폭력과 성 관련 문제들을 


background image

257

대학생들의 성적 괴롭힘에 대한 인식과 개선을 위한 

교육 프로그램 개발┃노성동

해결할 수 있을 것이다. 이것은 자칫 왜곡된 성인식으로 인해 서로에게 상
처를 주고 이성교제 시 문제가 발생할 수 있는 것을 예방하고 대학생으로
서 건강한 이성관과 데이트관을 심어줄 수 있는 긍정적인 효과를 가져올 
것이다. 

5. 성 인식 개선을 위한 교육 프로그램 개발

지금까지 대학생들을 대상으로 성적 괴롭힘에 대한 인식을 조사한 결

과를 분석해 보면 학생들은 다양한 성적 괴롭힘을 인식하고 있으며 이러한 
상황에 노출되어 있는 것으로 나타났다. 이러한 상황을 예방하고 잘못된 
성 인식을 개선하기 위해서는 폭력예방교육과 더불어 실질적인 성인식 개
선 교육 프로그램이 반드시 필요할 것이다. 이에 대학에서 실시하고 있는 
폭력예방교육을 좀 더 효과적으로 교육하기 위한 방안과 학생들에게 실질
적으로 다가가기 위한 다양한 교육 프로그램은 다음과 같다. 

1) 양성평등 구현을 위한 성희롱·성폭력 예방 교육의 강화

(1) 성희롱·성폭력 예방교육의 목표 및 필요성
예전부터 한국 사회는 밑바닥에 깔려 있는 성역할 및 가부장적인 고정

관념이 자리 잡고 있었다. 이러한 전통적인 성 고정관념은 남성을 보조하
는 여성의 순종적인 역할을 기대하였으며 육아와 가사에만 전념해야 했
던 분위기와 환경은 많은 여성들의 사회진출을 힘들게 만드는 원인이 되었
다.2) 어려웠던 사회진출 속에서 당연히 여성들에게는 남녀평등사상이 옳게 
인식되어 질 수 없는 분위기가 자리 잡았으며, 남녀의 성역할이 불평등 하
다는 것을 대부분 아무렇지 않게 여기는 환경이었다.3)

성희롱·성폭력에 대한 인식은 양성평등 의식의 부재로 인해 영향을 받

2) 이영자 외 3인, 『성평등의 사회학』, 한울아카데미, 1994, 100쪽.
3) 이진분, 『성평등 문화를 여는 교육』, 또 하나의 문화, 1995, 52쪽.


background image

258 

지식과 교양 Vol. 13

게 되었고, 그중에서도 성적인 폭력의 경험들이 가장 큰 요인이었으므로 
대학생들의 건전하고 건강한 이성 교제와 남성과 여성의 성역할 인식을 통
한 올바른 대학 생활 적응을 위해 성인식 개선을 위한 프로그램 개발과 상
담을 교과과정에 적용시켜 교육하는 것이 필요하다고 생각된다.4) 

그러므로 양성평등의 사회를 구현하기 위해서는 오랜 시간 가부장제의 

지배 아래 형성 되어진 사회 문화적 이데올로기와 그 위에 정착된 성차별
적인 사회구조를 비판적으로 바라볼 수 있는 사회 전반적인 의식의 변화가 
필요하다. 따라서 사회 전반의 성차별적인 의식변화를 도모하기 위한 교육
적인 노력이 중요한 과제로 대두되는 것이다. 

(2) 양성평등 의식 강화를 위한 폭력예방교육 활성화
양성평등교육은 가부장적 제도로 인해 형성된 성차별적인 관념과 구조

를 비판적인 시각으로 바라볼 수 있는 성인지 감수성을 길러 주는데 초점
을 둔다.5) 성인지 감수성이란, 사회가 규정해 놓은 성역할 고정관점을 비판
적으로 인식하고 남성과 여성의 생물학적 차이를 차별이 아닌 다름으로 이
해하며, 존중과 배려를 통해 양성이 균형 있는 역할을 찾아가도록 돕는 지
적, 정서적, 의지적 측면을 포괄하는 것이다.6) 그러므로 양성평등교육은 남
성과 여성의 생물학적 차이를 사회 문화적 차별로 직결시키지 않고, 어느 
특정성에 대한 왜곡된 고정관념이나 차별적 태도를 경계하며, 남녀 모두에
게 잠재된 특성을 충분히 발현하여 공유한 삶의 영역을 발전시켜 나갈 수 
있도록 촉진하는 교육적 노력이다.7)

학생들이 희망하는 성 관련 교육내용에서도 ‘성희롱·성폭력 예방특강’

4) 김보경 외 5인, 「대학생의 양성평등 의식, 자아존중감이 데이트 폭력 인식에 미치

는 영향」, 『Journal of Oil & Applied Science』 vol. 35, no. 3, 2018, 769쪽.

5) 안정선·이갑숙, 『양성평등의 이해』, 대전광역시, 2002, 151쪽.
6) 위의 책, 276쪽.
7) 위의 책, 163쪽.


background image

259

대학생들의 성적 괴롭힘에 대한 인식과 개선을 위한 

교육 프로그램 개발┃노성동

이 27.6%로 상당히 높게 나타났음을 볼 수 있다. 설문을 조사한 A대학교에
서는 매년마다 재학생들의 성인식 개선을 위해 성희롱·성폭력의 심각성을 
인식하고 양성평등 의식을 반영한 성인지 감수성을 고양하여 평등하고 안
전한 대학 생활이 가능하도록 교양과목과 비교과 과정에 적용하여 교육하
고 있다. A대학에서 교육하고 있는 성희롱·성폭력예방교육의 실례를 살펴
보면 다음과 같다.

[표 9] A 대학교 성희롱·성폭력 예방교육 프로그램

내용

형식

대상

시간 비고

- 양성평등 및 성인지 감수성 증진

- 성희롱·성폭력·가정폭력·성매매 예방

- 대학 내 괴롭힘 예방

- 신입 교직원 및 교직원 폭력예방

온라

인 및 

오프

라인 

특강

학부생(학과/

학생회/동아

리/장애학생 

등), 외국인 유

학생, 대학원

생, 교직원 

1

시간 

이상

대상별 

맞춤형 교

육 제공/

비교과

시간 인정

- 양성평등 의식향상

- 가부장제 폐해 고찰

- 진정한 ‘자기찾기’와 ‘나 다움’ 추구

집단

상담

재학생 

2

시간

비교과 

시간 인정

및 마일리

지 적립

- 양성평등 및 성인지 감수성 이해

- 성희롱·성폭력의 개념과 이해

- 대학 내 성폭력 예방을 위한 논의 및 대안 확립

교양

과목

수강생

매 학

기 15

3학점

- 성폭력 없는 캠퍼스 UCC공모

- 학생들의 주도적 참여를 통한 성인지 감수성 

향상

공모

학부생

2

주간

시상금 

지급

이러한 교육으로 인해 학생들의 관심이 증가하여 매년마다 재학생들의 

이수율은 증가하고 있으며 온라인 동영상 시청과 오프라인 집합교육의 병
행 또한 이수율이 높아진 이유로 볼 수 있겠다. 

[표 10] A 대학교 최근 3년간 폭력예방교육 이수율

폭력예방교육 재학생 이수율

연도

재학생 수(명) 

이수 인원(명)

이수율(%)

2020

7592 

4119

54.3%

2021

7962 

4584

58%

2022

7866 

4859

62%


background image

260 

지식과 교양 Vol. 13

매년 학생들의 이수율은 높아지고 있지만 교육 이후 학생들의 피드백

을 분석해보면 조금 더 실질적인 성희롱·성폭력 피해사례와 가해자 처벌과 
관련된 교육을 통해 경각심을 일깨워 줄 수 있는 현실적인 교육을 요구하
였다. 또한 온라인 교육보다 현실적이고 현장에서의 활동적인 요소를 통한 
교육이 좀 더 효과적일 수 있다는 지적도 있어 이에 대한 대비책이 필요할 
것이다. 더불어 2차 피해가 피해자에게 일어나지 않도록 대학 내에서 무심
코 넘어갈 수 있는 2차 피해의 개념과 유형을 학생들에게 설명하여 피해자
가 더 이상의 피해를 입지 않도록 교육하는 것이 무엇보다 중요하다 하겠
다.8)

(3) 참여 학습을 통한 성 인지력 함양
위에서도 언급되었듯이 학생들이 현장에서 참여할 수 있는 참여형 교

육활동이 필요하다. 서로 다른 경험과 가치관을 가지고 있는 학습자들이 
성 인지력 함양을 할 수 있는 효과적인 교육이 이루어지기 위해서는 개인 
스스로가 자신의 경험과 가치관을 성찰하고 이러한 결과를 반성적으로 재
구성할 수 있는 학습자가 주도하는 참여 방법이 활용되어야 한다. 특히 성
적 괴롭힘의 경험이 있는 참여자들이 자신의 경험을 토대로 참여학습에 참
여하면 더욱 효과가 있을 것으로 보여진다. 참여 학습은 학습자가 주도하
는 학습모형이므로 학습자의 능력과 지식이 소중하게 다루어지고, 스스로 
활동하고 깨달을 수 있는 학습조건을 조성할 수 있도록 해야 한다. 이를 위
해서는 대규모의 강당식 교육을 지양하고 소규모 참여식 학습을 원칙으로 
참가자들 간의 활발한 소통과 공감, 성찰을 이끌기 위해 노력하는 교육이
어야 한다. 정답을 알려주는 주입식 교육이 아니라 열린 질문과 토론, 모둠
활동을 통해 참가자 스스로 답을 찾아갈 수 있도록 해야 할 것이다. 또한 영

8) 한국양성평등교육진흥원, 앞의 책, 33쪽.


background image

261

대학생들의 성적 괴롭힘에 대한 인식과 개선을 위한 

교육 프로그램 개발┃노성동

상 등 다양한 시청각 자료를 활용한 교육으로 흥미를 유발하고 교육효과를 
높일 수 있도록 한다. 압축적이지만 핵심 메시지를 담고 있는 동영상 개발, 
이를 활용한 토론과 실습기법, 이를 실행할 교수자를 위한 매뉴얼 등 구체
적 활용 팁까지를 세트화하여 개발할 필요가 있다.9) 이에 학생들의 참여를 
통해 교양과목과 비교과 과정에 적용 가능한 성인지 향상 교육 프로그램을 
제안하면 다음과 같다.

[표 11] 참여 학습을 통한 성인지 향상 교육 프로그램

회기

주제

목표 및 내용

사전 과제

1

관계 형성과 

프로그램 소개

참여하게 된 이유

프로그램 참여의 동기부여

심리검사(MMPI,SCT)

2

나의 인간관계 

점검하기

자신의 성장배경과 가족관계 및 

이성관계 나누기

자신의 인생 

그래프 그려오기

3

성희롱·성폭력 

개념 이해하기

성희롱·성폭력에 대한 

개념 이해하고 나누기

자신의 성 태도 및 

가치관 적어오기

4

나의 성 태도 

점검하기

어린시절 자신의 성 역사 

탐색하기, 성 가치관 점검하기

자신의 인생에 성과 

관련된 사건 적어오기

5

성희롱·성폭력 

다시 바라보기

영화감상을 통해 성폭력 

개념 이해하기, 성희롱·성폭력 

다시 바라보기

영화 ‘노스 컨츄리’ 

감상 노트 적어오기

6

성희롱·성폭력적 

상황경험해보기

삶 속에서 경험할 수 있는 

성희롱·성폭력적 상황 

경험하고 나누기(상황극)

느낀점 적어보기

7

나의 성인지 

감수성 높이기

자신의 성인지 감수성 

체크하기, 양성평등에 대한 

새로운 관점 갖고 느낀점 나누기

프로그램 참여 

소감문 작성

(4) 단발성 교육에서 근거 기반의 체계적 교육 강화
배움의 전당인 대학 내에서 이러한 성 고충 사건을 뿌리뽑기 위해서는 

보다 다양한 접근의 폭력예방과 양성평등에 관한 교육 등이 강화되어야 
할 것이다. 이를 위해 대학 내부자원을 활용한다면 단발성의 교육이 아니
라 체계적이고 지속적인 교육 실시가 가능할 것이다. 지금의 연 1회, 1시간

9) 송인자, 『대학 성폭력예방교육 현황과 특성화방안』, 대학양성평등 문화확산과 

성폭력 예방 정책세미나, 2016, 64

-65쪽.


background image

262 

지식과 교양 Vol. 13

이라는 교육시간으로는 효과성을 기대하기 어렵다. 단순 교육 실시 횟수나 
교육 참여율 증가보다는 내부자원을 활용하여 정기적인 대면 교육을 실시
하는 경우 내실 있는 예방교육이 될 수 있을 것이다. 특히 대학 교양과목을 
통해 강의하고 있는 ‘성과 사랑’, ‘성과 문화’ 등 성과 관련된 교과목을 통해 
성에 대한 올바른 인식과 대처방안에 대해 교육하여 기존 교육에서 다룰 
수 없는 폭넓은 양성평등 관련 주제들을 학생들과 토론을 통해 생생한 현
장의 목소리를 듣고 함께 대처방안을 강구 할 수 있는 살아있는 교육이 될 
수 있도록 강화시켜 나가야 할 것이다. 이를 위해 제안할 것은 반드시 양성
평등 관련 강좌를 교양필수과목으로 운영할 것과 학생들의 폭력예방교육
의 적극적 참여를 유도하기 위해 성적 조회 시 교육 이수를 필수화하도록 
하거나, 단과 대학별로 예방교육 이수자에 한 해 장학금, 교환학생 신청 등
의 기회를 부여하는 것 등 제도적인 개선 또한 생각해 볼 수 있을 것이다.10)

이러한 체계적, 지속적 교육을 위해서는 교육대상자의 요구도와 성인

지 수준, 그동안 실시해 온 예방교육의 효과성 등을 평가하여 그 결과에 근
거한 교육시스템을 구축하도록 하는 것이 필요하다. 

또한 교육 대상별 안전 체감도 등 폭력예방 교육 효과성 지표개발 및 조

사 결과를 환류할 수 있도록 함으로써 체계적이고 지속적인 교육 인프라를 
구축하는 것이 중요하다. 교육 실시 후 대상별로 예방의식 변화 측정 등 주
요 대상별 안전 체감도 및 예방교육 필요성에 대한 조사분석을 통하여 구
체적으로 교육 분야별, 기관 특성별, 수준별 맞춤형 콘텐츠 개발 및 보급하
는 계획을 수립할 수 있을 것이다. 더불어 대학 내 성폭력과 관련된 실태조
사와 교육수요자 요구도 분석, 교육생 인식조사 등을 통해 교육의 효과성 
분석 결과를 적극적으로 홍보하는 것 역시 필요하다.

10) 장미경, 『대학 내 폭력예방교육의 실효성을 높이기 위해』, 대학양성평등 문화확

산과 성폭력예방 정책세미나, 2016, 155쪽.


background image

263

대학생들의 성적 괴롭힘에 대한 인식과 개선을 위한 

교육 프로그램 개발┃노성동

2) 성적 주체성 확립을 위한 대학생 데이트 폭력 예방 교육 수립

(1) 데이트 폭력 예방교육의 목표 및 필요성
최근 5년간 연인에게 폭행당한 사람 20~30대 35,693명 중 사망자는 

227명에 이른다고 한다.11) 이에 심각한 사회적 문제로 대두되고 있는 데이
트 폭력의 심각성을 인식하고 성적 주체성을 증진하여 평등하고 안전한 대
학생 데이트 문화가 가능하도록 교육하는 것이 목표이다. 성 괴롭힘의 항
목 중 성적 괴롭힘의 대상으로 ‘이성 친구’가 13.9%로 나타났고 특히 여학
생들이 원하는 교육도 ‘이성 교제 시 성적 문제 대처 방법’(28.2%)을 가장 
많이 요구한 것을 보면 이성 교제 대상으로 인한 성적 괴롭힘의 요인이 증
가하였고 이에 대한 대처 방법을 고민하고 있는 것으로 드러나 데이트 폭
력 예방교육이 시급한 것으로 나타났다. 그러므로 각 단과 대학별로 주기
적인 데이트 폭력 실태조사를 통하여 이를 적용한 교양과목 및 여성학, 사
회학 관련 전공과목에 데이트 폭력 예방 교육 프로그램을 시행해야 할 필
요성이 요구되어 진다.

이에 데이트 폭력예방교육의 교육내용으로는 데이트 폭력의 개념과 범

주, 유형을 살펴봄으로서 데이트 폭력에 대한 바른 인식을 돕고, 예방을 위
하여 데이트 폭력의 징후를 식별하는 방법과 구체적인 대처방안에 대해 알
아본다. 또한 데이트 폭력의 법적 시행 사례를 살펴보면서 구체적인 법령
과 데이트 폭력으로 인한 다양한 형벌의 내용을 교육하는 것이 예방적 차
원에서 큰 도움이 될 것이다. 

(2) 캠퍼스 내 안전 데이트를 위한 교육 프로그램
학생들에게 데이트 폭력 예방 프로그램의 교수법 중 ‘역할극 등의 체험

활동’을 통해 교육하는 것이 효과적인데 ‘데이트 폭력 상황 인지하기’나 ‘성

11) 김경운 외 2인, 「친사회적 조력자 모델을 활용한 데이트 폭력예방프로그램 효과

에 관한 연구」, 『치안정책연구』 제37권 1호, 2023, 322쪽.


background image

264 

지식과 교양 Vol. 13

적 자기 결정권을 통하여 거절하는 방법 훈련하기’ 등을 실질적으로 역할
극을 통해 훈련하고 경험하는 것이 가장 효율적인 교수법이다. 다시 말하
자면, 데이트 폭력이 발생하는 상황을 인식하는 훈련 방법은 다양한 데이
트 폭력 행동(성희롱, 성폭력, 스토킹, 신체적 폭력, 언어폭력 등)을 사전에 
예방할 수 있는 효과적인 방법이다. 따라서 상황에 맞는 역할극 등을 통한 
체험학습을 실제로 체험하고 남녀 간의 건강한 데이트 생활, 올바른 이별
(안전이별)방법에 대한 연습 등의 훈련과정이 필요하다.12) 이에 관련 교과
목에 적용할 수 있는 캠퍼스 내 안전 데이트를 위한 교육 프로그램을 제안
하면 다음과 같다.

[표 12] 안전 데이트를 위한 교육 프로그램

회기

주제

목표 및 내용

사전 과제

1

관계 형성과 

프로그램 소개

프로그램 참여 동기부여

심리검사(MBTI)

2

나의 이성 관계 

점검하기

이성 관계 나누기

나의 이성관 생각해 보기

이성간 데이트 연애 

주기표 완성하기

3

데이트 폭력 및 

스토킹 개념 

이해하기

데이트 폭력과 후유증, 스토킹에 

대한 개념 이해하고 데이트 폭력 

상황 인지하고 나누기

데이트 태도 및 

가치관 작성해오기

4

성적 자기 

결정권을 통해 

거절 및  대처하기

역할극을 통해 데이트 폭력 상황 

시 거절 및 대처하는 훈련 배우기

-

5

데이트 폭력 대응 

및 피해자 돕기

데이트 폭력 및 스토킹 안전하게 

대응하기/데이트 폭력 피해자 

입장에서 생각해 보고 돕기

데이트 폭력 및 스토

킹 전담 경찰관 특강

(3) 이성간 대인관계(의사소통, 갈등, 분노 조절) 훈련 프로그램
특별히 이성 간 관계에서 오는 갈등은 데이트 상황 속에서 폭력 행동을 

증폭시키는 가장 큰 요인으로 작용하였다는 점에서 이 문제를 해결하기 위
한 다양한 심리 상담 및 교육 프로그램이 필요할 것이다. 그러므로 데이트 
폭력 상황을 미리 예방하고 이성 관계의 질을 증진시키기 위한 프로그램에
12) 김래은 외 1인, 「대학생 데이트 폭력예방프로그램」, 『융합정보논문지』 제10권 1

호, 2020, 184-185쪽.


background image

265

대학생들의 성적 괴롭힘에 대한 인식과 개선을 위한 

교육 프로그램 개발┃노성동

는 의사소통 기술, 갈등해결 기술, 그리고 분노 조절 훈련 등이 반드시 포함
되어야 한다. 분노가 일어나는 상황 속에서 감정을 자기 스스로가 조절하
고 올바르게 표현하는 훈련 방법을 받게 되면 갈등이 발생하였을 때 보다 
건강한 방식으로 대처할 수 있을 것이다.13) 예를 들어 보면 분노 표출과 같
은 심리 내적인 문제를 다른 대처 훈련을 통해 해소할 수 있는데 이것이 경
험적으로 도움이 된다는 ‘공격성 대체 훈련(ART) 프로그램’을 들 수 있다. 
역할극, 모델링, 피드백, 이전(transfer) 등의 구조화된 친사회적 기술을 체
험하고, 분노 사이클을 활용한 분노 조절 훈련을 실시할 필요성이 있다. 또
한 ‘커플 힐링 프로그램’도 이성간 서로에 대해 이해할 수 있는 올바른 시각
을 제시하는데, 이성 친구와 함께 참여하여 서로의 성향과 행동적 특성을 
이해하고 데이트를 함에 있어 서로를 어떻게 존중하고 이해해야 하는지를 
학습할 수 있는 기회를 제공한다.14) 이와 같은 이성 간 갈등 및 분노 조절훈
련을 위한 교육 프로그램은 교과목에 접목해도 좋겠지만 비교과 과정의 집
단교육 프로그램으로 적용하면 더욱 좋을 것이다. 프로그램의 내용을 정리
하면 다음과 같다. 

[표 13] 이성 간 분노 조절 교육 훈련 프로그램

주제

주제별 내용

분노와 

공격성

생각

하기

- 자신이 생각하는 분노에 대해 이야기하기

- 이성간 갈등 상황(분노 및 공격상황)에서 나타나는 특성과 변화 설명

- 분노 발생단계를 제시. 

- 이성간 갈등시 발생하는 합리적 생각과 비합리적 생각 차이 이해하기 

- 갈등과 분노로 예측되는 피해 상황과 후유증 생각해 보기

분노와 

공격성 

조절

하기

생각

하기

- 분노와 공격성을 조절하는 효과적인 방법 설명

- 역할극(입장 바꾸어서 상대방의 감정 생각해 보기)

실천

하기 - 분노와 공격성을 조절하는 방법을 한 가지 이상 생각하고 실천 하기 

13) 정소영 외 2인, 「대학생의 데이트폭력 편견이 데이트폭력 가해행동에 미치는 영

향」, 『사회과학연구』 제27집 4호, 2011, 145쪽.

14) 구혜영, 「대학생 데이트폭력 허용성 영향요인 연구」, 『미래사회복지연구』 제8

권 1호, 2017, 59-60쪽.


background image

266 

지식과 교양 Vol. 13

(5) 조력자 개입 모델 프로그램
조력자 개입 모델 프로그램을 도입할 필요성이 있는데 주변의 친구들

이나 가족, 지인들에게 데이트 폭력의 위험성이 있는 상황에서 도움을 줄 
수 있는 프로그램이다. 조력자 개입 모델 프로그램은 4개의 교육 프로그램
으로 이루어진다. 첫 단계에서는 참가자들에게 프로그램을 소개하고 주요 
개념과 전략들에 대해 논의한다. 두 번째 단계에서는 성폭력, 데이트 폭력 
등 범죄에서 나타나는 행동 등을 살펴보고 위험 상황 등을 어떻게 인식할 
수 있는지 가르친다. 세 번째는 조력자 행동을 방해하는 장애 요소들을 교
육하고, 마지막으로 개입 기술을 도입해 개입에 대한 자신감을 불러일으킨
다.15) 

조력자 개입 프로그램은 범죄를 예방하기 위한 개입 기술을 가르치는 

것을 넘어 공동체 구성원들의 참여를 촉진하고 인식을 변화시키며, 사회
적 규범과 문화를 개선하고, 궁극적으로는 지속적인 사회 변화를 목적으로 
한다. 이러한 효과적인 데이트 폭력 예방교육을 수립하기 위해 대학 내 학
생상담센터 혹은 인권센터와 각 학과 간에 프로그램을 통한 연계가 필요할 
것으로 보인다. 특히 학생상담센터에서 진행하는 맞춤형 특강 혹은 집단상
담 프로그램을 적극 활용하여 학생들에게 도움을 줄 수 있으며 학생상담센
터에서는 이러한 프로그램을 각 단대별로 적극 홍보하여 각 학과에서 이러
한 프로그램에 적극 참여할 수 있도록 독려해야 할 것이다. 

3) 성인지 감수성 증진을 위한 미디어 다시 보기 교육 실천

(1) 미디어 다시 보기 교육의 필요성과 목표
대중매체는 사회 구성원의 가치관에 많은 영향을 미친다. 이는 성차별

적 미디어를 개선하고 성평등 미디어를 확산해나가야 하는 중요한 이유

15) 김경운 외 2인, 앞의 책, 330쪽.


background image

267

대학생들의 성적 괴롭힘에 대한 인식과 개선을 위한 

교육 프로그램 개발┃노성동

다.16) 최근 방송 매체 및 미디어를 통한 환경이 급변하면서 미디어에서 나
타나는 성적 이미지는 더욱 민감한 주제로 드러나게 되었고 새로운 매체 
환경은 성 콘텐츠의 사실상의 저돌적인 확산과 통제 불가능성, 접근의 용
이성으로 인한 성 콘텐츠의 무분별한 접촉 등으로 특징지어질 수 있다.17) 
Gerbner와 Gross(1976)는 미디어가 단순한 커뮤니케이션 도구를 넘어 사
회 구성원의 사회현실 인식에 영향을 미치고 있음을 주장하였다. 이들은 
문화계발 효과이론을 통해 어린이와 청소년들이 미디어의 폭력성으로 인
해 미치는 부정적 영향력에 주목하였다.18) 

디지털 미디어 공간의 성범죄의 대표격인 ‘n번방 텔레그램 사건’을 비

롯해 미디어 안에서의 다양한 성범죄는 다양한 디지털 미디어 환경에 익숙
한 10대, 20대의 디지털 네이티브 세대에 의해 행해졌다는 점은 충격적이
다. 그러나 이것은 단지 하나의 개별적 사건이 아니라 그동안 방치되었던 
온라인 성폭력의 연장선상에서 보아야 한다는 점, 개개인의 성적 일탈이 
아닌 여성을 바라보는 왜곡된 성인식과 이를 바로잡는 교육의 부재가 누적
되어 발생한 사건으로 접근해야 한다는 점에서 오늘날 미디어 교육에 성인
지 관점의 개입이 필요함을 알려준다.19) 미디어 다시 보기 교육의 목표는 
대학생들이 가장 쉽게 접할 수 있는 미디어 문화 속에 나타난 왜곡된 성 문
화들과 양성평등의 문제들을 다룸으로서 문화에 내재된 왜곡된 성 의식을 
비판적으로 바라볼 수 있게 함으로서 성인지 감수성을 향상시킬 수 있는 

16) 이수연 외 4인, 「양성평등문화 확산을 위한 정책과제 개발」, 『한국여성정책연구

원』, 2014, 47쪽.

17) Barak, A., & Fisher, W. A, “Sex and the Internet: A guide book for 

clinicians: The future of Internet sexuality”, New York:Brunner-

Routledge, 2022, pp.154-160.

18) Gerbner, G. & L. P. Gross, “Living with television: The violence profile”,  

Journal of Communication, vol. 26, no. 2, 1976, pp.172-199.

19) 홍지아·정사강, 「성인지 미디어교육의 현황과 가능성에 대한 연구」, 『한국여성

학』 36권 3호, 2020, 156쪽.


background image

268 

지식과 교양 Vol. 13

데 있다.

(2) 미디어 리터러시(media literacy)와 성교육과의 접목
대학생들의 미디어에 대처하는 역량을 강화시켜 스스로 미디어의 영향

으로부터 자신을 보호할 수 있도록 미디어를 비판적으로 읽고 활용하는 능
력인 미디어 리터러시(media literacy)와 성교육과의 접목이 필요하다.20) 
대학생들에게 미디어 리터러시 성교육은 영상매체의 성적 메시지를 비판
적으로 판단하고 해석할 수 있는 능력을 키워주는데 이것은 대학생들의 건
강한 성인식을 강화시키는데 매우 효과적인 역할을 한다.21) 미디어 시대의 
성교육은 학생들이 수동적으로 미디어 교육을 받아들이는 것이 아니라 능
동적으로 해석하고 비판할 수 있도록 성 관련 미디어 리터러시가 포함되어
야 하며, 이러한 미디어 리터러시가 대학생들의 성(性)을 이해하고 교육하
는데 필수적인 요인이 되고 있다.22)

(3) 미디어에 나타난 왜곡된 성 문화 바꿔서 보기
학생들은 대부분 기존 방송사보다는 웹드라마나 OTT 플랫폼의 콘텐츠

를 선호하고, 유튜브나 1인 방송을 시청한다. 따라서 교육내용으로는 무의
식 중 미디어를 통하여 습득하는 왜곡된 성문화를 살펴보고, 올바른 성인
식 구현을 위해 미디어 속 내용이 어떻게 극복되어야 하는지에 관하여 살
펴본다. 교육내용으로는 ‘슬기로운 유튜브 생활’, ‘대중문화 속에 나타난 광
고 바꿔보기’, ‘대중가요 노랫말 분석’ 등 학생들이 관심을 가질 만한 미디

20) 박용원·서은희, 「청소년 미디어 리터러시 활용 성교육 프로그램의 효과」, 『학습

자중심교과교육연구』 21권 13호, 2021, 202쪽.

21) Stulhofer, A., Busko, V., & Landripet, I. “Pornography, sexual socializa- 

tion and satisfaction among young men”, Archives of Sexual Behavior, 

vol. 39, no. 1, 2010, pp.168-178.

22) 이규영·송승훈, 「미디어 리터러시 자아존중감이 고등학생의 성 개방성에 미치는 

영향」, 『한국콘텐츠학회논문지』 1권 2호, 2016, 740-749쪽.


background image

269

대학생들의 성적 괴롭힘에 대한 인식과 개선을 위한 

교육 프로그램 개발┃노성동

어 콘텐츠를 활용한 수업사례와 디지털 성범죄 예방교육, 남자다운/여자
다운 행동을 비교하며 성역할 고정관념을 올바르게 바꿔보는 내용으로 구
성되어 있다.23) 

미디어 속에 나타난 왜곡된 성문화는 너무나도 많이 있다. 그러나 비판

적인 의식 없이 미디어 속 역할 고정관념을 접할 때 무의식 중 성차별적인 
사회통념에 대한 재학습이 일어나게 된다. 미디어의 또한 역할인 언론 또
한 여성을 성적 대상화 하는 풍토가 공기처럼 퍼져나가고 있다.24) 따라서 
미디어 안에 내재 되어 있는 왜곡된 성문화나 성역할 고정관념을 비판적인 
시각에서 볼 수 있어야 할 것이며 이러한 비판적 시각으로 바라볼 수 있는 
교육이 반드시 필요하다.

그러나 성인지 미디어 교육을 실천하는 것에 대해서는 많은 어려움이 

드러나는데 교육으로서의 미디어 교육은 공식 교과 교육과정에 포함되어 
있으나 성인지 관점의 적용은 아직 선택사항이라는 것이다. 이에 성인지 
미디어 교육을 적극적으로 독려하기 위해 대학에서는 적극 반영하여 미디
어 교육을 통한 대학생들의 인식 개선에 앞장서야 할 것이다. 

6. 나가는 말

최근 한국 사회의 폭력의 문제는 다양한 양상으로 발생 되고 있다. 특히 

성적 괴롭힘은 일상뿐 아니라 미디어 매체, 사회조직과 구조 속에 잠재되
어 표출되고 있으며 학교 현상에서도 동일하게 발생되고 있다. 최근 초등
학교에서부터 발생하고 있는 성폭력의 문제는 교육영역에서의 적극적 대
응과 아울러 예방적 차원의 교육이 더욱 강화되어야 함을 보여주고 있다. 
이러한 맥락에서 본 연구는 대학생들의 성적 괴롭힘의 경험, 그에 대한 대

23) 홍지아·정사강, 「성인지 미디어교육의 현황과 가능성에 대한 연구」, 『한국여성

학』 36권 3호, 2020, 176쪽.

24) 최지은, 『괜찮지 않습니다』, RHK, 2017, 77쪽.


background image

270 

지식과 교양 Vol. 13

처방식, 예방교육을 통해 다루어져야 할 내용 등을 알아봄으써 대학생들의 
성인식 개선을 위한 프로그램 개발에 큰 도움을 줄 수 있을 것이다. 이에 효
율적인 성인식 개선 프로그램을 위한 제언은 다음과 같다. 

먼저 연구 결과를 통해 많은 학생들이 다양한 양식의 성 불평등의 경험

뿐 아니라 성적 괴롭힘의 경험들이 있음을 알 수 있다. 그러나 이러한 상황
에 대해 대처하는 방법에 대하여 알지 못하거나 인지하지 못해 참고 지나
쳐 버리는 경우가 많이 있음을 알 수 있었다. 이러한 차원에서 대학 내 다양
한 방식의 성희롱·성폭력 예방교육은 대학생들의 성인식 개선과 구체적 대
응에 많은 도움을 줄 수 있을 것이다. 따라서 교양교육 및 비교과 교육과정
을 통하여 대학생들의 양성평등을 기반으로 한 성인지 감수성 교육이 체계
적이고도 지속적으로 이루어질 수 있도록 학생상담센터와 인권센터, 그리
고 각 학과가 적극 연계하는 것이 필요하다. 이에 대학 전체가 서로를 돌보
는 하나의 돌봄시스템으로 나아갈 수 있도록 다양한 매뉴얼을 만들어 교육
에 앞장서야 할 것이다.

두 번째로 성적 괴롭힘의 사건은 일상의 사소한 영역에서도 빈번하게 

발생하고 있음을 볼 수 있다. 이러한 부분을 방지하기 위하여 학생들의 삶
의 생태계 전반에서 평등적 관점의 비판적 의식을 가질 수 있도록 미디어 
분석, 언어분석 등 문화체계 및 사회구조 전반에 대한 비판적 성찰을 가질 
수 있는 교육이 필요하다. 이러한 교육을 위해 학습자 중심의 참여 교육, 일
상생활의 문제의식 중심의 미디어 교육 등의 교수 방법의 다양화를 통한 
교육이 개발될 필요가 있다. 이러한 교육과 더불어 학생들에게 미디어에 
나타난 성문화에 관한 공모전을 통하여 학생들이 직접 다양한 정보를 가지
고 참여할 수 있는 프로그램을 마련하는 것도 좋은 방안이 될 수 있을 것이
다. 

세 번째로 더 나아가 가정과 학교, 공공기관에서의 협력적 교육이 이루


background image

271

대학생들의 성적 괴롭힘에 대한 인식과 개선을 위한 

교육 프로그램 개발┃노성동

어진다면 양성평등과 성인지 감수성을 기반으로 한 교육의 효율성 증진은 
물론 양성평등사회 구현은 좀 더 용이해질 것이다. 이러한 양성평등교육
과 성인식 개선에 관한 캠페인을 지역 기관과 연계해 대학 내에서 실천해 
나간다면 학생들에게 다양한 성인식 및 양성평등교육에 관한 체험들로 인
해 성인식 개선에 효과가 있을 것으로 보여진다. 이를 위해 지역 기관과의 
MOU를 통해 사업협약을 체결하고 구체적인 교육 프로그램을 논의함으로
서 학생들에게 보다 도움이 되는 질 좋은 교육 프로그램들을 구축해 나갈 
수 있을 것이다. 

물론 다양한 성인식 개선을 위한 교육 프로그램을 개발하고 시행하는 

데는 각 대학과 학생들의 관심과 참여도가 중요할 것이다. 또한 교수자로
서 교양과목에서 이러한 내용들을 통한 교육내용은 전달되었지만 폭력예
방교육 외에는 아직까지 교육 프로그램으로 적용하지 못한 한계점을 가지
고 있다. 하지만 학생들의 성적 괴롭힘에 대한 인식을 조사하고 학생들의 
실태와 요구 되어지는 교육내용을 분석하여 도움이 될 수 있는 교육적 프
로그램을 개발할 수 있는 토대를 세울 수 있다는 점에 본 연구에 의의를 둘 
수 있을 것이다. 따라서 추후 개발되는 성인식 개선을 위한 교육 프로그램
을 적용하여 실질적인 효과성에 대한 연구가 지속될 수 있기를 기대해 본
다.


background image

272 

지식과 교양 Vol. 13

참고문헌

구혜영, 「대학생 데이트폭력 허용성 영향요인 연구」, 『미래사회복지

연구』 8권 1호, 한국사회복지실천연구학회, 2017, 37-68쪽.

김경운·정지연·박현호, 「친사회적 조력자 모델을 활용한 데이트 폭력

예방프로그램 효과에 관한 연구」, 『치안정책연구』 37권 1

호, 경찰대학 치안정책연구소, 2023, 321-353쪽.

김래은·구상미, 「대학생의 데이트폭력 예방 프로그램 개발을 위한 

성별 및 전공계열에 따른 요구의 차이」, 『융합정보논문지』 

10권 1호, 중소기업융합학회, 2020, 178-186쪽.

김보경·김혜경·이아영·김태우·박재희·김동욱, 「대학생의 양성평등 의

식, 자아존중감이 데이트 폭력인식에 미치는 영향」, 『한국

응용과학기술학회지』 35권 3호, 한국유화학회, 2018, 768-

777쪽.

김영희 외 3인, 『키워드로 만나는 대학 성희롱 성폭력 사건처리 가이

드』, 한국대학성평등상담소협의회, 2020.

박용원·서은희, 「청소년 미디어 리터러시 활용 : 성교육 프로그램의 

효과」, 『학습자중심교과교육연구』 21권 13호, 학습자중심

교과교육학회, 2021, 201-215쪽.

안정선·이갑선, 『양성평등의 이해』, 대전광역시, 2002.
이규영·송승훈, 「미디어 리터러시 자아존중감이 고등학생의 성개방

성에 미치는 영향」, 『한국콘텐츠학회논문지』 16권 2호, 한

국콘텐츠학회, 2016, 740-749쪽.

이수연 외 4인, 『양성평등문화 확산을 위한 정책과제 개발』, 한국여

성정책연구원, 2014.

이영자 외 3인, 『성평등의 사회학』, 한울아카데미, 1996.
이진분, 『성평등 문화를 여는 교육』, 또 하나의 문화, 1995.
정소영·임채영·이명신, 「대학생의 데이트폭력 편견이 데이트폭력 가


background image

273

대학생들의 성적 괴롭힘에 대한 인식과 개선을 위한 

교육 프로그램 개발┃노성동

해행동에 미치는 영향」, 『사회과학연구』 27권 4호, 경성대

학교 사회과학연구소, 2011, 127-151쪽.

최지은, 『괜찮지 않습니다』, RHK, 2017.
한국양성평등교육진흥원, 『대학 양성평등 문화확산과 성폭력 예방 

정책 세미나』, 2016.

한국양성평등교육진흥원, 『2023년 성희롱 성폭력 고충상담원교육

(전문과정)』, 2023.

홍지아·정사강, 「성인지 미디어교육의 현황과 가능성에 대한 연구」, 

『한국여성학』 36권 3호, 한국여성학회, 2020, 153-196쪽.

Barak, A., & Fisher, W. A, “Sex and the Internet: A guide book for 

clinicians: The future of Internet sexuality”, New York: 

Brunner-Routledge, 2020.

Gerbner, G. & L. P. Gross, “Living with television: The violence 

profile”, Journal of  Communication, vol. 26, no. 2, 1976, 

pp.172-199

Stulhofer, A., Busko, V., & Landripet, I, “Pornography, sexual 

socialization and satisfaction among young men”, Archives of 

Sexual Behavior, vol. 39, no. 1, 2010, pp.168-178


background image

274 

지식과 교양 Vol. 13

❚국문초록

본 연구는 대학생들의 대학 내 성적 괴롭힘에 대해 성적 괴롭힘의 경

험, 종류, 가해 대상, 대처방식 등의 인식을 알아보고 인식 개선을 위한 
교육적 프로그램을 개발하기 위함이다. 

연구 결과 많은 학생들이 다양한 방식의 성 불평등의 경험뿐 아니

라 성적 괴롭힘의 경험들이 있음을 알 수 있었다. 이러한 예방적 차원에
서 대학 내 다양한 방식의 예방교육은 대학생들의 성인식 개선과 구체
적 대응에 많은 도움을 줄 수 있을 것이다. 따라서 양성평등을 기반으로 
한 폭력예방 교육이 체계적이고도 지속적으로 이루어져야 할 것이며 다
양한 매뉴얼을 만들어 학생들에게 실질적으로 도움이 될 수 있도록 대
학 차원에서의 지원이 필요할 것이다. 또한 데이트 폭력을 예방하고 이
성 교제 시 필요한 갈등 해결 교육 프로그램을 통해 서로를 존중하고 배
려할 수 있는 건강한 이성교제를 이루어 나갈 수 있을 것이다. 일상속에
서 학생들이 양성 평등적 관점의 비판적 의식을 가질 수 있도록 미디어 
분석 전반에 대한 비판적 성찰을 가질 수 있는 교육이 필요하다. 이러한 
교육을 위해 학습자 중심의 참여교육, 일상생활의 문제의식 중심의 미
디어 교육 등의 교수 방법의 다양화를 통한 교육이 개발될 필요가 있다. 
이러한 다양한 교육적 프로그램을 통해 학생들에게 올바른 성인식 및 
개선에 효과가 있을 것으로 보여지며 이는 대학 내에 건강한 캠퍼스 문
화가 자리 잡을 수 있도록 기여할 것으로 기대된다. 

주제어 ● 성적 괴롭힘, 성적 괴롭힘에 대한 인식, 양성평등, 폭력예방교육, 

교육 프로그램 개발


background image

275

대학생들의 성적 괴롭힘에 대한 인식과 개선을 위한 

교육 프로그램 개발┃노성동

❚Abstract

Development of educational program for recognizing and 

improving college students' sexual harassment

Noh, Sung Dong / Mokwon University

The purpose of this study is to find out the perception of college students' 

experiences of sexual harassment, types, victims, and countermeasures 
against sexual harassment in college, and to develop an educational program 
to improve awareness.

As a result of the study, it was found that many students had experiences 

of sexual harassment as well as experiences of gender inequality in various 
ways. In this preventive dimension, preventive education in various ways 
within universities will be of great help in improving college students' gender 
recognition and concrete responses. Therefore, violence prevention education 
based on gender equality should be systematically and continuously carried 
out, and support at the university level would be needed to make various 
manuals that are of practical help to students. In addition, it will be possible 
to achieve healthy heterosexual relationships that can respect and care for 
each other through conflict resolution education programs that prevent dating 
violence and are necessary for dating. In everyday life, it is necessary to 
educate students to critically reflect on the overall media analysis so that they 
can have a critical consciousness from a gender equality perspective. For 
this education, it is necessary to develop education through diversification of 
teaching methods, such as learner-centered participatory education and media 
education centered on critical awareness of daily life. Through these various 
educational programs, it is expected to have an effect on correct gender 
recognition and improvement for students, and this is expected to contribute 
to establishing a healthy campus culture within the university.
Keyword ● Sexual harassment, Awareness of sexual harassment, Gender 

equality, Violence prevention education, Development of 

educational programs

❙논문투고일:2023.10.11.❙심사완료일:2023.11.08.❙게재확정일:2023.11.28.❙


background image

background image

277

수정델파이 기법을 활용한 중국 대학 무용학과 

한당고전무용 교육과정 개선방안 연구

1. 서론

중국의 고전무용은 1950년대에 구양위천(歐陽予陽)에 의해 처음 제창

되었다. 1960년대에는 신운(身韵) 훈련기법을 개발하여 발레 훈련과 과학
적인 방법을 통해 고전무용을 부활시켰다. 그러나 1966년~1976년까지 10
년 간 중국 본토에서 일어난 문화대혁명1)으로 그 명맥이 점차 단절되었으
며(장신, 이주희, 2021), 중국의 무용분야 및 문화예술 전반에 타격을 주었

* 리치아(제1저자) 중앙대학교 공연예술학과 무용학 박사수료 

   이주희(공동저자) 중앙대학교 공연영상창작학부 무용전공 교수
1) 문화대혁명은 1966년부터 1976년까지 중국에서 진행된 대규모 정치 운동으로, 

중국 공산당의 주도 아래 문화 및 사회적 변혁이 이루어진 기간이다. 이 운동은 

중국 사회의 모든 층에서 “자본주의와 전통 문화의 부패”를 척결하고 “프로레타

리아 문화”를 확립하려는 목표를 가지고 시작되었다.

리 치 아 · 이 주 희*

1. 서론
2. 연구 대상 및 연구 방법
3. 중국 대학 무용학과에 한당고전무용 교육과정 

현황 및 실태

4. 중국 대학 무용학과의 한당고전무용 교유과정 

개선방안

5. 결론 및 제언

목  차

https://doi.org/10.54698/kl.2023.13.277


background image

278 

지식과 교양 Vol. 13

으며, 문화예술교육이 폐쇄시켰다. 

1978년 ‘개혁개방(改革開放)’ 정책을 통해 전통문화를 부활시키고 중국 

무용예술을 재현하는 작업을 시작했다.  1985년에 ‘구문화 복원’ 정책을 재
정하고 중국 무용가들이 창작 작업을 시작하였다. 또한 2005년도에 ‘비물
질문화유산보호법(非物質文化遺產保護法)’을 출시하고 중국 무용가들의 
협력으로 무형문화 발굴, 보호, 전승 등 작업을 통해 무용 분야는 점차 발전
하였다.  그 결과,  지금 까지 신운고전무용(身韻古典舞), 돈황고전무용(敦
煌古典舞), 희곡고전무용(戲曲古典舞), 한당고전무용(漢唐古典舞) 등 네 
가지 고전무용 유파가 발전하였다.

중국 무용가 손영(孫穎)에 의해 창립된 ‘한당고전무용’은 중국 한나라와 

당나라 시대의 심미적 특징을 기반으로 각 시기 역사적 사건과 인물, 문화
적 특성, 사회적 변화, 전통과 관습, 민속과 전설 등 다양한 주제를 다룬다. 
이는 새로운 문화유산이나 전통문화를 재현하는 데 중요한 역할을 한다. 

손영은 한당고전무용 창작을 위해 민족문화 유산과 전통문화를 복원하

고, 국가예술기금의 지원으로 교수, 연구, 공연 등 다방면의 활동을 전개하
였다. 2003년에는 북경무용학원에서 한당고전무용 학과와 교수 및 연구소
를 창립하였으며, 중국 정부와 국가예술기금의 지원을 받아 다른 대학에서
도 교수 및 연구소 설립, 교재 개발, 이론 연구, 공연 작품 창작 등을 중심으
로 다양한 활동을 이어가고 있다.

이러한 제도적 지원 아래 2023년 9월 1일까지 9개 중국의 대학(강남

대학(江南大學), 난징예술학원(南京藝術學院), 북경무용학원(北京舞蹈學
院), 북경체육대학(北京體育大學), 사천사범대학(四川師範大學), 상하이
희극학원(上海戲劇學院), 중앙민족대학(中央民族大學), 충칭대학(重慶大
學), 톈진음악학원(天津音樂學院)에서 한당고전무용 교수 및 연구소를 체
계적으로 운영하고 있다(李建勳, 鄧文英, 2019).


background image

279

수정델파이 기법을 활용한 

중국 대학 무용학과 한당고전무용 교육과정 개선방안 연구┃리치아·이주희

한당고전무용 교육의 현황을 살펴보면, 각 대학마다 교수 내용과 개설 

비중에 차이가 있으며, 특히 북경, 상하이 등 중앙지역 대학이 아닌 지역 대
학에서 차이가 두드러진다. 국가예술기금(國家藝術基金)의 지원은  주로 
북경무용학원, 중앙민족대학, 충칭대학 등의 대학에 집중되어 있어, 그 외
의 대학들의 한당고전무용 교육 활성화에 제약이 있는 상황이다(國家藝術
基金 홈페이지, 2023). 또한, 중앙지역이 아닌 지역에서는 주로 무형문화재
의 무용 종목 중심으로 전승교육이 이루어지고 있으나, 한당고전무용에 대
한 개설 비중 및 연구 활동이 충분하지 않아 한계가 있다. 이러한 상황은 지
역 간 교육의 불균형을 초래한다(张雪婧(2019). 이로 인해 한당고전무용의 
중화민족 역사와 문화를 복원하는 데 한계가 나타난다. 

이러한 교육현황 및 문제점을 극복하기 위해, 대학에 한당무용교육과

정을 개선하는 것은 매우 필요해 보인다. 한당고전무용 교육의 활성화를 
위해, 대학의 무용교육과정 개설, 새로운 전문 인력 발굴, 체계적이고 과학
적인 한당고전무용 교육과정 및 교수방법 구축하고 방안을 마련하여 효과
적으로 운영할 수 있는 기반을 마련해야 할 필요성이 있다. 

이에 본 연구에서는 중국 대학 무용학과에서 이루어지고 있는 한당고

전무용 교육의 실태를 일차적으로 진단한 후, 이와 관련된 교육과정의 개
설 현황을 알아보고자 한다. 수정델파이 기법을 연구방법으로 채택하여 중
국 대학 무용학과의 한당고전무용 교육 활성화를 위한 교육과정 운영방안
을 모색하는 것이 연구의 주된 목적이다. 이 연구 성과가 기존 한당고전무
용교육 과정의 미흡한 점을 극복하고 체계적이고 전문적인 교육과정 개발 
및 운영을 위한 방안을 모색하는데 기초가 될 것으로 기대한다. 

2. 연구 대상 및 연구 방법

1) 연구 대상


background image

280 

지식과 교양 Vol. 13

먼저 중국 9개 대학 무용학과의 한당고전무용 교육과정 개설의 문제점

을 도출하고자, 우선 교육과정의 문제점을 진단 한 후 개선방안의 대표적
인 고려 요소들을 준거적 표집법(Critierion referenced sampling) 으로 도
출하였다. 연구대상으로는 한당고전무용 분야 연구 경력 10년 이상의 전문
직 20명으로 채택하였으며, 연구 참여자의 구성은 다음 [표 1] 과 같다. 

[표 1] 연구 참여자 목록

집단 전문가 성별 학력

전공분야

소속 및 지위

경력

대학

교(강)

*T

여 박사 한당고전무용 이론 및 실기  북경무용학원 교수

19년

*Y

여 박사

무용 이론

북경무용학원 교수

14년

*B

남 석사

한당고전무용 실기

북경무용학원 부교수 13년

**T

남 박사 한당고전무용 이론 및 실기

충칭대학 교수

19년

**L

남 박사

한당고전무용 이론

충칭대학 교수

17년

**S

여 석사

한당고전무용 이론

충칭대학 강사

12년

**Y

남 석사 한당고전무용 이론 및 실기 중앙민족대학 부교수 18년

**F

여 박사

한당고전무용 이론

중앙민족대학 부교수 17년

**Y

여 석사

한당고전무용 실기

중앙민족대학 강사

11년

*J

남 박사

한당고전무용 실기

텐진음악학원 교수

17년

*Y

남 석사

한당고전무용 실기

사천사범대학 교수

16년

*T

여 박사

한당고전무용 실기

사천사범대학 교수

13년

*L

여 박사

한당고전무용 이론

상하이희극학원 교수 17년

*W

남 석사

한당고전무용 실기

상하이희극학원 교수 14년

*J

여 박사

한당고전무용 실기

강남대학 교수

17년

**W

남 박사

무용이론

강남대학 부교수

14년

*J

여 석사

한당고전무용 실기

난징예술학원 교수 10년

*P

남 박사

무용이론

난징예술학원 교수 29년

*J

남 석사

한당고전무용 실기

북경체육대학 교수 13년

*Y

남 석사

한당고전무용 실기

북경체육대학 교수  12년

* 연구참여자의 이름은 가명처리 하였음

한당고전무용 교육과정을 살펴볼 대상 대학은 현재 한당고전무용 교수 

및 연구소를 개설되어 있는 강남대학, 난징예술학원, 북경무용학원, 북경


background image

281

수정델파이 기법을 활용한 

중국 대학 무용학과 한당고전무용 교육과정 개선방안 연구┃리치아·이주희

체육대학, 사천사범대학, 상하이희극학원, 중앙민족대학, 충칭대학, 톈진
음악학원 등 9개 대학이 해당된다. 

2) 연구 방법

본 연구에서는 수정델파이(Modified Delphi Method) 기법을 채택하였

다. 델파이 조사에는 고전적 방법과 수정된 방법 두 가지 주요 방법이 있다
(이종성, 2001). 고전적 델파이 조사는 특정 주제에 대한 제반 지식이 부족
한 상황에서 주로 사용되며, 전문가들의 의견을 수렴하기 위해 설문지 초
안을 작성하는데 도움이 된다(장지훈, 이주희, 2022; 마키앙, 2022). 그러나 
이 방식은 응답자가 애매한 질문에 답하기 어렵고 응답 범위가 너무 넓어
질 수 있다는 문제가 있다(Marchant, 1988). 반면 수정된 델파이 조사는 주
제에 대한 사전 정보가 있는 경우 1차 조사부터 폐쇄형 문항으로 구조화된 
설문지를 사용하여 응답률을 높일 수 있는 장점이 있다(Kerlinger, 1975).

따라서 본 연구에서는 고전적 델파이 조사의 단점을 보완하기 위해 수

정된 델파이 조사를 실시하였다. 또한 폐쇄형 설문과 개방형 응답 부분을 
함께 포함하여 응답자들의 자유로운 의견을 수렴하였다. 설문조사는 주로 
이메일을 통해 배포되었으며, 수정델파이 조사 기간은 2023년 7월 1일부
터 7월 15일까지 15일 간 진행되었다.   

수정델파이 조사 결과는 SPSS 24.0을 사용하여 분석되었다. 각 

평가 항목의 수정델파이 조사 내용에 대한 타당성을 평가하기 위해, 
Lawshe(1975)에 따르면, 델파이 조사에서 참여자가 20명 이상인 경우, 내
용 타당성을 평가하기 위해 0.42 이상의 항목을 대상으로 내용 타당도 비율
(Content Validity Ratio, CVR)을 계산하였다.

중국 대학 무용학과의 한당고전무용 교육과정을 도출하기 위하여 관련 

한당고전무용 교육 분야 전문가와 대학 현장 교육자가 사전에 전문가회의
를 진행하였다. 회의 참여 인원은 중국 충칭대학 교수 2인, 북경무용학원 


background image

282 

지식과 교양 Vol. 13

교수 3인, 중남대학의 무용교육 분야 수정델파이 전문가 1인 총 6인으로 구
성하였다. 회의는 텐센트 미팅(Tencent Meeting) 프로그램을 이용한 화상
회의로 진행하였다.

3. 중국 대학 무용학과의 한당고전무용 교육과정 현황 및 실태

1) 대학 무용학과의 한당고전무용 개설 현황

본 연구에서는 한당고전무용 무용연구소를 개설되어 있는 9개 대학을 

선정하여 한당고전무용 교육과정 개설 현황을 조사하였다. 해당 자료는 9
개 대학의 무용학과 공식 홈페이지 및 해당 대학 교(강)사 인터뷰 심층면담
을 통해 파악하였다. 

(1) 강남대학
강남대학 무용학과에 한당고전무용 교육과정은 전공필수와 전공선택

으로 나누어진다(강남대학 무용학과 홈페이지, 2023). 구체적인 교육목표
와 교육내용은 다음 [표 2]와 같다. 

[표 2] 강남대학 무용학과의 한당고전무용 교육

교과목

유형

교육 목표

교육 내용

고전무용훈련 

IV 

전공필수 한당고전무용의 기본 소양과 

기본 기교를 양성할 수 있다. 

신운 기반으로 훈련과 

한당고전무용의 무중력 련, 

기본자세, 발력, 스텝 등 

한당고전무용

작품 감상

전공선택

한당고전무용에 미적 특징과 

기능학적 동작 해석할 수 있는 

능력을 기른다.

‘허화이베이(荷花杯)’ 무용경연 

대회 수상한 한당고전무용 

작품, 손영의 창작한 작품 등

(2) 난징예술학원 
난징예술학원 무용학과의 한당고전무용 교육과정은 전공선택으로 개

설되어 있다(난징예술학원 무용학과 홈페이지, 2023). 구체적인 교육목표
와 교육내용은 다음 [표 3]과 같다. 


background image

283

수정델파이 기법을 활용한 

중국 대학 무용학과 한당고전무용 교육과정 개선방안 연구┃리치아·이주희

[표 3] 난징예술학원 무용학과에 한당고전무용 교육

교과목

유형

교육 목표

교육 내용

한당고전무용

작품 연구

전공선택

손영의 한당고전무용 작품을 

심도 있게 파악과 학습할 수 

있도록 한다. 

손영의 동작기, 답가 등 작품 

중심으로 동작 해석 및 재창작 

시간을 가진다. 

고전무용IV 전공선택 한당고전무용의 기본 훈련 및 

한당고전무용 작품 창작

‘허화이베이’, 

‘타오니베이(桃李杯)’ 무용 경연 

대회 작품 창작 

(3) 북경무용학원
북경무용학원 중국고전무용학과에 한당고전무용 교육과정은 전공필수

와 전공선택으로 나누어진다(북경무용학원 중국고전무용학과 홈페이지, 
2023). 구체적인 교육목표와 교육내용은 다음 [표 4]와 같다. 

[표 4] 북경무용학원 중국고전무용학과의 한당고전무용 교육

교과목

유형

교육 목표

교육 내용

고전무용I, II, 

III, IV

전공필수 전면적이고 체계적인 한당고전무용을 

학습한다

한당고전무용 기본 

훈련, 동작, 스텝, 

테크닉, 작품 창작

무용작품 제작 전공선택

한당고전무용에 기술 향상, 창의성 발휘, 

학생 간의 협업 능력 강화, 교사와의 

평가 및 피드백 수용, 공간 경험 쌓기, 

진로 관련 목표 설정할 수 있도록 한다. 

팀워크나 개인 작품 

창작, 실제 벽화, 

유적지 등 방문해 

무용 창작 시간을 

가진다. 

(4) 상하이희극학원
상하이희극학원 무용학과의 한당고전무용 교육과정은 전공선택으로 

개설되어 있다(상하이희극학원 무용학과 홈페이지, 2023). 구체적인 교육
목표와 교육내용은 다음 [표 5]와 같다. 

[표 5] 상하이희극학원 무용학과의 한당고전무용 교육

교과목

유형

교육 목표

교육 내용

고전무용V, VII 전공선택

한당고전무용 기본 원리 학습과 다양한 

무용공연 작품을 무대에서 공연하며 

실제 무용가로서의 경험을 쌓다.

한당고전무용 작품 

창작, 스텝, 무용동작, 

원리 등 


background image

284 

지식과 교양 Vol. 13

(5) 북경체육대학
북경체육대학 무용학과의 한당고전무용 교육과정은 전공선택으로 개

설되어 있다(북경체육대학 무용학과 홈페이지, 2023). 구체적인 교육목표
와 교육내용은 다음 [표 6]과 같다. 

[표 6] 북경체육대학 무용학과에 한당고전무용 교육

교과목

유형

교육 목표

교육 내용

고전무용V 전공선택

한당고전무용 기본 원리 학습과 다양한 

무용공연 작품을 무대에서 공연하며 

실제 무용가로서의 경험을 쌓다.

한당고전무용 작품 

창작, 스텝, 무용동작, 

원리 등 

고전무용VI 전공선택

학생들이 한당고전무용의 역사와 

유명한 무용가들의 작품을 

연구하고 분석하여 영감을 얻으며, 

롤 모델로서의 다양한 무용가와 

교수진으로부터 학습한다. 

한당고전무용 작품 

창작, 스텝, 무용동작, 

원리, 모방, 감상 등 

(6) 사천사범대학
사첨사범대학 무용학과에 한당고전무용 교육과정은 전공선택으로 개

설되어 있다(사첨사범대학 무용학과 홈페이지, 2023). 구체적인 교육목표
와 교육내용은 다음 [표 7]과 같다.

[표 7] 사천사범대학 무용학과의 한당고전무용 교육

교과목

유형

교육 목표

교육 내용

한당고전무용 

훈련

전공선택

학생들이 한당고전무용 기본 원리 

이해와 예술적 표현 능력 향상, 체력 및 

유연성 향상, 무용 역사와 문화 이해 등 

측면에서 촉진할 수 있다.

한당고전무용 원리, 

고전무용 문화, 

훈련법, 신체 움직임, 

발력 등 

(7) 중앙민족대학
중앙민족대학 무용학과의 한당고전무용 교육과정은 전공필수와 전공

선택으로 나누어진다(중앙민족대학 무용학과 홈페이지, 2023). 구체적인 
교육목표와 교육내용은 다음 [표 8]과 같다.


background image

285

수정델파이 기법을 활용한 

중국 대학 무용학과 한당고전무용 교육과정 개선방안 연구┃리치아·이주희

[표 8] 중앙민족대학 고전무용학과의 한당고전무용 교육

교과목

유형

교육 목표

교육 내용

중국고전무용

Ⅱ, Ⅲ, Ⅳ

전공

필수

학생들에게 중국 

한당고전무용의 역사 및 

테크닉 학습을 통해 중국 

고전무용의 아름다움과 

역사적 가치를 전달하고 

보존하며 학생들의 예술 

역량을 향상시킨다.

한당고전무용 원리, 역사, 기본 

훈련, 한당고전무용 의상과 소품 

이해,  중국 문화와 예술 표현 등을 

포함한다. 또한 중국  한당고전무용 

테크닉 활용, 작품 연습, 소품 활용 

및 한당고전무용 작품 제작 등을 

학습한다 

무용 작품

제작

전공

선택

학생들이 자신만의 춤 작품을 

창조하고 공연할 수 있는 

능력을 개발하며, 무용예술의 

다양한 측면을 이해하고 

탐구한다. 

실제 한당고전무용 작폼 제작, 

전통음악과 연계, 기술개발, 창작 

이론 등

(8) 충칭대학
충칭대학 무용학과의 한당고전무용 교육과정은 전공필수와 전공선택

으로 나누어진다(충칭대학 무용학과 홈페이지, 2023). 구체적인 교육목표
와 교육내용은 다음 [표 9]와 같다. 

[표 9] 충칭대학 무용학과에 한당고전무용 교육

교과목

유형

교육 목표

교육 내용

고전무용V 전공

필수

학생들에게 자신만의 창의적인 춤 

작품을 창조하고 공연할 수 있는 

능력을 기르고, 학생들의 창의적 

표현과 능력강화, 무용기술 습득, 

연대적 요소의 통합, 의상과 무대 

디자인 이해 등을 목적으로 교육한다. 

한당고전무용의 역사와 

중요한 작품에 대한 역사 

배경 학습, 기본 기술 및 

움직임 연습, 창조적 춤 

작품의 아이디어 개발과 

스토리텔링 설계 등 

고전무용VI 전공

필수

중국의 전통적인 무용예술을 학습하고 

습득하여 학생들의 예술적 역량을 

키우는 것이다. 이에 학생들이 

고전무용 기술 습득과 역사문화 이해, 

체력과 유연성 향상 등을 목적으로 

교육한다.

기본 기술 및 움직임 연습, 

무용 루틴 및 작품의 연습, 

중국 문화와 예술의 탐구와 

이해 등 

고전무용 안무  전공

선택

학생들이 스스로 창작 과정에서 

중국의 역사문화 이해 및 학습, 그리고 

자신의 작품에서 기술 융합 능력 등을 

목적으로 교육한다. 

한당고전무용 테크닉 학습, 

한당고전무용 의상 및 

소포의 이해, 중국 역사문화 

배경 이해, 창작 이론 등 


background image

286 

지식과 교양 Vol. 13

(9) 텐징음악학원
텐징음악학원 무용학과의 한당고전무용 교육과정은 전공필수로 개설

되어 있다(텐징음악학원 무용학과 홈페이지, 2023). 구체적인 교육목표와 
교육내용은 다음 [표 10]과 같다. 

[표 10] 텐징음악학원 무용학과의 한당고전무용 교육

교과목

유형

교육 목표

교육 내용

고전무용VI 전공필수

학생들이 중국의 전통적인 

무용예술을 깊이 있게 학습하고 

습득하여 예술적으로 성장하고 

전문화된 기술을 개발하는 

것이다. 이에 고급 고전무용 

기술 습득, 작품 창작 및 연출 

능력 향상, 예술적 표현과 의미 

탐구하는 데 도움을 준다. 

고급 중국 고전무용 기술, 

자세 및 움직임의 연습, 

역사문화 이해, 음악과 

춤의 조화를 위한 연습, 

현대적인 동향과 스타일의 

탐구 등 

4. 중국 대학 무용학과의 한당고전무용 교육과정 개선방안 

1) 한당고전무용 교육과정 개선 방안을 위한 수정델파이 1차 조사

한당고전무용 교육과정 개선방안을 위한 설문지는 9개 중국 대학 무용

학과의 한당고전무용 교육과목 개설 현황 및 운영 실태와 선행연구, 연구
프로젝트 등을 통해 4개 상위요인과 16개 하위요인으로 작성하였다. 또한 
수정델파이 1차 조사에서는 대학 무용학과의 한당고전무용 교육과정의 문
제점 및 개선점을 개방적으로 열거하였고, 연구참여자들은 설문내용에 대
한 자율적으로  추가와 삭제가 가능할 수 있도록  구성하였다. 설문지내용
의 구성은 다음 [표 11]과 같다. 


background image

287

수정델파이 기법을 활용한 

중국 대학 무용학과 한당고전무용 교육과정 개선방안 연구┃리치아·이주희

[표 11] 수정델파이 1차 설문지 구성

상위요인

하위요인

행∙재정 

한당고전무용 강사 평가제도 

현장실습과 연계한 한당고전무용 지원금 확대

한당고전무용 교과목 시수 확충

한당고전무용 교(강)사의 안정한 근무여건 조성

조직

한당고전무용 교육을 위한 기구 개설
한당고전무용 인재 양성 연수반 운영 

주관 대학의 소통과 협력 강화

주관대학의 한당고전무용 강사 자격증 평가 시스템 운영

교육환경 

시설

한당고전무용 교육을 위한 독립적인 경의실 확충

한당고전무용 전공 개설

한당고전무용 교과목을 전공필수로 개설

비중 높은 한당고전무용 교육 수업 운영

전문인력 

및 

교육 프로그램

한당고전무용 강사의 전문화 강화

기존의 한당고전무용 강사 역량강화를 위한 자기개발 및 역량 개발

비중 높은 현장실습과 연계한 한당고전무용 수업 개설

창의 융합 한당고전무용 교육과정 개설

2) 한당고전무용 교육과정의 개선점

본 연구에서는 전문가들의 의견 일치도를 확인하기 위해 장지훈, 이주

희(2022)의 연구에서 사용된 기준을 적용하였다. 우선, Likert 5점 척도를 
활용하여 의견을 수렴하고, 각 설문 항목별로 평균값(M)과 표준편차 값을 
계산하였다. 표준편차(SD) 값이 0.8 미만인 경우, 전문가들의 의견이 안정
적으로 일치하는 것으로 판단하였다. 또한 각 항목의 타당성을 평가하기 
위해 내용 타당도 비율(CVR)을 계산하였다.

수정델파이 1차 조사를 통해 추출된 4가지 요인에 대한 수정델파이 2차 

조사한 결과는 다음과 같다. 


background image

288 

지식과 교양 Vol. 13

(1) 행∙재정부문
중국 대학 무용학과의 한당고전무용 교육과정 개선을 위한 ‘행 ∙재정

부문’의 결과는 한당고전무용 강사 평가제도(M=4.0, SD=0.78), 현장실습과 
연계한 한당고전무용 지원금 확대(M=4.40, SD=0.58), 한당고전무용 교과
목 시수 확충(M=4.45, SD=0.56), 한당고전무용 교(강)사의 안정한 근무여
건 조성(M=4.30, SD=0.61)의 평균값을 보였다. 표준편차의 값이 모두 0.80 
이하로 나타났고, 각 항목의 CVR 값이 모두 0.42를 상회하였기에 대체적으
로 의견의 일치로 볼 수 있다고 판단하였다. 구체적인 결과는 다음 [표 12]
와 같이 나타났다. 

[표 12] 수정델파이 2차 ‘행 ∙재정 부문’에 대한 조사 결과

역량

M

SD

CVR

한당고전무용 강사 평가제도 

4.0

0.78

0.85

현장실습과 연계한 한당고전무용 지원금 확대

4.40

0.58

0.93

한당고전무용 교과목 시수 확충

4.45

0.56

0.93

한당고전무용 교(강)사의 안정한 근무여건 조성

4.30

0.61

0.85

(2) 조직 부문
중국 대학 무용학과의 한당고전무용 교육과정 개선을 위한 ‘조직 부문’

의 결과는 한당고전무용 교육을 위한 기구 개설(M=4.15, SD=0.65), 한당고
전무용 인재 양성 연수반 운영(M=4.30, SD=0.74), 주관 대학의 소통과 협
력 강화(M=4.45, SD=0.49), 주관 대학의 한당고전무용 강사 자격증 평가 
시스템 운영 (M=4.20, SD=0.78)의 평균값을 보였다. 표준편차의 값이 모두 
0.80 이하로 나타났고, 각 항목의 CVR 값이 모두 0.42를 상회하였기에 대
체적으로 의견의 일치로 볼 수 있다고 판단하였다. 구체적인 결과는 다음 
[표 13]과 같이 나타났다. 


background image

289

수정델파이 기법을 활용한 

중국 대학 무용학과 한당고전무용 교육과정 개선방안 연구┃리치아·이주희

[표 13] 수정델파이 2차 ‘’조직 부문 ‘ 에 대한 ’조사 결과

역량

M

SD

CVR

한당고전무용 교육을 위한 기구 개설

4.15

0.65

0.93

한당고전무용 인재 양성 연수반 운영 

4.30

0.74

0.69

주관 대학의 소통과 협력 강화

4.45

0.49

0.72

주관 대학의 한당고전무용 강사 자격증 평가 시스템 운영

4.20

0.78

0.85

(3) 교육환경 및 시설 부문
한당고전무용 교육과정 개선을 위한 ‘교육환경 및 시설부문’의 결과

는 한당고전무용 교육을 위한 독립적인 경의실 확충(M=4.20, SD=0.73), 
한당고전무용 전공 개설(M=3.85, SD=0.57), 한당고전무용 교과목을 전공
필수로 개설(M=4.15, SD=0.78), 비중 높은 한당고전무용 교육 수업 운영
(M=4.10, SD=0.64)의 평균값을 보였다. 표준편차의 값이 모두 0.80 이하로 
나타났고, 각 항목의 CVR 값이 모두 0.42를 상회하였기에 대체적으로 의견
의 일치로 볼 수 있다고 판단하였다. 구체적인 결과는 다음 [표 14]와 같이 
나타났다. 

[표 14] 수정델파이 2차 ‘교육환경 및 시설 부문’ 에 대한  조사 결과

역량

M

SD

CVR

한당고전무용 교육을 위한 독립적인 경의실 확충

4.20

0.73

0.85

한당고전무용 전공 개설

3.85

0.57

0.93

한당고전무용 교과목을 전공필수로 개설

4.15

0.78

0.70

비중 높은 한당고전무용 교육 수업 운영

4.10

0.64

0.85

(4) 전문인력 부문
한당고전무용 교육과정 개선을 위한 ‘전문인력 및 프로그램 부문’의 결

과는 한당고전무용 강사의 전문성 강화(M=4.45, SD=0.76), 기존의 한당고
전무용 강사 역량강화를 위한 자기개발 및 역량 개발(M=4.60, SD=0.68), 


background image

290 

지식과 교양 Vol. 13

비중 높은 현장실습과 연계한 한당고전무용 수업 개설(M=4.30, SD=0.51), 
창의 융합 한당고전무용 교육과정 개설(M=4.65, SD=0.69)의 평균값을 보
였다. 표준편차의 값이 모두 0.80 이하로 나타났고, 각 항목의 CVR 값이 모
두 0.42를 상회하였기에 대체적으로 의견의 일치로 볼 수 있다고 판단하였
다. 구체적인 결과는 다음 [표 15]와 같이 나타났다.

[표 15] 수정델파이 2차 ‘전문인력 및 교육 프로그램 부문’ 에 대한  조사 결과

역량

M

SD

CVR

한당고전무용 강사의 전문성 강화

4.45

0.76

0.94

기존의 한당고전무용 강사 역량강화를 위한 자기개발 및 

역량 개발

4.60

0.68

0.79

비중 높은 현장실습과 연계한 한당고전무용 수업 개설

4.30

0.51

0.78

창의 융합 한당고전무용 교육과정 개설

4.65

0.69

0.85

5. 결론 및 제언

본 연구는 수정델파이 기법을 활용하여 중국 대학 무용학과의 한당고

전무용 교육 활성화를 위한 교육과정 운영방안을 모색하는 것을 목적으로 
하였다. 이를 위해 중국 9개 대학의 한당고전무용무용 연구프로젝트 참여
자, 대 학 (강)사 등 전문가 20명을 대상으로 수정델파이 기법을 활용한 설
문 조사를 하였다. 그 결과 한당고전무용 교육과정 및 개선방안에 관한 개
선 요인으로 ‘행 · 재정’, ‘조직’, ‘교육환경 및 시설’, ‘전문인력 및 교육 프로
그램’ 등 4개 항목으로 범주화하여 16개의 세부요인을 도출하였다. 도출된 
내용을 바탕으로 중국 대학 무용학과의 한당고전무용 교육시스템 개선 방
안을 다음과 같이 제시하였다. 

행 · 재정은 한당고전무용 강사 평가제도, 현장실습과 연계한 한당고전

무용 지원금 확대, 한당고전무용 교과목 시수 확충, 한당고전무용 교(강)사
의 안정한 근무여건 조성의 문제점이 제시되었다. 이에 대한 개선 방안으


background image

291

수정델파이 기법을 활용한 

중국 대학 무용학과 한당고전무용 교육과정 개선방안 연구┃리치아·이주희

로는 첫째, 한당고전무용 강사 평가제도의 개선이 필요하다. 이를 위해서
는 교(강)사의 성과를 더욱 정확하게 평가하고 보상하는 평가 체계를 개선
하고, 이를 투명하게 운영해야 한다. 또한 학생 및 교(강)사의 의견을 적극
적으로 수렴하여 평가 기준을 공정하게 설정하고, 평가 과정을 투명하게 
진행해야 한다. 둘째, 학교차원에서 학생들의 현장 경험을 향상시키기 위
해 현장실습을 활성화하고, 이를 지원하기 위한 예산을 확대해야 한다.  셋
째,  교과목의 다양성을 높여 학생들이 다양한 분야의 한당고전무용을 학
습할 수 있도록 고려되어야 한다. 마지막으로, 한당고전무용 교(강)사들의 
안정적인 근무 여건을 제공하기 위해 적절한 급여 및 복리후생 혜택을 제
공하고, 교사들의 교육 및 연구 활동을 지원하며 전문성을 향상시키는 기
회를 제공하는 것이 중요하다.

조직은 한당고전무용 교육을 위한 기구 개설, 한당고전무용 인재 양성 

연수반 운영, 주관 대학의 소통과 협력 강화, 주관대학의 한당고전무용 강
사 자격증 평가 시스템 운영의 문제점이 제시되었다. 이에 대한 개선방안
으로는 첫째, 한당고전무용 교육을 위한 연구소, 전용 연습실 등 기구를 개
설하여 교육과 연구를 체계화하고 지원하여야 한다. 둘째, 한당고전무용 
인재 양성하기 위한 방학 혹은 주말마다 연수반을 운영하여 학생들의 전문
성 향상을 촉진하고 현장 경험을 제공한다. 셋째, 주관 대학 간의 소통과 협
력을 강화하여 정보 공유와 협업을 촉진하며, 넷째, 주관대학의 한당고전
무용 강사 자격증 평가 시스템을 개선하여 강사의 전문성을 제고한다.

교육환경 및 시설은 한당고전무용 교육을 위한 독립적인 경의실 확충, 

한당고전무용 전공 개설, 한당고전무용 교과목을 전공필수로 개설, 비중 
높은 한당고전무용 교육 수업 운영의 문제점이 제시되었다. 이에 대한 개
선방안으로는 첫째, 한당고전무용 교육을 위한 독립적인 경의실을 확충하
기 위해 공간 확보와 향상된 시설을 마련하여 학생들에게 최적의 교육 환


background image

292 

지식과 교양 Vol. 13

경을 제공한다. 둘째, 한당고전무용 전공을 개설하여 학생들에게 전문 교
육 기회를 제공하고, 한당고전무용 분야에서의 깊은 지식과 기술을 습득할 
수 있도록 한다. 셋째, 한당고전무용 교과목을 전공필수로 개설하여 학생
들이 필수적인 기반 지식과 기술을 습득하도록 하며, 비중 높은 한당고전
무용 교육 수업을 운영하여 학습의 중심을 이 분야로 이동시킨다. 넷째, 학
과 내에서 한당고전무용 교육의 중요성을 강조하고, 해당 교육에 대한 자
원과 지원을 증가시켜 전공 학생들이 교육의 질적인 측면에서 혜택을 누릴 
수 있도록 한다.

전문인력 및 교육 프로그램은 한당고전무용 강사의 전문화 강화, 기존

의 한당고전무용 강사 역량강화를 위한 자기개발 및 역량 개발, 비중 높은 
현장실습과 연계한 한당고전무용 수업 개설, 창의 융합 한당고전무용 교
육과정 개설의 문제점이 제시되었다. 이에 대한 개선방안으로는 첫째, 한
당고전무용 강사의 전문화를 강화하기 위해 교육자격 기준을 높여 강사들
의 학위 및 경력 요건을 상향 조정하고, 교육 훈련 프로그램을 개선하여 교
사들의 전문 역량을 강화한다. 둘째, 기존의 한당고전무용 강사 역량 강화
를 위해 강사들에게 자기개발 및 역량 개발 기회를 제공하고, 교육 연구 활
동을 지원하여 지속적인 전문성 향상하여야 한다. 셋째, 비중 높은 현장실
습과 연계한 한당고전무용 수업을 개설하여 학생들이 이론과 실무를 효과
적으로 연결할 수 있도록 하고, 실무 능력을 향상시키도록 한다. 넷째, 창의 
융합 한당고전무용 교육과정을 개설하여 학생들이 한당고전무용을 다른 
예술 분야나 학문과 융합하여 창의적인 작품을 개발하고 연구할 수 있도록 
한다. 이를 위해 예술, 문화, 과학 등 다양한 분야의 교수진과 협력하며 학
생들의 창의력을 키우고 다양한 영역에서의 한당고전무용 활용을 촉진한
다. 

본 연구에서 연구대상으로 선정된 9개 중국 대학 무용학과에 대한 한당


background image

293

수정델파이 기법을 활용한 

중국 대학 무용학과 한당고전무용 교육과정 개선방안 연구┃리치아·이주희

고전무용 교육의 평가체계, 강사 평가, 현장실습, 교과목 다양성, 시설 및 
교육환경, 기구 및 협력, 교사 전문성, 그리고 창의적 연구 등 측면에서의 
여러 개선방안을 도출하였다. 중국과 같이 지역적인 다양성을 갖고 있는 
국가에서 국가 및 전문기관이 현대 사회에 부합하는 교육 시스템을 지속적
으로 구축하고 발전시킬 필요성이 있다. 이러한 교육 시스템의 개발이 교
육 현장에서 효과적으로 실현되어 한당고전무용이 올바르게 교육되고 나
가길 바란다. 


background image

294 

지식과 교양 Vol. 13

참고문헌

마키앙, 「ICT 환경에서 중국 소수민족 전통무용의 활성화를 위한 디

지털 리터러시 기반의 대학 교육과정 개선방안」, 상명대학교

대학원 박사학위논문, 2022.

이종성, 『델파이 방법』, 교육과학사. 2001.
장   신·이주희, 「중국 혁명 무용극 <소도회(小刀會)> 작품의 정치적 

배경 분석」, 『무용예술학연구』 81권 1호, 한국무용예술학

회, 2021, 71-81쪽.

장지훈·이주희, 「수정 델파이 기법을 활용한 중국 투자족(土家族) 

무용 교육과정 개선방안 연구」, 『한국무용연구』 40권 4호, 

한국무용연구학회, 2022, 169-189쪽.

Kerlinger, F. N,  

『Review of research in education』 F. E. Peacock, 

1973. 

Lawshe, C. H.  “A quantitative approach to content validity”. Personnel 

Psychology, vol. 28 no. 4, 1975, pp.563-575.

  

Marchant, E. W. “Methodological problems associated with the use of 

the Delphi technique: Some comments”, Fire Technology, vol. 

24, no. 1, 1988, pp.59-62.

 

李建勳,鄧文英, 「中國漢唐古典舞的傳承與創新」, 『北京舞蹈學院學

報』 no. 2, 2019, pp.23-29.

张雪婧. 从教学与创作看汉唐舞蹈的发展. 收藏, 2019. 2.
강남대학 무용학과 홈페이지, http:/ renwen.jiangnan.edu.cn/szdw/

wdx.htm, 2023.06.05.

난징예술학원 무용학과 홈페이지, https:/ wd.nua.edu.cn, 2023.06.05.
북경무용학원 중국고전무용학과 홈페이지, https:/ zggdw.bda.edu.cn, 

2023.06.05.


background image

295

수정델파이 기법을 활용한 

중국 대학 무용학과 한당고전무용 교육과정 개선방안 연구┃리치아·이주희

북경체육대학 무용학과 홈페이지, https:/ ysx.bsu.edu.cn, 2023.06.08.
사천사범대학  무용학과  홈페이지,  https://dance.sicnu.edu.cn, 

2023.06.08.

상하이희극학원 무용학과 홈페이지, https:/ wd.sta.edu.cn, 2023.06.07
중앙민족대학 무용학과 홈페이지, https:/ wd.muc.edu.cn, 2023.06.06.
충칭대학  무용학과  홈페이지,  http://www.ar ts.cqu.edu.cn/

info/1025/1098.htm, 2023.06.07.

텐진음악학원 무용학과 홈페이지, https:/ old.tjcm.edu.cn/xbsz/wdx.

htm, 2023.06.09.

國家藝術基金 홈페이지, https://www.cnaf.cn/index.html.


background image

296 

지식과 교양 Vol. 13

❚국문초록

본 연구에서는 중국 한당고전무용 교수 및 연구소를 개설되어 있는 

9개 중국 대학 무용학과에서 한당고전무용 교육 활성화를 위한 운영방
안을 모색하는 것으로 한다. 이에 연구대상으로 선정된 9개 중국  대학
의 한당고전무용무용 연구프로젝트 참여자, 대 학 (강)사 등 전문가 20
명을 대상으로 수정델파이 기법을 활용한 설문 조사를 하였다. 그 결과 
한당고전무용 교육과정 및 개선방안에 관한 개선 요인으로 ‘행 ∙재정’, 
‘조직’, ‘교육환경 및 시설’, ‘전문인력 및 교육 프로그램’ 등 4개 항목으
로 범주화하여 16개의 세부요인을 도출하였다. 도출된 내용을 바탕으
로 중국 대학 무용학과의 한당고전무용에 관한 바람직한 교육시스템 구
축방안을  제시하였다.  

주제어 ● 한당고전무용, 중국무용, 중국고전무용, 무용교육, 중국 대학 

무용교육


background image

297

수정델파이 기법을 활용한 

중국 대학 무용학과 한당고전무용 교육과정 개선방안 연구┃리치아·이주희

❚Abstract

A Study on the Improvement of the Curriculum for 

traditional Chinese Han-tang dance in the Department of 

Dance at Chinese Universities Using the Modified Delphi 

Techniques

Li Qia, Ph.D. · Lee Ju Hee 

/ Chung- Ang University · Chung- Ang University

This study aims to explore operational strategies for revitalizing the 

education of traditional Chinese Han-Tang dance in the dance departments 
of nine Chinese universities with established Han-Tang dance professors 
and research centers. To achieve this, a survey using the Modified Delphi 
method  was conducted with 20 experts, including participants in Han-
Tang dance research projects at the selected nine Chinese universities and 
university instructors. The results categorized improvement factors for the 
Han-Tang dance education curriculum and approaches into four main areas: 
Administration and Finance, Organizational,  Educational Environment and 
Facilities, and Professional Staffing and Educational Program. Based on these 
findings, recommended strategies are presented for establishing an effective 
educational system for Han-Tang dance in Chinese dance departments are 
presented. 

Keyword ● Chinese Han-Tang dance, Chinese dance, Traditional Chinese 

dance, Dance education,  Dance education in  Chinese University

❙논문투고일:2023.10.16.❙심사완료일:2023.11.08.❙게재확정일:2023.11.28.❙


background image

background image

299

강의평가 결과로 본 

‘추천하고 싶은 강의’의 특징

: A대학교 사례를 중심으로

1. 들어가며

교수자의 강의(teaching) 역량 향상 및 수업 개선을 위해 강의평가 제도

를 도입한 1990년대 이후 우리나라는 거의 모든 대학에서 강의평가를 시행
해 오고 있다(신종호, 2019). 대학들이 강의평가 제도를 시행하는 것은 학
생들이 생각하는 강의의 질에 대한 다양한 정보 즉, 강의 내용과 방법, 성실
성과 같은 교수자의 태도, 시험과 과제물에 대한 적절성, 수업환경 등을 활
용하여 강의의 질 제고에 활용할 수 있기 때문이다. 또한 각종 재정 지원사
업 및 평가인증 사업지표에서도 강의평가는 수업의 질과 관련하여 그 비중
이 높아지고 있다(정한호, 2016b). 

정 혜 인 · 김 진 영*

1. 들어가며
2. 이론적 배경
3. 연구방법
4. 결과 및 해석
5. 맺음말 

목  차

https://doi.org/10.54698/kl.2023.13.299

* 정혜인(제1저자) 경남대학교 유아교육과 조교수, 

   김진영(교신저자) 목원대학교 대학혁신본부 조교수


background image

300 

지식과 교양 Vol. 13

이러한 분위기는 대학으로 하여금 강의평가 실시와 평가 결과 환류의 

중요성에 대한 인식을 높이고 승진, 강사 재임용 등에 강의평가 활용 비중
을 높이도록 만들고 있다(박혜림, 2012). 강의평가 결과에 대해 대학에서는 
CTL(Center for Teaching and Learning) 등을 중심으로 강의평가 하위 
교수자를 위한 프로그램을 실시하고 있으며(남민우, 이해듬, 2020), 이들을 
지원하기 위한 프로그램 개발 연구도 이루어지고 있다(조미나, 윤나라, 김
정현, 2021). 

대부분 대학들은 학기 말에 학생들이 자신의 성적을 열람하기 전 의무

적으로 강의평가에 참여하는 방식으로 강의평가 제도를 운영하고 있는데, 
성적 열람을 위해 형식적으로 참여하는 학생들의 무성의한 태도는 강의평
가 결과의 신뢰도를 저해할 수 있다(양길석, 2014; 이대식 외, 2007; 정한
호, 2016a). 강의평가를 분석한 연구에 따르면 강의평가가 강의의 질 자체
에 대한 평가보다는 강좌 유형, 수강생 수, 학년, 성적이 우수하거나 예상되
는 성적, 문항 타당성 등 다른 요인에 의해 영향을 받는 것으로 나타났다(고
명희, 은선민, 2023; 송영선, 2018; 신소영, 권진희, 2016; 이대식 외, 2007). 
강의평가가 가지는 이러한 한계 때문에 강의에 대한 학생들의 평가가 강의 
질에 대한 합리적인 평가 방법인지에 대해서도 논란이 있다(신종호, 2019; 
Sliusarenko, Clemmensen, & Ersboll, 2013). 

강의평가에 대한 이러한 논란들은 강의평가가 과연 수업의 질을 반영

하는 타당하고 신뢰할 수 있는 자료인가에 대한 문제를 제기하는 근거가 
되고 있다(양길석, 2014; 최보금, 김재웅, 2013). 그러나 학생들의 강의평
가와 관련한 판단 수준이 대체로 타당하고 유용하다는 연구 결과(Cashin, 
1995; Marsh, 1987)도 있어, 강의평가 결과의 타당성과 신뢰성 확보에 관
심이 높아지고 있다.

여러 가지 관점에서 강의평가의 타당성에 의문을 제기할 수 있지만, 수


background image

301

강의평가 결과로 본 ‘추천하고 싶은 강의’의 특징

: A대학교 사례를 중심으로┃정혜인·김진영

업을 개선하고 교수자의 역량을 향상시킬 수 있는 방안 역시 강의평가 결
과를 분석함으로써 그 가능성을 찾아볼 수 있다. 교수자가 자신의 강의에 
대한 문제를 인식하지 못하면 강의 개선은 쉽지 않으므로 강의평가를 통해
서 자신의 문제를 인식하고 개선할 수 있도록 하는 것이 필요하다(Centra, 
2003). 

배호순(1992)은 ‘수업에 대한 가치판단의 수단으로 수업의 질을 보호하

고 개선하여 이의 질적 향상을 도모하는 한편 교수들의 전문 능력을 개발
하기 위한 절차’로 강의평가를 정의하고 있다. 위의 정의에서 알 수 있는 바
와 같이 강의평가의 본래 목적이 교수자의 강의역량 향상과 수업 개선을 
위한 것이라는 점을 고려하면 대학 교육의 수요자인 학생들의 수업에 대한 
평가를 활용하는 것은 매우 중요하다. 또한 강의평가 결과가 실질적으로 
수업 개선에 활용되기 위해서는 강의평가를 학기 중간에 시행해야 한다는 
의견도 있다. 중간 강의평가는 교수자의 기대 수준과 실제 수업 진행에 대
한 피드백을 교수자에게 제공함으로써 수업의 질을 효과적으로 향상시킬 
수 있기 때문이다(김학일 외, 2007). 

황정규(2009)에 따르면 학습모형에서 가장 핵심적인 변인은교수변인

이다. 학생의 환경변인, 인지적 변인 등 학생 변인은 비교적 고정적이고 안
정된 변인이지만 교수변인은 강의자가 비교적 자유롭게 조작할 수 있는 변
인이다. 학습에 있어서 개별학습자의 차이를 인정하고 지원해야 하는 것과 
같이 교수역량 지원도 같은 관점에서 접근하는 것이 필요하다. 강의에 대
한 역량을 잘 갖추고 있다고 평가되는 교수자와 그렇지 않은 교수자의 요
구를 반영하여 지원해야 하고 이를 위해서는 강의평가 상위집단과 하위집
단에 대한 분석 또한 필요하다. 

강의 만족도는 ‘강의 추천 의사’와 같은 향후 행동 의도에 매우 강한 영

향을 미친다(김종배, 2017). 그러므로 ‘강의 추천 의사’는 학생의 입장에서 


background image

302 

지식과 교양 Vol. 13

평가하는 교수자의 강의역량에 대한 바로미터로 볼 수 있다. 따라서 본 연
구에서는 교육의 질 관리를 위해 ‘강의 추천 의사’를 중심으로 좋은 강의의 
특징을 도출하고 이를 통해 교수자의 강의역량과 대학 교육의 질 향상을 
위한 방안을 모색하고자 한다. 이를 위해 다음과 같은 연구 문제를 설정하
였다. 

첫째, 강의평가 평균이 높은 집단과 낮은 집단의 문항별 강의평가 결과는 

어떠한가? 

둘째, 강의 추천 의사를 예측하는 설명력은 어떠한가?
셋째, 강의 추천 의사를 예측하는 설명력은 집단에 따라 차이가 있는가?

2. 이론적 배경

1) 강의평가의 의미와 목적

대학에서 실시하고 있는 강의평가는 학생들이 체감하는 강의에 대한 

정보를 수집하여 수업을 개선하고, 우수강의자 선발 등 교수자의 강의에 
대한 노력을 격려하는 것 등에 활용하고 있다. 선행연구를 보면 강의평가
는 종합적 목적과 형성적 목적으로 활용되고 있다(류춘호, 이정호, 2003; 
이희원, 민혜리, 2013; 채수진, 임기영, 2008; 최동욱, 김영준, 정현주, 
2020). 종합적(summative) 목적은 강의평가 결과를 교수자의 근무평정에 
반영하여 승진, 보수책정, 우수강의자 선정 등 교수자에게 제공되는 보상 
측면을 강조한다. 형성적(formative) 목적은 강의평가를 통해 수업의 질 개
선을 위한 유용한 정보를 수집하는 관점을 강조한다. 

강의평가의 형성적 목적은 수업 개선을 위해 강의에 대한 학습자의 의

견을 교수자에게 제공하여 교수자가 자신의 강의를 개선하는 용도로 활용
하는 것이다. 강의평가의 형성적 목적 실현을 위해 대학이 강제적인 방법
을 동원하기도 하는데 그 중 대표적인 것이 강의평가 결과를 공개하는 것


background image

303

강의평가 결과로 본 ‘추천하고 싶은 강의’의 특징

: A대학교 사례를 중심으로┃정혜인·김진영

이다. 강의평가 결과공개는 강의평가 점수 상향에 영향을 미치는데 특히 
강의평가 점수가 낮은 교원들의 강의평가 점수의 상승 비율이 매우 높은 
것으로 나타났다(하오선, 정민호, 2013). 

2008년 국내 한 대학이 강의평가 결과를 공개한 이후 많은 대학들이 강

의평가 결과를 공개하고 있으며 학교 측이 공개하지 않더라도 학생들이 만
든 인터넷 커뮤니티를 중심으로 자율 강의평가를 실시하여 정보를 공유하
고 있다(손영민, 채수은, 2016). 학생들의 이러한 행동은 학생들이 강의평
가 결과로 교수자의 강의역량을 판단하고 교과목과 강의자를 선택하는 정
보로 활용하고 있음을 보여준다.

수업이 대학의 교육성과 만족에 중요한 요인(신소영, 권성연, 2021)임

을 고려할 때 교수자의 강의역량 강화는 대학의 교육성과 측면에서도 매우 
중요한 변인임을 부인할 수 없다. 따라서 강의평가 결과를 적극적으로 활
용할 수 있는 방안을 고려해야 한다. 강의평가를 통해 얻은 자료가 목적하
는 바를 달성하기 위해서는 그 결과의 구체적인 실천 방안을 마련하기 위
해 좀 더 세심하게 노력을 기울일 필요가 있다(Palmer, 2012). 교육활동 즉 
강의는 기본적으로 학생과 교수자의 상호작용 활동이며 학생의 요구와 입
장을 고려할 때 더 활발한 상호작용과 교육의 효과를 기대할 수 있기 때문
이다. 

한편, 교수자가 휴강이나 결강 없이 성실하게 수업했지만 강의평가에

서 강의의 성실성을 낮게 평가받는 사례 등, 강의평가의 문제점에 대해 교
수자의 불만이 있는 것이 현실이다. 강의평가는 여러 가지 요인들 즉, 교수
자와 학습자, 교과목의 특성이나 강의에 영향을 미치는 여러 환경적 요인
이 복합적으로 작용한 결과로 볼 수 있다(한신일, 2001). 강의평가에 영향
을 미치는 요인에 대한 연구를 종합하면 학습자 관련 요인, 교수자 관련 요
인, 수업관련 요인, 환경적 요인으로 구분할 수 있다(김선희, 2017). 


background image

304 

지식과 교양 Vol. 13

강의평가에 관한 국내 논문 24편을 메타 분석한 연구에 따르면 강의평

가에 영향을 주는 요인을 강의특성, 교수특성, 학생특성으로 구분하였다
(양길석, 2014). 학생들의 점수 부여 경향성이 강의평가 결과에 영향을 미
치게 되고(지은림, 1996), 강의평가가 필요하다고 인식하는 정도에 비해 실
제 강의평가 응답 시, 낮은 성실성(이선아, 2011) 또한 강의평가의 신뢰성
에 영향을 미치게 된다. 평가자인 학생들의 평가에 대한 인식 부족과 낮은 
응답률, 이수 구분, 강의 규모, 학생들의 점수부여 경향성, 학생의 성적과 
같은 교수자가 컨트롤 할 수 없는 강의환경이 강의평가에 영향을 미치는 
등 강의평가가 가진 문제점을 여러 연구에서 지적하고 있다(류춘호, 이정
호, 2003; 신소영, 권진희, 2016; 신종호, 2019; 지은림, 1996; Sliusarenko, 
Clemmensen, & Ersboll, 2013). 강의평가의 목적과 활용 등을 고려할 때 
대학 구성원의 협의를 통해 행정적인 차원에서 교수자의 역량을 벗어나는 
부분을 제외하고 강의평가 문항을 구성하는 것이 필요하다. 

강의평가 제도의 근본적인 목적 중 하나인 교수의 수업 효과성 측정과 

교수역량 강화를 고려할 때 강의 종료 후 시행되는 강의평가는 그 결과 활
용이 극히 제한적이라는 점이 지적되고 있다(김성숙, 김학일, 2008). 학기 
말에 시행하는 강의평가는 다음 학기와 연계하여 교수학습 방법의 개선에 
활용되는 경우가 적다(Lewis, 2001)는 점도 학기 말에 시행하는 강의평가
를 보완할 필요성이 있음을 시사한다.

강의평가의 형성적 목적 강화를 위한 중간 강의평가에 대한 사례 연구

를 보면, 학기 중간에 실시되는 강의평가를 통해 학생들은 수업 방법이나 
수업 내용, 평가 방식 등에 대한 전반적인 만족도 및 수업의 난이도나 수업
자료 등에 대한 의견을 많이 제시하였다(최동욱 외, 2020). 같은 연구에서 
중간 강의평가와 학기 말 강의평가 간에 일관된 관계가 있음을 보여주었
다. 따라서 강의평가의 형성적 목적을 위해서는 중간 강의평가를 통해 학


background image

305

강의평가 결과로 본 ‘추천하고 싶은 강의’의 특징

: A대학교 사례를 중심으로┃정혜인·김진영

기 중간에 학습자의 기대 수준과 수업의 실제 진행 상황에 대해 교수자에
게 피드백을 제공함으로써 그 목적을 효율적으로 달성할 수 있을 것이다. 

2) 추천하고 싶은 강의

자신이 수강한 강의를 ‘추천’하겠다는 것은 자신이 수강한 강의에 대해 

만족하고, 좋은 강의라는 판단을 전제로 할 뿐만 아니라 수강한 강의에 대
해 더 적극적으로 만족을 표시하는 행위로 볼 수 있다. 강의 만족도와 향후 
행동 의도의 판별타당도 분석을 보면 강의 만족도는 ‘강의 추천 의사’와 같
은 향후 행동 의도에 매우 강한 영향을 미치고 있고 이 영향력은 통상의 제
품 만족도가 재구매 의도에 영향을 미치는 정도보다 더 높은 수준으로 나
타났다(김종배, 2017). 따라서 강의 추천 의사는 학생의 입장에서 강의 만
족과 교수의 강의역량의 바로미터로 상정할 수 있다. 

강의평가 문항 중 강의 추천도에 영향을 미치는 요인을 분석한 선행연

구에서 ‘합리적 평가 기준 제시 및 안내’, ‘학생과의 활발한 상호작용’, ‘체
계적이고 계획적인 강의 진행’ 문항이 가장 큰 영향을 미치는 요인이었다
(김선희, 2017). 같은 연구에서 강의평가 상⋅하위 10% 집단 간 비교를 보
면 ‘과제물 및 시험이 학습에 도움이 되고 피드백이 적절한지’, ‘강의 진행 
방식이 체계적이고 계획적인지’에서 차이를 보였다. 학생의 관점에서 좋은 
강의란 어떤 강의를 의미하는지 선행연구를 보면, 사범계열 학생을 대상으
로 한 연구에서 강의의 체계성, 학생들의 수준을 점검하면서 강의 진행, 평
가와 강의 내용의 일치, 적절한 피드백 제공 등 수업 운영이 좋은 수업의 핵
심 요인이고, 지적인 자극과 영감, 배움의 필요성과 같은 수업 목표와 관련
된 특성 또한 좋은 수업 요인으로 나타났다(정한호, 2016b). 

AI(Appreciative Inquiry)를 활용한 대학의 좋은 수업 특성 연구(장경

원, 2014)에서 학생들은 학습자들이 참여하고 활동할 수 있는 기회가 주어
지는 것을 좋아하고, 중요 내용은 교수자에 의해 쉽고 재미있고 실용적인 


background image

306 

지식과 교양 Vol. 13

사례와 함께 제시되기를 원하는 것으로 확인되었다. 좋은 수업에 대한 대
학생들의 인식을 IPA로 분석한 연구(김진영, 2022)에서 학생들의 사전 지
식수준을 고려한 내용, 흥미를 고려하여 수업 내용 구성, 일상생활 관련 실
제적 내용과 학습자의 흥미(동기)를 자극하는 전략에 대해 중요도는 높지
만 실행도는 낮다고 인식하고 있었다. 

강의평가를 중심으로 교수자와 학습자의 인식 차이를 분석한 연구에서 

강의평가 하위변인 중 교수-학생 상호작용과 공정한 평가가 서로 반대의 
결과를 보였다, 즉 교수집단은 교수-학생의 상호작용이 공정한 평가보다 
전반적인 강의 만족에 더 영향력이 있는 것으로 인식하고 있으나 학생들은 
공정한 평가가 상호작용보다 전반적인 강의 만족에 더 영향력이 있는 것으
로 나타났다(박현재, 김대중, 2021). 학생들이 학점에 매우 민감하고 그것
이 강의 만족에 더 큰 영향력을 미칠 수 있음을 보여주고 있다. 

서술형 강의평가를 통해서 본 학생들이 인식하는 좋은 수업은 지식습

득이 가능한 수업, 우수한 설명력을 가진 수업, 지식의 효용성이 있는 수업
이고 무성의하거나 설명력과 전달력이 부족하고 수업 동기부여가 안되는 
수업을 좋지 않은 수업으로 인식하였다(김은영, 2021). 학생들은 지적인 만
족감을 주고, 교수자의 열정을 느낄 수 있고, 공부하게 만드는 강의를 좋은 
강의로 인식하고 있었으나, 학생들이 선택하는 좋은 강의에 대해 교수자들
이 좋은 강의로 선택하는 비율은 모두 낮은 것으로 나타났다(신소영, 권성
연, 2019). 즉, 좋은 강의에 대한 학생과 교수의 인식이 다른 것을 알 수 있
다. 

좋은 수업을 연구하기 위해서는 교실 안에서 일어나는 수업의 실제

를 중요하게 보아야 하고, 우수 강의자 선정과 같은 평가 시에는 강의실에
서 실제 일어나는 것에 초점을 두어야 한다는 점을 강조하고 있다(안지혜, 
2014). 이는 좋은 수업의 특성을 확인하기 위해서 실제 수업 관찰이 중요하


background image

307

강의평가 결과로 본 ‘추천하고 싶은 강의’의 특징

: A대학교 사례를 중심으로┃정혜인·김진영

다는 것을 강조하고 있지만, 대학에서 관찰을 통한 좋은 수업, 바람직한 수
업 연구는 현실적으로 어려움이 많고 선택된 사례의 편향성을 배제할 수 
없는 문제점이 있다. 그러므로 강의평가 데이터를 통해 얻은 ‘추천하고 싶
은 강의’에 관한 정보는 학생의 관점에서 좋은 강의의 특징을 비교적 객관
적이고 명확히 알려주는 바로미터로 그 의미를 부여할 수 있을 것이다.

3. 연구방법

1) 연구대상

강의평가 결과로 본 ‘추천하고 싶은 강의’의 특징을 알아보기 위해 편

의에 의한 데이터 표집 방법을 선택하였다. A대학에서 2018년 1학기부터 
2022년 2학기까지 10학기 동안 강의평가를 실시한 15,730개 강좌 중 수강
생이 10명 미만인 강좌를 제외한 14,879개 강좌를 분석하였다. 학생들을 
대상으로 면담 조사 한 결과 강의평가 관련 익명성 보장에 대한 불신이 불
성실한 강의평가에 주요한 영향을 미칠 수 있다는 연구 결과(신소영, 권진
희, 2016)를 반영하여 본 연구에서 수강인원 10명 미만의 강좌를 제외하였
다. 본 연구에서 전체 15,730개 강좌의 강의평가 평균은 4.379점이고 10명 
미만 강좌는 4.50점으로 전체 평균에 비해 높았다. 10명 미만 강좌를 제외
한 14,879개 강좌의 평균은 4.375점으로 나타나 10명 미만 강좌를 분석에
서 제외하였다. 

2) 연구 도구

연구 도구는 A대학의 강의평가 10문항이다. 측정 내용은 강의 성실성, 

교수와 학생 간 소통, 과제와 시험에 대한 피드백, 공정한 평가, 강의의 체
계성, 교재와 수업자료의 적절성, 학습동기 유발, 해당 분야에 대한 학습자
의 이해도 증진, 중간평가 반영, 강의 추천 의사이며, 5점 척도로 구성되었
다. 문항의 Cronbach’a값은 .991이다. 


background image

308 

지식과 교양 Vol. 13

3) 자료분석

강의 추천 의사의 설명력을 알아보기 강의평가 상위 약 25%에 해당하

는 경우를 상위집단, 하위 약 25%에 해당하는 집단을 하위집단으로 설정하
여 독립표본 t검증을 실시하였다. 상⋅하위집단 구분의 경우 10%, 25% 등
으로 구분한다(김선희, 2017; 김진영, 이기종, 2013). 본 연구에서는 보다 
많은 표본으로 분석하기 위해 상⋅하위 25%로 집단을 구분하였다. 또한, 
강의 추천 의사를 예측하는 설명력을 알아보기 위해 회귀분석을 실시하였
으며 자료 분석을 위해 SPSS 21.0을 사용하였다.

4. 결과 및 해석

1) 강의평가 상⋅하위집단의 문항별 강의평가 결과

강의평가 평균이 높은 집단과 낮은 집단의 강의평가 문항별 차이를 확

인하기 위해 강의평가 상위 약 25%에 해당하는 강좌를 상위집단, 하위 약 
25%에 해당하는 강좌를 하위집단으로 설정하여 독립표본 t검증을 실시
하였다. 전체 14,879개 강좌의 강의평가 평균은 4.38점이었다. 전체 강좌
의 강의평가 평균 점수 분포는 최하 1.83점에서 최고 5.00점까지이며 상위 
25%에 해당하는 점수분포는 4.60점에서 5.00점이다. 반면, 하위 25%에 해
당하는 점수분포는 1.83점에서 4.20점까지인 것으로 나타났다. [표 1]에서 
강의평가 상위집단과 하위집단의 강의평가 문항별 평균 비교를 보면, 평가 
문항 모두에서 집단 간에 .001 수준에서 유의한 차이를 보였다.

[표 1] 강의평가 상⋅하위집단의 문항별 강의평가 결과

강의평가 문항

상위집단

(n=3,657)

하위집단

(n=3,657)

t

강의 성실성

평        균

4.729

4.055

137.355***

표준편차

.119

.272

교수와 학생 간 소통

평        균

4.735

3.914

157.641***

표준편차

.111

.295


background image

309

강의평가 결과로 본 ‘추천하고 싶은 강의’의 특징

: A대학교 사례를 중심으로┃정혜인·김진영

과제, 시험 피드백

평        균

4.739

3.999

155.543***

표준편차

.108

.267

평가 공정성

평        균

4.725

3.984

154.569***

표준편차

.111

.268

강의 체계성

평        균

4.729

3.967

160.883***

표준편차

.120

.265

교재, 수업자료 적절성

평        균

4.723

3.999

149.431***

표준편차

.112

.265

학습 동기유발

평        균

4.720

3.931

161.678***

표준편차

.113

.272

해당 분야 이해도 증진

평        균

4.723

3.910

154.598***

표준편차

.111

.302

중간평가 이후 개선

평        균

4.700

3.913

154.319***

표준편차

.119

.284

강의 추천 의사

평        균

4.722

3.884

152.758***

표준편차

.115

.311

전      체

평        균

4.726

3.956

172.391***

표준편차

.096

.2524

***p < .001

강의평가 상위집단 3,657개 강좌의 강의평가 문항별 평균 점수를 보

면 ‘강의 중간평가 이후 강의에 대한 요구 사항 개선’ 점수(4.700점)가 가
장 낮고 ‘과제와 시험에 대한 피드백’ 점수(4.739점)가 가장 높았다. 강의평
가 하위집단 3,657개 강좌의 강의평가 문항별 평균 점수를 보면, 강의 추
천 의사 점수(3.884점)가 가장 낮고, 강의 성실성 점수(4.055점)가 가장 높
았다. 강의평가 평균이 높은 집단과 낮은 집단의 강의평가 문항별 평균 점
수 차가 가장 큰 문항은 ‘강의 추천 의사’를 묻는 문항이었다. 상위집단 평
균은 4.722점(SD=.115), 하위집단 평균은 3.88점(SD=.331)으로 .838점의 
차이를 보였다. 즉, 강의평가 상위집단은 하위집단에 비해 그 강좌를 다
른 학생에게 추천하고자 하는 의견이 더 높은 것을 알 수 있다. 상⋅하위집
단 간 점수 차이가 가장 작은 문항은 강의 성실성으로 상위집단은 4.729점
(SD=.119), 하위집단은 4.055점(SD=.272)로 .674점 차이를 보였다. 상⋅하
위 집단의 문항별 점수 차이는 [그림 1]에 제시한 바와 같다.


background image

310 

지식과 교양 Vol. 13

[그림 강의평가 상⋅하위 집단의 문항별 평균 점수 차이

2) 강의 추천 의사를 예측하는 설명력

강의평가 문항별로 강의 추천 의사를 예측하는 설명력이 어떠한가를 

알아보기 위해 상관관계를 분석하였으며 [표 2]와 같다. 상관관계 분석에서 
강의 추천 의사와 강의평가 문항은 모두 .01수준에서 통계적으로 유의한 
상관을 보였다.

[표 2] 강의 추천 의사와 강의평가 문항의 상관관계

1

2

3

4

5

6

7

8

9

2

871**

3

873** 940**

4

874** 928** 944**

5

876** 923** 927** 936**

6

874** 904** 920** 923** 932**

7

858** 928** 929** 922** 929** 926**

8

852** 938** 926** 925** 922** 917** 944**

9

852** 927** 928** 923** 913** 924** 944** 947**

10

834** 934** 929** 923** 920** 917** 943** 946** 953**

1.강의 성실성 2.교수와 학생 간 소통 3.과제및시험에대한피드백 4.공정한 평가 5.강의의 체계성 

6.교재와 수업자료의 적절성 7.학습동기 유발 8.해당 분야에 대한 학습자의 이해도 증진 9.중간평

가 이후 개선 10. 강의 추천의사

**p < .01 

강의평가 문항별로 강의 추천 의사를 예측하는 설명력은 [표 3]과 같다. 


background image

311

강의평가 결과로 본 ‘추천하고 싶은 강의’의 특징

: A대학교 사례를 중심으로┃정혜인·김진영

강의 추천 의사를 종속변인으로 강의평가 문항을 각각 독립변인으로 회귀
분석한 결과 가장 높은 설명력을 보이는 변인은 ‘중간 강의평가 이후 전반
적으로 개선되었다’이고 변인의 설명력은 90.9%다.

다음은 ‘해당 분야에 대한 지식(또는 기술)과 이해도를 높였다’로 강의 

추천 의사에 대한 설명력은 89.5%였다. 다음은 ‘학생들이 적극적인 학습활
동에 참여할 수 있도록 학습 동기를 유발하는 것’ 88.9%, ‘질문과 상담 등 
교수와 학생 간의 소통이 원활함’이 87.2%의 설명력을 보였다. ‘결강, 단축 
수업 등 수업결손 없이 강의를 진행’하는 강의 성실성은 69.6%로 가장 낮
은 설명력을 보였다. 

[표 3] 강의 추천 의사에 대한 설명력

강의 추천 의사

b

β

상수

F

R² Adjusted R²

강의 성실성

.993

.834 -.042 34006.55*** .696

.696

교수와 학생 간 소통

.952

.934

.167 101010.87*** .872

.872

과제, 시험 피드백

1.057 .929 -.309 93513.59*** .863

.863

평가 공정성

1.049 .923 -.256 85959.01*** .852

.825

강의 체계성

1.020 .920 -.123 81470.19*** .846

.846

교재⋅수업자료 적절성 1.057 .917 -.296 79125.06*** .842

.842

학습 동기유발

1.017 .943 -.088 119007.61*** .889

.889

해당 분야 이해도 증진

.967

.946

.128 126437.23*** .895

.895

중간평가 이후 개선

1.021 .953 -.089 148188.46*** .909

.909

***p<.001

3) 강의 추천 의사를 예측하는 집단의 설명력 차이

강의평가 평균 상⋅하위 25%로 집단을 구분하여 집단에 따라 강의 추

천 의사를 예측하는 설명력이 어떠한가를 알아보기 위해 단순회귀분석을 
실시하였고 결과는 [표 4]와 같다. 강의평가 상위집단의 경우 설명력이 가
장 높은 변인은 ‘강의는 해당 분야에 대한 지식(또는 기술)과 이해도를 높
였다’이고 설명력은 59.1%였다. 다음은 ‘강의는 중간평가 이후 전반적으로 


background image

312 

지식과 교양 Vol. 13

개선되었다’이고 설명력은 57.9%였다. 강의평가 하위집단의 경우 설명력
이 가장 높은 변인은 ‘강의는 중간평가 이후 전반적으로 개선되었다’이고 
설명력은 80.7%였다. 다음은 ‘강의는 해당 분야에 대한 지식(또는 기술)과 
이해도를 높였다’이고 설명력은 76.9%였다. 

강의평가 상·하위집단 모두 세 번째로 설명력이 높은 변인은 학습동기 

유발이다. 즉 ‘강의는 학생들이 적극적인 학습활동에 참여할 수 있도록 학
습동기를 유발하였다’가 강의 추천 의사를 설명하는 예측력이 상위집단의 
경우 57.2%이고 하위집단의 경우 74.6%였다. ‘강의는 수업결손(결강, 단
축강의 등) 없이 진행하였다’는 강의 성실성 변인은 강의평가 상·하위집단 
모두에서 그 설명력이 가장 낮은 것으로 나타났으며, 상위집단의 설명력은 
32.2%, 하위집단의 설명력은 29.7%였다.

[표 4] 강의 평가 상⋅하위집단의 강의 추천 의사 설명력

강의 추천 의사

b

β

상수

F

R² 수정된 R²

강의 성실성

.550 .568 2.122

1739.50*** .322

.322

교수와 학생 간 소통 .734 .708 1.244

3675.99*** .501

.501

과제, 시험 피드백

.745 .700 1.192

3510.68*** .490

.490

평가 공정성

.715 .689 1.346

3296.27*** .474

.474

강의 체계성

.743 .708 1.208

3676.51*** .501

.501

교재, 수업자료 적절성 .723 .700 1.309

3508.27*** .490

.490

학습 동기유발

.774 .757 1.071

4890.85*** .572

.572

해당 분야 이해도 증진 .802 .769 .926

5289.73*** .591

.591

중간평가 이후 개선

.749 .773 1.203

5422.50*** .579

.579

강의 성실성

.624 .546 1.354

1548.43*** .298

.297

교수와 학생 간 소통 .895 .847 .381

9307.20*** .718

718

과제, 시험 피드백

.965 .827 .023

7924.52*** .684

.684

평가 공정성

.947 .815 .110

7238.75*** .664

.664

강의 체계성

.930 791

.194

6102.67*** .625

.625

교재, 수업자료 적절성 .910 .792 .244

6066.20*** .628

.628


background image

313

강의평가 결과로 본 ‘추천하고 싶은 강의’의 특징

: A대학교 사례를 중심으로┃정혜인·김진영

학습 동기유발

.987 .864 .002

10760.91*** .746

.746

해당 분야 이해도 증진 .904 .877 .349

12186.57*** .769

.769

중간평가 이후 개선

.984 .898 .034

15283.61*** .807

***p<.001

5. 맺음말

강의평가 문항 중 학생들의 ‘강의 추천 의사’ 관련 변인을 분석하여 추

천하고 싶은 좋은 강의의 특성을 도출하고자 한 본 연구의 결과를 정리하
면 다음과 같다. 

첫째, 강의평가 상위집단과 하위집단의 문항별 평균 비교에서 집단 간

에 통계적으로 0.1% 수준에서 유의한 차이가 있는 것으로 나타났다. 특히, 
강의평가 상위집단의 경우, ‘과제, 시험에 대한 피드백’ 평균 점수가 가장 
높았고, ‘중간 강의평가 이후 강의 개선’ 평균 점수가 가장 낮았다. 강의평
가 하위집단의 경우 ‘강의 성실성’의 평균 점수가 가장 높고, ‘강의 추천 의
사’의 평균 점수가 가장 낮았다. 강의평가 하위집단의 경우 자신이 수강한 
강의에 대한 강의 추천 의사가 매우 낮은 것을 알 수 있다.

둘째, 강의평가 문항별로 ‘강의 추천 의사’를 예측하는 설명력이 가장 

높은 문항은 ‘중간 강의평가 이후 전반적으로 강의가 개선되었다’는 것이
다. 중간 강의평가를 통한 학생들의 요구에 대한 반영 정도가 강의 추천 의
사에 매우 중요하게 작용하고 있음을 알 수 있다. 중간 강의평가 문항은 ‘강
의 진도, 강의 시간에 소통, 강의계획서에 따른 체계적 강의, 목표 달성에 
적절한 교재와 수업자료 활용, 학습 동기 유발’ 등 총 5개 문항이다. 강의 추
천의 영향 요인에 대한 선행연구(김선희, 2017)에서 학생과 활발한 상호작
용, 체계적이고 계획적인 강의 진행이 강의 추천에 중요한 요인이었던 점
과 유사한 결과로 볼 수 있다.


background image

314 

지식과 교양 Vol. 13

셋째, 강의평가 상·하위집단의 ‘강의 추천 의사’에 대한 설명력을 보면, 

상위집단의 경우 가장 설명력이 높은 변인이 ‘해당 분야의 이해도 증진’이
고, 다음은 ‘중간 평가 이후 개선’이다. 강의평가 하위집단은 ‘중간 평가 이
후 개선’의 설명력이 가장 높고 다음은 해당 분야의 이해도 증진이다. 강의
평가 상⋅하위집단 모두 설명력이 가장 낮은 변인은 강의 성실성이었다.

본 연구를 통해 도출한 추천하고 싶은 강의의 특징과 시사점은 다음과 

같다. 첫째, 추천하고 싶은 강의의 특징은 ‘중간 강의 평가 후 학생들의 요
구를 반영하여 강의를 개선하였는가’하는 점이다. 학생들은 수업에 대한 
자신들의 요구를 교수자가 수업에 반영하는가를 중요하게 생각하고 그것
이 추천하고 싶은 좋은 강의의 특징임을 알 수 있다. 교수자는 중간 강의평
가를 통해 해당 학기에 자신의 강의를 수강하는 학생들의 요구가 무엇인지 
확인하고 반영해야 한다는 인식의 변화가 필요함을 시사한다. 같은 과목도 
분반이 다를 경우 수강하는 학습자의 요구가 다를 수 있으므로 중간 강의
평가를 실시하는 학교의 경우 교수자는 분반별로 학습자의 요구를 확인하
고 수업에 반영하는 것이 필요하다.

둘째, 강의 성실성은 강의평가 상⋅하위집단 모두에서 강의 추천 의사

에 대한 설명력이 가장 낮은 변인으로 분석되었다. 하위집단의 경우 수업
의 성실성 문항의 강의평가 평균 점수는 가장 높았으나 설명력은 가장 낮
았고 상위집단의 경우 평균 점수는 전체 중 세 번째로 높지만 설명력은 가
장 낮았다. 이러한 결과는 강의평가제도 도입 30여 년이 지나면서(신종호, 
2019) 대부분의 교수자가 강의평가를 의식하게 되었고, 결손 없이 강의하
고 있다는 것을 보여주고 있다. 또한 강의 성실성은 강의 추천 의사로 대변
되는 좋은 강의의 요인이 아니라는 점을 시사한다. 따라서 강의평가 운영 
시 강의 성실성을 묻는 문항에 대해 최소 배점으로 디자인 등 변화가 필요
하다.


background image

315

강의평가 결과로 본 ‘추천하고 싶은 강의’의 특징

: A대학교 사례를 중심으로┃정혜인·김진영

셋째, 본 연구에서 강의 추천 의사를 예측하는 설명력 높은 변인이 ‘중

간 강의평가 이후 개선’인 점과 중간 강의평가는 학생들의 의견을 다음 학
기가 아니라 해당 학기에 반영할 수 있는 장점(김성숙, 김학일, 2008)을 가
지고 있다는 것은 중간 강의평가의 필요성을 시사한다. 수업의 질 제고라
는 강의평가의 목적을 고려하면 형성적 평가(formative evaluation)로서 
중간 강의평가에 대한 적용 및 연구가 필요하다. 

넷째, 강의평가 문항별로 상⋅하위집단 간 평균 점수 차이가 가장 큰 문

항이 ‘강의 추천 의사’였다. 강의평가 하위집단의 경우 ‘강의 추천 의사’의 
평균 점수가 전체 문항 중 가장 낮은 것으로 나타났다. 이 결과는 자신이 수
강한 강의에 대한 만족도가 높을수록 즉 강의평가 점수가 높을수록 그 강
의에 대한 추천 의사가 높다는 것이며, ‘강의 추천 의사’가 전반적인 강의의 
질을 평가하는 바로미터로서 의미가 있음을 확인할 수 있었다.

마지막으로, 본 연구는 A대학의 강의평가 결과를 분석하였기 때문에 강

의평가 문항이 다른 대학에서 일반화하기가 쉽지 않을 것이다. 다만 본 연
구에서 강의의 질 향상을 위한 형성평가로서의 중간 강의평가의 필요성을 
확인한 것에 의미를 부여할 수 있다. 


background image

316 

지식과 교양 Vol. 13

참고문헌

고명희·은선민, 「대내 일반대학 강의평가 선행연구에 대한 문헌 고찰: 

학습자 변인 중심으로」(1994-2022), 『학습자중심교과교육연

구』 23권 4호, 2023, 443-465쪽. 

김선희, 「강의평가 결과 분석을 통한 교육의 질 제고 방안 탐색: A대학

교 강의평가를 중심으로」, 『사회과학연구』 30권 1호, 2017, 

147-174쪽.

김성숙·김학일, 「학기 중 적용을 위한 강의진단 평가도구 개발과 타당성 

분석」, 『교육평가연구』 21권 1호, 2008, 55-78쪽.

김은영, 「자율적 서술형 강의평가를 통한 ‘대학 수업’에 대한 학생들의 

인식 연구」, 『교육문화연구』 27권 2호, 2021, 217-238쪽.

김종배, 「강의 평가에 교수자가 미치는 영향력에 관한 연구」, 『소비자문

화연구』 20권 4호, 2017, 161-179쪽.

김진영, 「좋은 수업에 대한 대학생들의 인식:IPA 분석」, 『학습자중심교

과교육연구』 22권 9호, 2022, 1-16쪽.

김진영·이기종, 「예비유아교사의 셀프리더십과 교직인적성과의 관계」, 

『한국교육』 40권 3호, 2013, 5-25쪽.

김학일·권오양·노경호·이천·김성숙, 「이공계 강의평가 결과의 실증적 분

석을 통한 강의평가 제도 개선 방안」, 『공학교육연구』 10권 4

호, 2007, 58-77쪽.

남민우·이해듬, 「Kirkpatrick 4-Level 모형 기반 대학 교수지원 프로그

램 성과지표 개발 및 타당화 검증」, 『대학교수-학습연구』 13권 

1호, 2020, 73-94쪽.

류춘호·이정호, 「대학의 강의평가에 영향을 미치는 학생관련 요인에 관

한 연구」, 『경영학연구』 32권 3호, 2003, 789-807쪽.

박현재·김대중, 「강의역량에 대한 교수자와 학습자 간 인식 차이 분석: 

대학의 강의평가를 중심으로」, 『핵심역량교육연구』 6권 2호, 

2021, 51-70쪽.


background image

317

강의평가 결과로 본 ‘추천하고 싶은 강의’의 특징

: A대학교 사례를 중심으로┃정혜인·김진영

박혜림, 「대학 강의평가 도구 개선 방안 연구-A대학의 강의평가 문

항 개선 사례」, 『한국산학기술학회논문지』 13권 11호, 2012, 

1533-1543쪽.

배호순, 「교수효과 평가를 위한 준거체제 탐색 연구」, 『교육학연구』 30

권, 1992, 157-176쪽.

손영민·채수은, 「영향 요인 조정을 통한 강의평가 결과 공개 방안」, 『교

원교육』 32권 1호, 2016, 1-24쪽.

송영선, 「대학의 강의평가 만족도에 영향을 미치는 요인 분석」, 『역량개

발학습연구』 13권 2호, 2018, 141-163쪽.

신소영·권성연, 「학생특성에 따른 좋은 강의에 대한 인식분석」, 『학습자

중심교과교육학회』 19권 10호, 2019, 393-413쪽.

신소영·권성연, 「대학의 교육성과 만족에 영향을 미치는 요인과 학습자 

특성에 따른 조절효과 분석」, 『인문사회21』 12권 2호, 2021, 

2283-2298쪽.

신소영·권진희, 「강의평가결과의 신뢰성 제고 방안 연구: 강의평가제도

의 운영을 중심으로」, 『인문과학논총』 35권 4호, 2016, 115-

145쪽.

신종호, 「대학 강의평가 서술형 응답 실태 및 특성 분석-A 대학교 사례

를 중심으로」, 『교육연구논총』 40권 3호, 2019, 61-81쪽.

안지혜, 「좋은 대학수업의 특성에 대한 문화기술적 사례 연구」, 『열린교

육연구』 22권 1호, 2014, 163-191쪽.

양길석, 「대학 강의평가 영향 요인에 대한 메타 연구」, 『교육방법연구』 

26권 2호, 2014, 293-322쪽.

이대식·이주연·임희준·김평국, 「대학의 강의평가를 통한 수업 개선 방안  

연구_경인교육대학교를 사례로」, 『한국교원교육연구』 24권 2

호, 2007, 81-117쪽.

이선아, 강의평가에 대한 대학생들의 인식분석, 이화여자대학교 대학원 

석사학위논문, 2011.


background image

318 

지식과 교양 Vol. 13

이희원·민혜리, 「수업개선을 위한 강의평가 결과 활용 방안 탐색」, 『한

국열린교육학회』 21권 3호, 2013, 257-283쪽.

장경원, 「AI(Appreciative Inquiry)를 활용한 대학의 좋은 수업 특성 분

석」, 『한국교육문제연구』 32권 1호, 2014, 137-160쪽.

정한호, 「대학에서 이루어지는 강의평가의 응답 건전성 및 만족도에 대

한 대학생 인식 탐색」, 『교육방법연구』 28권 3호, 2016a, 443-

470쪽.

정한호, 「대학교육에서 이루어지는 좋은 수업에 대한 중요도 및 실행

도에 관한 연구: 사범계열을 중심으로」, 『한국교육』 43권 1호, 

2016b, 231-259쪽.

조미나·윤나라·김정현, 「강의평가 하위 교수자를 위한 교수지원 프로그

램 개발 연구」, 『대학교수-학습연구』 14권 2호, 2021, 21-61

쪽.

지은림, 「교수강의평가에 미치는 학생변인 효과」, 『경인대학교 교육문

제 연구소』 12권 1호, 1996, 113-124쪽.

채수진·임기영, 「수업평가에 대한교수와 학생 인식 비교_일개 의과대학 

사례」, 『한국의학교육학회』 20권 2호, 2008, 163-167쪽.

최동욱·김영준·정현주, 「대학강의평가에 대한 학기중간평가 실시 사례

와 시사점-빅데이터를 활용한 텍스트 분석」, 『교육혁신연구』 

30권 2호, 2020, 179-201쪽.

최보금·김재웅, 「위계적 선형모형을 활용한 대학생의 강의평가 관련 요

인 탐색: 무성의 응답의 영향을 중심으로」, 『열린교육연구』 21

권 1호, 2013, 77-100쪽.

하오선·정민호, 「강의평가 결과공개가 강의개선에 미친 영향에 관한 연

구」, 『열린교육연구』 21권 4호, 2013, 299-319쪽.

한신일, 「학생에 의한 강의평가의 관련 요인 분석-교수, 학생, 수업관

련 요인을 중심으로-」, 『한국교육행정학회』 19권 4호, 2001, 

247-266쪽.

황정규, 『학교학습과 교육평가』, 교육과학사, 2009.


background image

319

강의평가 결과로 본 ‘추천하고 싶은 강의’의 특징

: A대학교 사례를 중심으로┃정혜인·김진영

Cashin, W. E., Students ratings: The need for Comparative data. 

Instructional Education and Faculty Develipment, vol. 12, 

1995, pp1-6.

Centra, J. A., Will teachers receive higher student evaluationa by 

giving higher grades and less course work? Research in 

Higher Education, vol. 44, no. 5, 2003, pp.495-517.

Lewis, K. G., Using midsemester student feedback and responding it. 

CA: Sage, 2001.

Marsh, H. W., Students’ evaluation of university tesching: Research 

findings, methodological issues, and directions for future 

research. International Journal of Educational Research, vol. 

11, 1987, pp.253-388.

Palmer, S., Student Evaluation of Teaching: Keeping in Touch with 

Reality, Quality in Higher Education, vol. 18, no. 3 2012, 

pp.279-311.

Sliusarenko, T., Clemmensen, L, H., & Ersboll, B. K. Text mining in 

students’ course evaluation: relationship between open-ended 

comments and quantitative scores. Proceedings of the 5th 

International Conference on Computer Supported Education, 

2013, pp.564-573.


background image

320 

지식과 교양 Vol. 13

❚국문초록

본 연구의 목적은 강의평가 결과를 토대로 ‘추천하고 싶은 강의’의 

특징을 도출하는 것이다. 이를 위해 A대학에서 10학기 동안 강의평가를 
실시한 강좌 중 14,879개 강좌의 강의평가 결과를 분석하였다. 추천하
고 싶은 강의 즉, ‘강의 추천 의사’를 예측하는 설명력이 가장 큰 변인은 
‘중간 강의평가 이후 강의 개선’이었다. 강의평가 집단별 강의 추천 의사
를 예측하는 변인을 보면. 상위집단은 ‘해당 분야에 대한 이해도 증진’, 
하위집단은 ‘중간 강의평가 이후 강의 개선’이 설명력이 가장 큰 변인이
었다. 강의 성실성은 상⋅하위집단 모두에서 설명력이 가장 낮은 변인이
었다. 강의평가 상⋅하위집단의 문항별 비교에서 집단 간에 점수 차이가 
가장 큰 변인이 강의 추천 의사였으며, 강의평가 하위집단의 경우 이 문
항의 평균 점수가 가장 낮았다. 강의평가 평균 점수가 높은 강좌일수록 
강의 추천 의사가 높다는 것을 보여준다. 본 연구를 통해 형성적 평가로
서 ‘강의 중간 평가’의 필요성을 확인하였으며, 교육환경 변화에 따른 강
의평가 연구의 필요성을 시사하고 있다.

주제어 ● 강의평가, 형성적 평가, 중간 강의평가, 추천 강좌 


background image

321

강의평가 결과로 본 ‘추천하고 싶은 강의’의 특징

: A대학교 사례를 중심으로┃정혜인·김진영

❚Abstract

‘Recommended course’ based on course evaluations: 

Focus on A University case

Jeong, Hye In·Kim, Jinyoung

 / Kyungnam University · Mokwon University

The purpose of this study is to identity the factors related to a course 

becoming a ‘recommended course’ based on course evaluation results. 
In this study, data was collected in the form of 14,879 course evaluations 
spanning 10 semesters from A University. The variable with the greatest 
explanatory power to predict the willingness to recommend a course 
was ‘Course improvement since the midterm course evaluation’. The 
predictors of willingness to recommend a course were analyzed by course 
evaluation group. The highest explanatory power was found for ‘Improved 
understanding of the field’ for the upper group and ‘Course improvement 
since midterm course evaluation’ for the lower group. Teaching sincerity 
was the least explanatory variable in both the upper and lower groups. 
The variable with the largest difference in scores between the groups was 
willingness to ‘recommended the course’, with the lowest mean score in 
the lower group. This shows that courses with higher mean scores are more 
likely to be recommended. This study confirms the need for midterm course 
evaluation as a formative assessment and suggests the need for research on 
course evaluation according to changes in the educational environment. 

Keyword ● Course evaluation, Formative evaluation, Midterm course 

evaluation, Recommended course

❙논문투고일:2023.10.26.❙심사완료일:2023.11.10.❙게재확정일:2023.11.28.❙


background image

background image

323

신입생 ICT 리터러시 역량진단을 통한 

소프트웨어 기초교육 방안 모색

: M대학교 신입생을 중심으로

1. 들어가며

디지털 기술의 급격한 발달로 우리 일상뿐만 아니라 산업생태계 

전반에서 디지털 전환(Digital Transformation)이 일어나면서, 디지
털 기술을 이해하고 나아가 문제해결을 위해 능숙하게 사용할 수 있는 
ICT(Information Communication Technology) 리터러시에 관한 관심
이 증가하고 있다. ICT 리터러시는 컴퓨터와 인터넷, 인공지능 기술 등 새
로운 기술 환경 변화에 따라 21세기에 요구되는 지식, 역량 습득을 강조하
는 리터러시를 의미하며, 정보·컴퓨터·디지털 리터러시 등과 함께 많은 연

최 정 희 · 구 진 희*

* 최정희(제1저자), 목원대학교 SW교양학부 교수,

   구진희(교신저자), 목원대학교 SW교양학부 교수

https://doi.org/10.54698/kl.2023.13.323

1. 들어가며
2. 2021년~2023년 신입생 ICT 리터러시 종단 분석
3. 교양 소프트웨어 교육과정에 대한 시사점
4. 맺음말

목  차


background image

324 

지식과 교양 Vol. 13

구에서 논의되어왔다. 컴퓨터·ICT 리터러시를 기술 자체에 초점을 두고 있
다고 보는 관점도 있으나, 최근 ICT 리터러시는 기존의 도구 중심의 리터
러시 개념에서 디지털 기술 자체에 대한 능력과 인간의 인지적 사고 영역
을 활용하는 능력을 포함하는 개념으로 확장되고 있다(박주현, 2018; 김도
헌, 2020). 리터러시 개념에 관한 최근 연구를 보면, 디지털 리터러시는 ICT 
리터러시를 포함하여 디지털 시대에 특히 강조되는 윤리, 문화, 규범 등 확
대된 개념으로 정의하기도 한다. 이와같이 각 리터러시의 정의에서 약간의 
차이점은 있으나, 기본적인 개념과 그 범주에서 디지털 리터러시는 확장된 
ICT 리터러시 개념과 유사하다고 볼 수 있다(이철현, 2020, 박주현, 2018, 
한국교육학술정보원, 2022).

OECD 국제학업성취도평가를 주도하는 PISA1) ICT 전문가 패널에서는 

ICT 리터러시를 ‘사회에 효과적으로 참여하기 위해 디지털 기술과 커뮤니
케이션 도구를 적절하게 사용하여 정보에 접근, 관리, 통합 및 평가하고 새
로운 지식을 구축하며 다른 사람과 소통하는 개인의 관심, 태도 및 능력’으
로 정의하였다. 또한, PISA는 미래 사회 도전을 준비하기 위해 청소년의 문
해력에 ICT를 포함하고 청소년들이 얼마나 잘 학습하고 있는지 파악하기 
위해서 ICT 리터러시 역량 측정이 중요한 목표임을 강조한다(Lennon외 
2003; Joolingen, 2006). 

이 연구는 대전 소재 M대학교의 2021년~2023년 신입생을 대상으로 

ICT 리터러시 진단 결과를 분석하고 이를 바탕으로 대학의 소프트웨어 기
초교육과정에 대한 시사점을 도출하고자 수행된 연구이다. 소프트웨어 기
초교육의 목적은 컴퓨팅사고 함양을 통해 개별 전공 분야의 다양한 문제를 
소프트웨어를 활용하여 해결할 수 있도록 기초 역량을 함양시키는 것이다. 

1) PISA(Programme for International Student Assessment) 국제학업성취도평

가 : OECD 주관 참여국의 교육 시스템 평가를 목적으로 만 15세 학생들의 학업

성취도(읽기/독해, 수학, 과학 등)를 평가


background image

325

신입생 ICT 리터러시 역량진단을 통한 

소프트웨어 기초교육 방안 모색┃최정희·구진희

궁극적으로 소프트웨어 기초교육은 소프트웨어 중심사회에서 사회인으로 
기능할 수 있도록 하기 위한 것이다.

디지털 기술을 사용하고 관리하는 능력의 가치가 점점 더 높아짐에 따

라 ICT 리터러시 역량진단은 학생들이 ‘미래 세계를 위한 기술과 지식’을 
어느 정도 개발했는지 모니터링하는데 중요한 요소가 되었다(John Ainley
외 2016). PISA 보고서에 따르면, 학생들의 컴퓨터 사용 경험과 가정에서의 
컴퓨터 사용 빈도는 대부분 국가에서 ICT 숙련도와 긍정적인 연관성을 보
였다(OECD, 2018). 따라서, 대학 신입생의 ICT 리터러시 역량을 측정하기 
위해서 ICT 관련 선행학습 경험을 파악할 필요가 있으며, 초중등 정보 교
육과정에서 무엇을 배웠는지 살펴볼 필요가 있다. 그러나 무엇보다도 대학
생의 ICT 리터러시 역량은 현대 사회에서 기능을 할 수 있도록 하는 포괄적 
개념이 필요하다.

[그림 1] M대학교의 ICT 리터러시 역량 진단 환류 체계

[그림 1]은 M대학교의 ICT 리터러시 역량진단을 통해 소프트웨어 기초

교육과정 개선하도록 하는 환류 체계를 나타내고 있다. 학기 초 신입생을 
대상으로 ICT 리터러시 역량을 진단하고 진단 결과를 분석한다. 역량진단 
분석 결과와 학기 말 SW 교과과정 및 비교과과정 운영 후 학습성과 평가 
결과 그리고 담당교수가 작성한 CQI(Continuous Quality Improvement)
보고서 분석을 통해 학습성과를 종합적으로 평가한다. ICT 리터러시 진


background image

326 

지식과 교양 Vol. 13

단 결과와 SW 교과/비교과 운영 결과는 ICT 리터러시 위원회 논의를 거
쳐 SW 교과과정 개편 및 비교과 프로그램 개발에 기초자료로 활용하게 된
다.이 연구에서는 2021년~2023년 M대학교 신입생을 대상으로 ICT 리터러
시 역량진단 결과를 분석하고 분석 결과를 통해서 소프트웨어 기초교육에 
대한 방향성을 제안하고자 한다.

2.  2021년~2023년 신입생 ICT 리터러시 종단 분석

1) ICT 리터러시 역량진단 방법 및 절차

(1) 연구 도구
이 연구에서는 M대학교 신입생을 대상으로 ICT 리터러시 역량을 측정

하기 위해 개발된 진단 도구를 사용하였다. 개발된 도구는 문항 난이도와 
변별도가 확보된 측정 도구로서 교양 필수로 운영되는 소프트웨어 기초 교
육과정을 설계하는데 기초자료를 확보하기 위해 개발되었다. 진단을 위해 
개발된 5개 영역 48개 문항 중에서 난이도별로 30문항을 선정하였다. ICT 
리터러시 역량진단 도구의 영역별 문항 수와 난이도 구성은 [표 1]과 같다.

[표 1] ICT 리터러시 진단 문항의 영역별 문항 수와 난이도 구성

영역 구분

소영역

영역별 문항수

난이도 구성

정보접근

ICT 기기 활용

6문항

상 1, 중 4, 하 1문항

인터넷 활용

데이터베이스 활용

정보생성

문서 작성

6문항

상 1, 중 4, 하 1문항

멀티미디어 제작

정보관리

데이터 표현

6문항

상 1, 중 4, 하 1문항

파일 관리

정보공유

정보공유 인식 및 교환

6문항

상 1, 중 4, 하 1문항

ICT 기기 간의 정보 공유

협업 및 정보공유 도구 활용


background image

327

신입생 ICT 리터러시 역량진단을 통한 

소프트웨어 기초교육 방안 모색┃최정희·구진희

정보윤리

저작권과 정보보호 인식

6문항

상 1, 중 4, 하 1문항

윤리 인식

전체

30문항

상 5, 중 20, 하 5문항 

(2) 연구 대상
이 연구는 M대학교의 2021년~2023년 신입생을 대상으로 수행하였으

며, (1)의 연구 도구 각 영역에서 난이도 상 1개 문항, 중 4개 문항, 하 1개 문
항씩 총 30문항을 선정하여 50분 동안 진행하였다. 조사 방법은 학기초 1
주차에서 3주차 사이 수업시간에 담당교수 안내에 따라 인터넷이 연결된 
PC, 스마트 디바이스 등을 이용한 온라인 CBT(Computer Based Test) 방
식으로 진행되었다.

2) 진단 내용 및 분석 결과

(1) 일반적 특성 및 ICT 관련 선행학습 경험
① 연구 대상자의 일반적 특성
3년간 단과대학별 ICT 리터러시 역량진단에 참여 인원과 비율은 [표 2]

와 같다. 연도별 단과대학의 모집정원에 따라 응답 인원 비율에서 차이를 
보였고, 2022년 참여 인원이 적은 것은 코로나19 상황으로 대면과 비대면 
혼합 형태의 수업 진행방식으로 인해 대면 수업에 참여한 학생을 대상으로 
한 결과이다. 

[표 2] 연도별 ICT 리터러시 역량진단 응답 인원과 비율

(단위:비율(%)

계열

(대학)

2021년

2022년

2023년

인원(명) 비율(%) 인원(명) 비율(%) 인원(명) 비율(%)

신학대학

59

3.92

20

2.59

25

2.98

문화콘텐츠대학

171

11.36

102

13.20

130

11.56

사회과학대학

338

22.46

154

19.92

215

20.27

테크노대학

175

11.63

97

12.55

153

12.18


background image

328 

지식과 교양 Vol. 13

공과대학

232

15.42

100

12.94

178

14.62

사범대학

152

10.10

91

11.77

89

9.52

음악대학

141

9.37

67

8.67

104

8.95

미술디자인대학

237

15.75

142

18.37

316

19.93

연도별 합계

1505

100

773

100

1210

100

② ICT 관련 선행학습 경험
대학에 입학하기 전 ICT 관련 교과/비교과 프로그램을 학습한 경험이 

있는지 알아보기 위해 ICT 리터러시 역량진단 문항과 별개로 선행학습 참
여 경험에 관한 문항들을 포함하여 조사하였다. 분석 결과, 2021학년도에 
1505명 중 359명(24.52%), 2022학년도에 773명 중 241명(31.88%), 2023
학년도에 1210명 중 341명(29.10%)이 ICT 관련 학습 유경험자로 조사되었
다. 3년간 누계로 보면, 전체 응답자 3488명 중 940명이 ICT 관련 선행학습 
경험이 있는 것으로 나타났으며, 비율로 보면 27.05%로 1/4이 넘는 학생이 
학습 경험이 있다고 응답하였다. 계열과 연도별 ICT 관련 선행학습 응답 결
과는 [표 3]과 같다.

[표 3] 연도별 ICT 관련 교과/비교과 프로그램 참여 유경험자 비율

(단위:비율(%)

계열

연도

2021년

2022년

2023년

계열별 평균

신학대학

30.51

40.00

44.00

38.17

문화콘텐츠대학

28.65

30.39

20.00

26.35

사회과학대학

22.78

29.87

25.12

25.92

테크노대학

25.14

24.74

32.03

27.31

공과대학

26.29

32.00

38.76

32.35

사범대학

29.61

43.96

30.34

34.63

음악대학

14.18

22.39

14.42

17.00

미술디자인대학

18.99

31.69

28.16

26.28

연도별 평균

24.52

31.88

29.10

27.05*

*(전체평균)


background image

329

신입생 ICT 리터러시 역량진단을 통한 

소프트웨어 기초교육 방안 모색┃최정희·구진희

연도별 ICT 관련 교과/비교과 프로그램 참여 유경험자의 비율은 [그림 

2]와 같다. 2021년 검사 결과와 2022년, 2023년 검사 결과를 비교해보면 전
반적으로 ICT 학습 경험자 수의 증가 추세가 뚜렷하다. 다만, 2022년 ICT 
학습 경험자가 2023년보다 다소 높게 나온 이유는 2022년 응시 인원(774
명)이 2023년의 응시 인원(1210명)보다 436명 더 적게 응시했기 때문에 다
소 높은 비율이 나온 것으로 판단된다.

[그림 2] 연도별 ICT 관련 교과/비교과 프로그램 참여 경험 유무

계열별 ICT 관련 교과/비교과 프로그램 참여 유경험의 비율은 [그림 3]

과 같다. 3년간 전체 응답자 중 사범대학, 공과대학, 신학대학은 30% 이상
의 학생이 유경험으로 응답한 것과 비교하여, 음악대학 신입생의 ICT 학습 
프로그램 참여 경험은 16%로 평균보다 낮게 나타났다.

[그림 3] 계열별 ICT 관련 교과/비교과 프로그램 참여 경험 비율


background image

330 

지식과 교양 Vol. 13

[그림 4]는 ICT 관련 교과/비교과 프로그램 참여 경험이 있다고 응답한 

학생들을 대상으로 구체적으로 참여한 ICT 학습프로그램을 조사한 결과이
다. ICT 학습 프로그램 참여 경험이 있는 학생이 참여한 프로그램의 변화가 
연도별로 뚜렷이 나타났다. 이러한 특징을 상세히 살펴보면 다음과 같다.

[그림 4] 참여 경험이 있는 학습 프로그램 비율

첫째, ICT 관련 학습 경험자 중에서 블록코딩(스크래치, 엔트리, 앱인

벤터) 또는 텍스트코딩에 대한 학습 경험이 있다고 응답한 학생 비율의 합
계를 보면, 2021년 103%(중복 선택), 2022년 112%(중복 선택), 2023년 
139%(중복 선택)로 코딩 학습 경험이 매년 증가하였음을 알 수 있다. 반
면에 ICT 관련 학습 경험자 중에서 정보교과, OA(한글, ITQ, 컴퓨터활용
능력 등)에 대한 학습 경험이 있다고 응답한 학생 비율의 합계는 2021년 
67.3%(중복 선택), 2022년 60.2%(중복 선택), 2023년 54.3%(중복 선택)로 
나타났다. 또한, 가장 최근에 해당하는 2023학년도 신입생의 정보교과 또
는 OA에 대한 학습 경험 비율은 2021학년도 신입생보다 13% 낮게 나타났
다. 

둘째, 텍스트코딩 교육 경험자 중에는 파이썬 프로그래밍 경험이 있는 

학생 수가 2021년 24.2%, 2022년 25.7%, 2023년 39.6%로 해마다 높은 증


background image

331

신입생 ICT 리터러시 역량진단을 통한 

소프트웨어 기초교육 방안 모색┃최정희·구진희

가율을 보였으나, C언어, 자바 등은 다소 낮은 수치의 증가율을 보였다. 이
러한 결과가 나타난 배경으로는 AI(Artificial Intelligence : 인공지능)시대
에 수요가 높은 프로그래밍 언어인 파이썬2)에 대한 학습 경험이 증가하고 
있는 것으로 판단되며, IT 여러 분야 중 AI 관련 기술(딥러닝, 머신러닝)에 
대한 학습 기회가 많아지고 있기 때문으로 사료된다.

(2) 계열별 성적 분석
① 계열별 성적 비교
[그림 5]는 2021년부터 2023년까지 계열별 ICT 리터러시 역량진단 문

항에 대한 전체 정답 평균 추이를 나타낸 것이다. 모든 계열 응시자의 평균 
정답률이 향상되었다. 평균점수 상승은 ICT 리터러시 역량의 향상으로 판
단되며, ICT 리터러시 역량진단 정답률 향상은 코로나19 팬데믹 시기에 학
습자의 학습 환경의 변화에 따른 ICT 경험 증가에 따른 결과로 판단된다.

신학대학, 공과대학, 사범대학, 미술디자인대학의 평균 정답률이 다소 

높게 나타났으나 테크노대학과 음악대학의 정답률 평균 정답률이 다소 낮
게 나타났다.

[그림 5] 계열별 정답률 비교

2) TIOBE, https://www.tiobe.com/tiobe-index/


background image

332 

지식과 교양 Vol. 13

[그림 6]은 신입생의 ICT 관련 교과/비교과 프로그램 학습 경험과 ICT 

리터러시 역량진단 결과의 상관관계를 나타내고 있다. 정답률 평균(%)은 
ICT 리터러시 역량진단 결과의 계열별 정답률 평균이고, 학습경험비율(%)
은 ICT 관련 학습 경험이 있다고 응답한 학생의 계열별 비율이다.

[그림 6] ICT 학습 경험과 ICT 리터러시 역량 결과 상관 관계

ICT 관련 학습 경험 비율이 높은 공과대학, 사범대학 그리고 미술디자

인대학은 ICT 리터러시 역량진단 평균점수가 높게 나타났으나, 상대적으
로 ICT 관련 학습 경험 비율이 낮은 음악대학과 테크노과학대학은 ICT 리
터러시 역량진단 평균점수도 낮게 나타났다.

② 계열별 성적에 대한 차이 분석
계열 간 학생들의 성적(정답률) 차이가 통계적으로 유의한지를 알아보

기 위해 분산분석(ANOVA:Analysis of Variance)을 실시하였다. [표 4]는 
2021학년도 성적에 대한 분산분석 결과를 나타낸 것이다. 분산분석 요약표
를 보면 통계적으로 유의한 차이가 있음을 나타내고 있으며 F값에 따르면 
계열 간 차이가 존재한다. 2022학년도와 2023학년도의 계열별 성적 차이
에 대한 분산분석 결과는 2021학년도와 유사한 결과를 보였다.

계열 간 학생들의 성적 차이가 구체적으로 어떻게 나타나는지를 알아

보기 위해서 Scheffe 사후검정을 실시한 결과, [그림 7]과 같이 사범대학과 


background image

333

신입생 ICT 리터러시 역량진단을 통한 

소프트웨어 기초교육 방안 모색┃최정희·구진희

공과대학이 유의수준에서 차이가 없는 것으로 나타났고, 신학대학, 문화콘
텐츠대학, 사회과학이 하나의 그룹으로 유의수준에서 차이가 없는 것으로 
나타났다.

[표 4] 분산분석 요약표

변동의 요인

제곱합 자유도 제곱평균

F 비

P-값 F 기각치

처리(집단 간)

3941.18

7

152.6885 7.035479 2.8E-08 2.015685

잔차(집단 내) 121378.5 1497 21.70264

125319.7 1504

***P<0.05

미술디자인대학과 테크노과학대학은 유사한 점수 분포를 보이고 있으

나, 통계적으로 유의한 차이가 나타났고, 앞서 하나의 그룹으로 묶인 3개의 
계열과도 유의미한 차이가 나타났다. 또한, 음악대학 학생들의 성적이 a그
룹(사범대학, 공과대학), ab그룹(미술디자인대학), abc(신학대학, 문화콘텐
츠대학, 사회과학대학), bc(테크노과학대학)과 유의미한 차이가 있는 것으
로 나타났다.

[그림 7] Scheffe 사후검정 결과


background image

334 

지식과 교양 Vol. 13

(3) 영역별 성적 분석
2021년부터 2023년까지 전체 계열의 영역별 정답률은 [그림 8]과 같다. 

3년간 영역별 정답률은 모든 영역(정보접근, 정보생성, 정보관리, 정보공
유, 정보윤리)에서 매년 상승한 것으로 나타났다.

영역별로 비교해보면, 정보접근, 정보생성, 정보윤리 영역은 50% 이상

의 정답률을 보였고, 정보관리와 정보공유 영역은 정답률이 40% 미만의 다
소 낮은 정답률을 보였다. 정보관리와 정보공유 영역의 정답률이 다른 영
역보다 상대적으로 낮은 것은 컴퓨팅 사용환경이 개인 PC에서 모바일 단
말기와 클라우드 컴퓨팅 중심으로 변화하면서 파일 저장 및 관리, 파일/폴
더 개념, 프로그램 설치 및 활용 등 기존 PC 환경에서 이루어졌던 작업이나 
용어 등이 어려웠던 것으로 분석된다.

한편, 정보 검색 및 인터넷 사용 방법 그리고 네트워크 설정 방법에 관

련한 문항으로 구성되어 있는 정보접근 영역의 평균점수는 다른 영역의 평
균점수보다 높게 나타났다. 이는 ICT 리터러시 역량진단에 참여한 학생들
에게 인터넷 정보 검색이나 사용 방법은 비교적 익숙하기 때문으로 판단된
다.

[그림 8] 영역별 정답률 비교

정보윤리 영역은 개인정보 및 저작권에 관련한 문항으로 구성되어 있

다. 정보윤리 영역의 정답률은 2021년 46.75%, 2022년 48.64%, 2023년 


background image

335

신입생 ICT 리터러시 역량진단을 통한 

소프트웨어 기초교육 방안 모색┃최정희·구진희

50.44%를 나타내고 있으며, 정보접근 영역에 이어 두 번째로 높은 정답률
을 보였다. 또한, 매년 정보윤리 영역의 정답률의 상승 폭은 다른 영역보다 
높게 나타나 개인정보 및 저작권에 관한 인식 수준이 높아졌음을 확인하였
다.

(4) 계열별 영역 성적 분석
ICT 리터러시 역량 진단의 각 영역별, 연도별 전체 평균과 계열별 평균

은 [표 5]와 같다. 첫 행의 계열에서 신학대학(ᶬ), 문화컨텐츠대학(ᶭ), 사회과
학대학(ᶮ), 테크노과학대학(ᶯ), 공과대학(ᶰ), 사범대학(ᶱ), 음악대학(ᶲ), 미술디
자인대학(ᶳ)와 같이 표기한다. 

[표 5] 계열별 영역 정답률 평균

 계열별 전체  

평균(%)

     진단

영역    년도

ᶬ ᶭ ᶮ ᶯ ᶰ ᶱ ᶲ ᶳ 영역평균

접근

영역

2021 59.6 59.5 57.0 57.3 61.8 63.7 51.0 60.0 58.7

59.9

2022 60.0 57.2 57.9 53.6 61.8 65.2 53.5 59.3 58.6
2023 69.3 60.7 60.0 60.9 60.6 64.1 60.3 62.1 62.3

생성

영역

2021 47.5 52.4 48.2 47.5 52.1 55.6 43.5 49.1 49.5

51.2

2022 46.7 49.7 50.1 50.7 56.8 53.9 48.8 54.6 51.4
2023 51.3 49.9 51.4 49.7 53.5 55.8 54.3 54.8 52.6

관리

영역

2021 41.0 40.9 36.4 35.3 40.9 42.3 35.4 38.8 38.9

39.5

2022 36.7 37.4 38.5 36.6 43.2 41.9 38.8 41.8 39.4
2023 46.0 38.1 41.2 38.2 37.6 42.5 37.3 40.9 40.2

공유

영역

2021 38.2 34.5 34.6 31.8 41.0 38.4 34.6 39.2 36.5

39.1

2022 39.2 42.3 38.3 36.9 44.2 43.4 33.8 41.6 40.0
2023 40.7 41.0 38.1 41.0 40.9 38.8 41.2 43.4 40.6

윤리

영역

2021 51.2 48.2 50.6 44.1 55.2 54.5 42.7 54.5 50.1

53.5

2022 56.7 51.6 51.3 50.0 54.5 57.7 50.3 59.4 53.9
2023 60.7 53.9 53.6 53.8 57.8 59.2 55.5 58.0 56.6

계열평균

49.65 47.82 47.15 45.83 50.79 51.8 45.4 50.5

48.6*

*(전체평균)


background image

336 

지식과 교양 Vol. 13

계열별 각 영역의 정답률 평균을 살펴보면 사범대학 학생들은 접근영

역과 생성영역의 평균점수가 높게 나타났고, 공과대학 학생들은 공유영역
의 평균점수가 높게 나타났다. 신학대학을 살펴보면, 접근영역, 관리영역, 
윤리영역에서 2023년 신학대학 신입생들이 그 이전 신입생들의 평균점수
보다 상당히 높은 평균점수를 나타내고 있다. 그러나 문화컨텐츠대학, 사
회과학대학, 음악대학의 영역별 평균점수는 전반적으로 전체 계열의 영역 
평균점수보다 다소 낮거나 평균점수와 비슷하게 나타났다.

3. 교양 소프트웨어 교육과정에 대한 시사점

이 연구는 3개년 대학 신입생을 대상으로 ICT 리터러시 역량진단 분석

을 통해서 교양 소프트웨어 교육과정에 대한 시사점을 다음과 같이 제시한
다.

1) 소프트웨어 기초교육에서 블록 코딩 언어의 활용

소프트웨어 기초교육은 4차 산업혁명으로 인해 우리 삶과 산업현장에

서 소프트웨어 융합 인재의 필요성이 증가하면서 2015년부터 SW중심대학
에 선정된 대학을 중심으로 본격적으로 확대되었다(교육부, 2015). 초기 비
전공자의 소프트웨어 기초교육에서는 스크래치와 같은 블록 코딩 언어를 
이용하여 컴퓨팅사고 기반 문제해결력 기르기 위한 교육과정이 주류를 이
루었다. 블록 코딩 언어의 장점은 문제해결을 위해 프로그래밍 언어의 문
법 학습에 들이는 시간을 줄이고 알고리즘 설계 및 컴퓨터 시스템에 자동
화할 수 있다는 점이다. 그러나 스크래치와 같은 블록 코딩 언어는 교육용 
프로그래밍 언어로 실제 산업현장에서 사용되지 않으며, 초중등학교에서 
스크래치를 이용한 코딩 교육 사례가 늘어나면서 대학의 소프트웨어 기초
교육에서 블록 코딩 언어는 점차 줄어드는 추세이다.

이 연구의 ICT 리터러시 역량진단을 통해 살펴본 계열별 ICT 리터러시


background image

337

신입생 ICT 리터러시 역량진단을 통한 

소프트웨어 기초교육 방안 모색┃최정희·구진희

는 통계적으로 유의미한 차이를 보였다. 특히, 예술계열의 음악대학 학생
들과 테크노과학대학 학생들의 성적은 다른 계열의 학생들의 성적과 유의
미한 차이를 보였다. 텍스트 코딩이 어려운 계열의 학생들에게는 블록 코
딩 언어가 여전히 소프트웨어 기초교육의 좋은 대안이 될 수 있을 것으로 
판단된다.

2) 파이썬 언어에 대한 기초 및 심화 교육 필요성

컴퓨팅 파워와 하드웨어 연산력, 클라우드의 발전은 인공지능 기술의 

대성장을 이끌었다. 최근 생성형 인공지능의 발전은 인공지능 기술의 변곡
점이 되고 있으며, 인공지능 기술 구현에 광범위하게 사용되고 있는 파이
썬 언어에 대한 관심과 수요도 크게 증가하고 있다. [그림 6]에서 나타낸 것
과 같이 학생들의 ICT 관련 교과/비교과 학습 프로그램의 경험 비율이 높
은 계열은 ICT 리터러시 역량진단 성적도 높고, 상대적으로 경험 비율이 낮
은 계열은 성적도 낮게 나타났다. 이러한 결과는 학생들의 미래 사회 도전
을 위해 소프트웨어 기초교육과정에서 유용한 프로그래밍 언어 경험을 제
공할 필요가 있음을 시사한다.

전공에 상관없이 소프트웨어 기초교육에서 파이썬 언어를 기반으로 하

는 기초 및 심화 교육과정, 전공자 및 비전공자가 다양하게 선택할 수 있도
록 교육과정을 구성할 필요가 있다.

3) 컴퓨터 사용환경 변화에 따른 자원 관리 방법에 대한 교육 필요성

컴퓨팅 환경이 PC에서 모바일로 옮겨가면서 최근 웹 기술은 단순히 메

일이나 웹 서비스를 사용하는 형태에서 스토리지, 응용소프트웨어, 개발 
환경에 이르기까지 대부분의 컴퓨터 자원을 웹을 기반으로 사용하는 형태
로 변화하고 있다. 특히, 데이터 저장 공간을 클라우드를 사용하면서 기존
의 로컬 저장 공간 즉, 하드디스크를 나누고 폴더를 만들어 파일을 관리하
던 방식에서 PC나 모바일에서 생성한 다양한 데이터를 즉각적으로 클라우


background image

338 

지식과 교양 Vol. 13

드에 업로드하는 것이 보편화되었다. ICT 리터러시 역량진단 결과에서 보
여주듯이 학생들의 정보 관리 및 공유 역량이 다른 역량과 비교하여 상대
적으로 낮은 점수를 보였다.

따라서, 정보 관리나 공유 역량을 증진하기 위해서는 클라우드의 개념

과 사용 방법에 대해 교육하고 클라우드 환경을 기준으로 실습 환경을 제
공할 필요가 있다고 판단된다.

4. 맺음말

이 연구는 M대학교의 2021년~2023년 신입생을 대상으로 ICT 리터러

시 진단 결과를 분석하고 이를 바탕으로 대학 교양 소프트웨어 교육과정에 
대한 시사점을 도출하였다. 연구 결과를 통해 도출된 시사점으로는 소프트
웨어 기초교육에서 블록 코딩 언어의 활용 가능성, 파이썬 언어에 대한 사
회적 관심과 수요증가를 반영하여 기초 및 심화 교육과정 필요성, 컴퓨터 
사용환경 변화에 따른 자원 관리 방법에 대한 교육 필요성 등이 도출되었
다.

디지털 기술의 진화로 21세기 인류가 맞은 4차 산업혁명은 산업생태계

를 빠르게 변화시키고 있다. 이러한 상황에서 대학의 소프트웨어 기초교육
에서는 전공/비전공자에게 전공 분야의 소프트웨어 기초 역량 및 융합 역
량을 함양하기 위한 교육과정을 제공해야 한다. 소프트웨어 기초교육과정
의 교육내용은 선행학습 경험이 학업성취도에 매우 중요하게 영향을 미치
는 특성이 있다. ICT 리터러시 역량진단은 급변하는 현대 사회에서 학생들
에게 맞는 교육 서비스를 위해 소프트웨어 기초교육과정 설계를 위한 기초
자료로 활용될 수 있을 것이다.


background image

339

신입생 ICT 리터러시 역량진단을 통한 

소프트웨어 기초교육 방안 모색┃최정희·구진희

❚참고문헌

계보경, 『수행형 기반 디지털 리터러시 평가도구 개발 연구』, 한국교육

학술정보원, 2022.

교육부, “SW중심사회를 위한 인재양성 추진계획”, 교육부 보도자료, 

2015.07.21.

김도헌, 「국내 미디어·디지털·정보·ICT 리터러시의 연구동향 분석」, 『교

육문화연구』 26권 3호, 인하대학교 교육연구소, 2020, 93-119

쪽.

박주현, 「독서·정보·ICT·디지털 리터러시의 개념화 모델 개발 연구」, 

『한국도서관정보학회지』 49권 2호, 한국도서관·정보학회, 

2018, 267-300쪽.

이철현, “4차 산업혁명 시대 디지털 역량 함양을 위한 소고”, <소프

트웨어정책연구소>, 2020.11.27., https://spri.kr/posts/

view/23111?code=industry_trend.

변숙자, 「근거이론을 활용한 교사의 미디어 리터러시 수업 경험 분석」, 

『리터러시 연구』 13권 3호, 한국리터러시학회, 2022, 335-373

쪽.

신소영·이승희, 「디지털 리터러시 측정 도구 개발 및 타당화 연구」, 『학

습자중심교과교육연구』 19권 7호, 학습자중심교과교육학회, 

2019, 749-768쪽.

한국교육학술정보원, 「2020년 국가수준 초·중학생 디지털 리터러시 수

준 측정 연구」, 『연구보고 RR 2020-10』, 2020.

Lennon, M. L., Kirsch, I. S., von Davier, M., Wagner, M., Yamamoto, 

K. Feasibility Study for the PISA ICT Literacy Assessment: 

Report to Network A PISA ICT, ETS ICT Literacy Assessme-

nt Report, 2003.

Joolingen, van W., The PISA framework for assessment of ICT 

literacy, available to: https:/ oei.org.ar/ibertic/evaluacion/sites/


background image

340 

지식과 교양 Vol. 13

default/files/biblioteca/7_pisa_framework.pdf, 2006.

Ainley, J., Schulz, W., Fraillon, J., A global measure of digital and ICT 

literacy skills, Australian Council for Educational Research, 

UNESCO Global Education Monitoring Report

, 2016.

OECD,  PISA  2018  Results  (Volume  I):  What  Students  Know 

and Can Do, PISA, OECD Publishing, Paris, https://doi.

org/10.1787/5f07c754-en, 2019.


background image

341

신입생 ICT 리터러시 역량진단을 통한 

소프트웨어 기초교육 방안 모색┃최정희·구진희

❚국문초록

이 연구는 대학 신입생을 대상으로 ICT 리터러시 진단 결과를 분석

하고 이를 바탕으로 대학 교양 소프트웨어 교육과정에 대한 시사점을 
도출하고자 수행된 연구이다. 자료 수집은 대전 소재 M대학교의 2021
년, 2022년, 2023년 신입생 3,488명을 대상으로 하였으며, ICT 관련 선
행학습에 따른 성적 비교, 전공계열별 성적 차이 분석, ICT 리터러시 역
량별 차이를 분석하였다. 연구결과, 3년간 전체 응답자 3488명 중 940
명(27.05%)이 ICT 관련 프로그램의 경험이 있다고 응답하였으며, ICT 
관련 학습 경험 비율이 높은 공과대학, 사범대학, 미술디자인대학은 
ICT 리터러시 역량진단 평균점수가 높게 나타났다. 반면에 학습 경험 
비율이 낮은 음악대학, 테크노과학대학은 평균점수가 낮게 나타나 ICT 
관련 선행 학습 경험은  ICT 리터러시 역량 점수와의 높은 연관성을 보
였다. 영역별로 정답률을 비교한 결과, 접근영역과 윤리영역의 정답률은 
다른 영역에 비해 높게 나타났으나, 관리영역과 공유영역은 다소 낮은 
정답률을 보였다. 이러한 결과는 컴퓨팅 사용환경이 PC에서 모바일로 
옮겨가면서 데이터 저장, 소프트웨어의 사용 및 개발 환경 등이 클라우
드 컴퓨팅 중심으로 변화하고 있기 때문으로 분석된다. 또한 연구 결과
를 통해 도출된 시사점으로는 소프트웨어 기초교육에서 블록 코딩 언
어의 활용 가능성, 파이썬 언어에 대한 사회적 관심과 수요증가를 반영
하여 기초 및 심화 교육과정 필요성, 컴퓨터 사용환경 변화에 따른 자원 
관리 방법에 대한 교육 필요성 등이다.

주제어 ●  ICT 리터러시, 대학 신입생, 리터러시 역량, 소프트웨어 기초

교육, 역량진단 


background image

342 

지식과 교양 Vol. 13

❚Abstract

Exploring Basic Software Education Methods through ICT 

Literacy Competency Diagnosis for College Freshmen 

Choi, Jeong Hee·Ku, Jin Hee

/ Mokwon University·Mokwon University

This study was conducted to analyze the results of ICT literacy diagnosis 

for college freshmen and derive implications for college liberal arts software 
curriculum based on this. Data collection targeted 3,488 new students at M 
University in Daejeon in 2021, 2022, and 2023, and compared grades based 
on ICT-related prior learning, analyzed differences in grades by major, and 
analyzed differences in ICT literacy capabilities. As a result of the study, 
940 (27.05%) out of 3,488 respondents over the past three years responded 
that they had experience in ICT-related programs. The average score of the 
ICT literacy competency diagnosis of students in the college of engineering, 
college of education, and college of art and design, who had a high proportion 
of ICT-related learning experience, was high. While the average score of 
students at the college of music and college of technoscience, who had a 
low proportion of ICT-related learning experience, was low. In other words, 
ICT-related prior learning experience showed a high correlation with ICT 
literacy competency scores. As a result of comparing the percentage of 
correct answers by area, the percentage of correct answers in the access and 
ethics areas was higher than that of other areas, but the percentage of correct 
answers in the management and sharing areas was somewhat lower. These 
results are believed to be due to the fact that as the computing environment 
is moving from PC to mobile, data storage, software use, and development 
environments are changing to focus on cloud computing. In addition, 
implications derived from the research results include the possibility of using 
block coding language in basic software education, the need for basic and 


background image

343

신입생 ICT 리터러시 역량진단을 통한 

소프트웨어 기초교육 방안 모색┃최정희·구진희

advanced curriculum reflecting the increase of social interest and demand 
for the Python language, and resource management methods according to 
changes in the computer use environment.

Keyword ● ICT Literacy, College Freshmen, Literacy Competency, Basic 

Software Education, Competency Diagnosis

❙논문투고일:2023.10.18.❙심사완료일:2023.11.10.❙게재확정일:2023.11.28.❙


background image

background image

345

발달장애인의 거주 서비스 욕구와 

지원방안에 관한 연구*

1. 서론

1990년대 후반 국내에 소개되기 시작한 ‘자립생활’이란 패러다임은 

2000년대 이후 국내 장애인복지정책, 현장 및 학계를 막론하고 매우 지대
한 영향을 미쳐왔고 지금도 미치고 있다.1) 자립생활이란 장애인이 자신의 
삶에 대한 선택과 통제권을 지닌 채 삶의 주체성을 회복해나가는 삶임과 
동시에 이에 대한 책임까지도 스스로 질 것을 요구받는 삶이다.2) 따라서 자

* 본 논문은 한국장애인복지시설협회 2021년 「장애인거주시설 정책현안 연구결과

보고서」 중 본 저자가 투고한 연구 결과를 수정 및 보완한 것으로, 2022년도 목원

대학교 연구년 지원에 의해 연구되었음.

** 목원대학교 사회복지학과 교수
1) 김동기, 「장애등급제 폐지, 그 이상과 현실 사이에서」, 『한국장애인복지학』 41

권, 한국장애인복지학회, 2018, 87-110쪽, Friden, L, “ILRU Source Book 

Huston, TX”, The Institute for Rehabilitation and Research, 1979.

2) Dejong, G, “Environment Accessibility and Independent Living Outcomes,” University 

김 동 기**

1. 서론
2. 이론적 배경
3. 초점집단인터뷰 분석결과
4. 결론 및 제언 

목  차

https://doi.org/10.54698/kl.2023.13.345


background image

346 

지식과 교양 Vol. 13

립생활의 핵심가치는 선택과 결정, 그리고 이에 대한 책임이다. 그런데 이
와 같은 자립생활 패러다임이 국내에 소개되기 시작했을 때, 여전히 자립
생활의 대상에서 배제 및 분리되던 대상이 있었는데 그게 바로 ‘발달장애
인’이었다. 즉, 우리 사회에 자립생활이 도입되어 전 방위적으로 영향을 미
치고 있음에도 불구하고 여전히 발달장애인, 특히 도전적 행동이 강한 발
달장애인이나 신체적・감각적 장애도 동반된 중복발달장애인의 경우에, 그
들에게 우리 사회가 요구했던 또는 기대했던 역할은 ‘거주시설 안에서의 
삶’이었다. 지역사회에서 비장애인처럼 자신이 거주하는 집에서 자립적인 
삶을 위해 필요한 다양한 거주지원 서비스를 받으며 살아가는 것이 아니
라, 거주시설 안에서의 집단적 삶을 우리 사회가 너무나도 당연시 여겼던 
것이다.

하지만 2010년대 중반부터 발달장애인 권리보장법 시행 및 발달장애인

지원센터 운영, 발달장애인거점병원(행동발달증진센터) 운영, 장애인권익
옹호기관 운영, 장애인권강권법 시행 및 지역장애인보건의료센터 운영 등 
발달장애인의 지역사회 삶과 인권 등을 강조하고 지원하는 다양한 법률 및 
제도가 정비・시행되기 시작하였고, 이전 정권에서는  ‘발달장애인 국가책
임제’의 일환으로  2018년에 ‘발달장애인 평생케어 종합대책’이, 현 정권에
서는 2022년‘발달장애인 평생돌봄 강화대책’이 발표되었다.3) 특히, 내년에 
시행 예정인 최중증 발달장애인 통합돌봄사업의 경우, 최중증 발달장애인
에게 주거지원을 포함한 24시간 지원이 포함되어 있어, 향후 발달장애인의 
지역사회 주거지원 서비스는 더욱 확대될 전망이다.

이처럼 발달장애인의 지역사회 거주, 그리고 이를 위해 필요한 거주지

원서비스는 향후 우리나라 장애인복지정책이 집중해야 할 영역임에 분명

Center for International Rehabilitation USA/Michigan State University, 1981. 

3) 김동기 외, 『발달장애인지원센터 발전방안 연구』, 보건복지부, 2023.


background image

347

발달장애인의 거주 서비스 욕구와 지원방안에 관한 연구┃김동기

함을 알 수 있다. 따라서 본 연구에서는 발달장애인을 중심으로 그들이 지
역사회에서 자립적인 삶을 살기 위해서 필요한 거주서비스에 대한 욕구와 
이를 위해 필요한 지원방안이 무엇인지를 확인 및 제안하고자 한다. 이를 
위해 본 연구에서 설정한 연구 질문은 다음과 같다.

연구 질문 1. 발달장애인의 돌봄에 대한 가족의 부담은 어느 정도인가?
연구 질문 2. 발달장애인의 지역사회 거주 서비스 욕구는 무엇인가?
연구 질문 3. 발달장애인의 지역사회 자립적인 삶을 지원하기 위해 필요

한 거주 서비스는 무엇인가?

2. 이론적 배경

1) 발달장애인 가족의 돌봄 부담

발달장애인 가족의 돌봄 부담에 대한 선행연구를 살펴보면 다음과 같

다. 우선, 전국의 성인발달장애인(만18세~65세 미만) 2,083명 및 주 돌봄
자를 대상으로 생활실태조사를 실시한 연구4)를 살펴보면, 첫째, 최근 1년
간 발달장애인 돌봄 소요 시간의 경우,  최근 1년간 발달장애인 가족에 대
한 돌봄 시간이 낮 시간대의 경우 1~4시간 정도가 약 37%로 정도로 나타
난 반면 9~12시간도 약 9.4%에 달할 정도로 높게 나타났다. 한편, 밤 시간
대의 경우도 이와 유사하게 1~4시간 정도가 약 36.5%로 나타난 반면, 9~12
시간도 약 5.8% 정도로 나타났다. 따라서 발달장애인 가족에 대한 돌봄 시
간이 적게는 1일 기준으로 2~3시간이, 많게는 10~11시간 정도 달하는 것
으로 나타났다. 둘째, 주 돌봄자의 일상생활 어려움 정도의 경우, 경제 상황
은 약 68%, 신체건강은 약 59.2%, 심리·정서적인 측면은 약 61.6%, 여가 생
활은 약 60.4%가 어려움에 직면해 있는 것으로 나타났다. 따라서 발달장애

4) 강정배·김동기·박광옥·유경민·김현지, 「발달장애인 주간활동서비스 맞춤형 급여

체계 연구」, 보건복지부·한국장애인개발원, 2000.


background image

348 

지식과 교양 Vol. 13

인 주 돌봄자가 직면하고 일상생활의 어려움 정도가 모든 영역에서 50%이
상 어려움을 겪고 있음을 알 수 있으며, 특히 돌봄으로 인해 경제활동에 참
여하지 못함으로 인해 발생하는 경제적 어려움이 상대적으로 가장 큰 것
으로 나타났다. 셋째, 주 돌봄자의 정신건강의 경우, ‘매우 우울했다’는  약 
14.7%, ‘모든 일들이 힘들게 느껴졌다’는 약 14.7%, ‘나 혼자인 것 같은 외
로움을 느꼈다’는 약 14.2%,  ‘도무지 뭘 해나갈 엄두가 나지 않았다’는 약 
14.1%가 느끼고 있는 것으로 나타났다. 따라서 발달장애인에 대한 주 돌봄
자의 정신건강의 경우 대부분의 문항에서 10% 이상 어려움을 겪고 있는 것
으로 나타났다. 넷째, 주 돌봄자 사후 희망하는 장애인 돌봄자의 경우, 복지
시설의 사회복지사 45.6%, 비장애 형제자매 30.3%, 친척 6.7%, 공공기관
의 공무원 5.6%, 성년후견인 4.9% 순으로 나타났다. 따라서 주 돌봄자 사
후에 대체 돌봄자로서 복지시설의 사회복지사를 가장 희망하는 것으로 나
타났다. 마지막으로, 주 돌봄자 사후 장애인 희망거주 장소의 경우, 자립해
서 일반주택 25.5%, 현재 거주하는 집 24.5%, 장애긴 거주시설 18.4%, 요
양보호 시설 10.1%, 형제자매 등 가족친척 집 10.1%, 공동생활가정 9.6% 
순으로 나타났다. 따라서 지역사회에서 자립해서 일반주택에 거주하거나 
현재 거주하는 집에서 살기를 희망하는 비율이 약 50% 정도로 나타났고, 
또한 장애인거주시설, 요양시설 및 공동생활가정 등과 같은 시설에 대해서
는 38.8% 정도로 나타나 절반 정도가 지역사회에서 자신이 자녀가 살아가
기를 희망하는 것으로 나타났다.

한편, 이와 유사하게 팬데믹 시대 발달장애인의 생활 실태와 서비스욕

구 변화 연구5)를 살펴보면, 전국 발달장애인 주보호자 및 당사자 1,000명을 
대상으로 조사를 실시하였는데, 첫째, 주 보호자의 건강상태의 경우, 신체

5) 조향숙·김민경·최미영·정영규, 「팬데믹 시대 발달장애인의 생활실태와 서비스 욕

구변화 연구」, 울산광역시발달장애인지원센터·사랑의 열매, 2021.


background image

349

발달장애인의 거주 서비스 욕구와 지원방안에 관한 연구┃김동기

적 건강상태가 매우 나쁨 또는 나쁨이 약 30.3%, 정신적 건강상태가 매우 
나쁨 또는 나쁨이 37%로 나타났다. 둘째, 코로나 19 이후 발달장애 가족의 
돌봄 어려움에 대해서, 코로나 19발생 이후 가족 돌봄이 약간 어려움 또는 
훨씬 어려움이 약 69.7%로 나타났다. 따라서 코로나 19로 인해 발달장애 
가족의 돌봄 어려움이 이전보다 훨씬 더 어려움의 강도가 커졌음을 알 수 
있다. 셋째, 코로나 19 이후 가족이 겪는 어려움의 경우, 장기간 돌봄에 따
른 심리적 소진 27.2%, 외출, 치료 등 필수 활동의 제한 20.5%, 가족 돌봄자
의 신체능력 등 저하로 돌봄 부담 증가 18.8%, 대인관계의 축소로 인한 사
회적 고립감 13.4% 순으로 나타났다. 넷째, 가족 돌봄 소요 시간의 경우, 평
일은 코로나 19 이전은 평균 8.87시간인 반면 코로나 19 이후는 평균 13.68
시간으로 약 5시간 정도 돌봄 시간이 증가하였고, 주말은 코로나 19이전은 
평균 14.93시간인 반면 코로나 19 이후는 평균 17.10 시간으로 약 2시간 정
도 증가한 것으로 나타났다. 따라서 코로나 19로 인해 발달장애인에 대한 
가족 돌봄 시간이 그 이전보다 많이 증가하였음을 알 수 있다. 다섯째, 양육
스트레스의 경우, 코로나 19 이전 3.08점에서 코로나 이후 3.31점으로 증가
하였고, 여섯째, 코로나 19이후 보호자의 심리적 어려움에 대해서는 불안 
24.5, 답답함 16.8%, 두려움 10.6%, 외로움 9.8% 순으로 나타났다. 

지금까지 살펴본 결과, 발달장애인에 대한 주 돌봄자를 포함한 가족은 

발달장애인에 대한 돌봄 관련 경제적, 신체적, 심리·정서적 어려움에 직면
해 있으며,  부모 사후에 시설보다는 지역사회에서 자신의 자녀들이 거주
하기를 희망하는 것으로 나타났다. 또한, 코로나 19와 같은 감염병으로 인
해 주 돌봄자가 겪는 어려움은 이전에 비해 더욱 증가한 것으로 나타났으
며, 특히 주 돌봄자를 대신해서 발달장애 자녀를 돌봐줄 대체자원이 지역
사회에 대부분 없는 것이 가장 큰 문제 중에 하나인 것으로 나타났다.


background image

350 

지식과 교양 Vol. 13

2) 발달장애인의 지역사회 거주서비스 욕구 

발달장애인의 지역사회 거주서비스 욕구에 대한 선행연구를 살펴보

면 우선 전국의 성인발달장애인 생활실태조사6)의 경우, 장애인활동지원서
비스는 29.2%가 희망하는 것으로, 발달장애인 주간활동서비스에 대해서
는 약 22.7%가 희망하는 것으로, 장애인 일자리사업에 대해서는 약 20.9%
가 희망하는 것으로, 중증장애인 지원고용에 대해서는 약 9.1%가 희망하
는 것으로 나타났다. 한편, 코로나 19시기 필요서비스 에 대해 분석한 연
구7) 의 경우, 확진 시 격리와 이용 가능한 병원안내 및 신청, 동행서비스가 
18.8%, 낮 활동서비스 9.7%, 긴급 돌봄 9.1%, 활동지원시간, 주간활동급여 
추가확대 9.1%, 코로나 19 감염예방 등 이해하기 쉬운 정보제공 7.5%, 찾
아가는 돌봄 7.4%순으로 나타났다. 

그리고 발달장애인 통합적 복지지원체계 구축방안 연구8)를 살펴보면, 

첫째, 발달장애인의 취업과 관련하여, 발달장애인 자녀 취업을 위해 가장 
필요한 정부지원에 대해서는 발달장애인의 특성을 고려한 다양한 일자리 
개발이 62.6%, 발달장애인을 위한 전문적인 취업알선 체계 마련 13.5%, 발
달장애인의 취업유도를 위한 지원정책의 강화 10.7% 순으로 나타났다. 그
리고 취업 후 직업유지를 위해 가장 중요한 점은 취업유지를 위한 다양하
고 지속적인 정책적 지원의 확대와 강화 30.4%, 발달장애인 직원을 위한 
고용주 인식개선 21.8%, 근무시간, 작업환경의 개인별 조정 21.7% 순으로 
나타났다. 둘째, 발달장애인 평생교육과 관련하여 프로그램 개선방안을 살
펴보면, ‘평생교육을 위해 특수교사나 직업재활사, 사회복지사 등이 배치

6) 강정배·김동기·박광옥·유경민·김현지, 「발달장애인 주간활동서비스 맞춤형 급여

체계 연구」, 보건복지부·한국장애인개발원, 2000.

7) 조향숙·김민경·최미영·정영규, 「팬데믹 시대 발달장애인의 생활실태와 서비스 욕

구변화 연구」, 울산광역시발달장애인지원센터·사랑의 열매, 2021.

8) 최복천·변용찬·황주희·김미옥·박희찬·심석순, 「발달장애인 통합적 복지지원체계 

구축을 위한 정책방안」, 한국보건사회연구원, 2016.


background image

351

발달장애인의 거주 서비스 욕구와 지원방안에 관한 연구┃김동기

되어야 한다’가 매우 그러함이 73.5%, ‘장애인 평생교육사가 별도로 양성
되고 배치되어야 한다’가 매우 그러함이 68.3%, ‘발달장애인 평생교육을 
위한 행정부서가 별도로 만들어져야 한다’가 매우 그러함이 67.5%, ‘비장
애인을 위한 시도 평생교육진흥원이나 시도교육청에 장애인을 위한 부서
가 확충되어야 한다’가 매우 그러함이 65.4% 순으로 나타났다. 셋째, 발달
장애인 건강유지 및 강화에 필요한 사항에 대해서 살펴보면, 정기적인 건
강검진 지원이 43.0%, 발달장애인을 위한 비만클리닉 설치 12.2%, 발달장
애인 건강증진을 위한 전문가 양성 11.6%, 발달장애인 특화서비스(치과, 
여성전문 등) 확대 8.2%, 의료진의 발달장애인에 대한 이해확대 6.6%, 주
치의 제도 도입 6.6% 순으로 나타났다. 넷째, 발달장애인의 주거와 관련
하여, 희망자녀 주거유형에 대해 살펴보면, 현재 거주하는 집 40.3%, 공동
생활가정 31.4%, 자립해서 일반 주택 13.1%, 장애인거주시설 6.6% 순으
로 나타났다. 또한, 필요한 주거지원 프로그램에 대해 살펴보면, 영구임대
주택 입주우선권 부여 32.3%, 주거비 보조 14.3%, 주택구입자금 저리융자 
13.3%, 장기전세주택 입주우선권 부여 10.8%, 국민임대주택 입주우선권 
부여 10.3% 순으로 나타났다. 

그리고 발달장애인의 자립생활지원 방안 연구(김성희 외, 2013) 분석결

과를 살펴보면, 사회나 국가에 바라는 요구사항의 경우 소득보장 46.6%, 
의료보장 15.6%, 고용보장 12.6%, 주거보장 8.8%, 보욕·교육보장 6.1%, 장
애인인권보장 4.2% 순으로 나타났다. 

지금까지 발달장애인의 지역사회 거주서비스에 대한 욕구를 살펴본 결

과, 소득, 의료, 고용 및 주거에 대한 욕구가 상대적으로 강함을 알 수 있으
며, 추가적으로 활동지원, 주간활동서비스와 같은 돌봄 및 낮 활동 지원 서
비스에 대한 욕구도 강함을 알 수 있다. 그리고 코로나 19와 같은 감염병 발
병 시, 발달장애인 특성에 맞는 맞춤형 지원에 대한 욕구도 강함을 알 수 있


background image

352 

지식과 교양 Vol. 13

다. 하지만 이와 같은 발달장애인과 가족의 지역사회 거주서비스 욕구를 
충족시켜줄 수 있는 지역사회 기반 서비스는 상대적으로 매우 부족함을 알 
수 있다.

3. 초점집단인터뷰 분석결과

1) 초점집단인터뷰 개요

발달장애인의 지역사회 거주지원 서비스에 대한 좀 더 실제적인 내용

을 확인하기 위해 본 연구에서는 대전광역시에 거주하면서 발달장애인 자
녀를 양육하고 있는 5명의 부모를 대상으로 초점집단 인터뷰를 실시하였
다. 인터뷰는 2021년 7월 28일에 2시간 정도 진행되었으며, 본 초점집단 인
터뷰에 참여한 부모가 양육하고 있는 발달장애 자녀의 일반적 현황을 다음
의 [표 1]과 같다.

[표 1] 인터뷰 참여자 일반적 현황

구분

참여자

자녀

성별

연령

성별

연령

장애유형 장애등급9)

참여자 A

50대

20대

자폐성

1급

참여자 B

60대

30대

지적

2급

참여자 C

60대

30대

자폐성

1급

참여자 D

50대

20대

자폐성

1급

참여자 E

50대

20대

지적

1급

그리고 본 초점집단 인터뷰에서 확인하고자 하는 핵심 질문은 다음의 

[표 2]와 같다.

[표 2] 인터뷰에서 확인하고자는 핵심 질문

핵심

첫째, 발달장애 자녀 돌봄과 관련하여 겪는 부담 및 어려운 점이 무엇

인가요?(교육, 치료, 주거, 일상생활, 돌봄, 미래계획, 고용, 안

전 등 현재 삶에서의 전반적인 돌봄 관련 부담 및 어려움)

9) 2019년 7월 장애등급제 폐지 이전의 장애등급임.


background image

353

발달장애인의 거주 서비스 욕구와 지원방안에 관한 연구┃김동기

질문

둘째, 현재 지역사회에서 발달장애 자녀 돌봄 관련 이용하고 있는 공

공 및 민간지원(급여 및 서비스 등)에 대한 문제점은 무엇인가

요?

셋째, 발달장애인의 지역사회 자립적인 삶을 위해 필요한 거주지원 

서비스는 무엇이라고 생각하십니까? 즉, 향후 발달장애인이 거

주시설에 입소하지 않고 현재 자신이 살고 있는 집에서 평생 살

아가기 위해 필요한 거주지원 서비스는 무엇이라고 생각하십니

까?(교육, 치료, 주거, 일상생활, 돌봄, 미래계획, 고용, 안전 등 

전반적인 거주지원 관련 필요한 지원방안)

2) 분석 결과

(1) 발달장애 자녀 돌봄과 관련하여 겪는 부담 및 어려운 점
발달장애 자녀 돌봄과 관련하여 겪는 부담 및 어려운 점으로는 첫째, 자

녀의 도전적 행동이 나타났다. 발달장애 자녀가 원하는 것을 들어주지 않
거나 관심을 받고 싶을 때 침 뱉기, 소리 지르기, 노상방뇨, 폭력성 등과 같
은 도전적 행동이 자주 나타나기 때문에 참여자들이 이와 관련된 어려움을 
많이 호소하였다.

“지금 제일 어려운 게 침을 뱉어서... 그러니까 의사표현이 잘 안 되기 때문
에 어렸을 때 언어치료 받았던 “네” 하던 게 습관이 되어서 “네” 하면서 침
이 나오고 조절을 잘 못 해서, 지금은 화가 나면 일부러 침을 뱉어버리는 것 
때문에 굉장히 가족들이 스트레스를 받고.... 요즘은 아주 위급한 상황 속에
서 지나가고 있는데 발을 동동 구르고 소리를 지르고 굉장히 다이나믹하게 
표현을 해요. “씻으러 가자.”라고 해도 잘 안 되거든요. 양치랑 대변도 다 
도와줘야 하거든요. 저희가 피곤할 때 “혼자 해”라고 하면 소리를 빽 지르
고. 안 그러면 침 뱉어버리고.(참여자 E)”

“현재로서는 성인이 되었잖아요. 덩치도 크고. 어디를 같이 다니면 소변을, 
그런 개념이 없으니까 아무 곳이나... 지금 오줌 마려워하면 그냥 내리고서 
누는 거예요. 근데 그게 순간 이루어져요. 그래서 우리가 어떻게 손 쓸 방법
이 없이 순간 이루어지니까, 뭐가 안 되는 거예요. 사람들 시선은 저렇게 큰 
애가 그렇게 하고 있으니까 얼마나 주변 사람들한테는 따가운 시선이에요, 
그분들도 알겠지만... 나도 모르게 예를 들어 ‘쉬가 마려워’하면 구석으로 
가든 뭘 하든 되는데 그런 개념이 없어져서 그런 게 생겼어요. 정신과 병원
에 가서 얘가 요새 이렇다, 그랬더니 의사 선생님 말씀이 관심을 받고 싶어


background image

354 

지식과 교양 Vol. 13

서 그런 거래요. 제가 얘 하나만을 관심을 주고 집중하고 있는데 얼마나 더 
줘야지 없어지는 거냐고, 속이 터져 가지고 주변에서 얘만 계속 쳐다보고 
있잖아요...(참여자 D)”

“저도 살 때문에 줄이려고 했는데 그러면 또 폭력성이 심하니까 차라리 그
냥 편안하게 살이 찌는 게 낫다 싶더라고요...(참여자 A)”

둘째, 발달장애 자녀 돌봄과 관련하여 자녀들이 성장하면서 집착으로 

인해 판단력이 흐려지고 통제가 안 되는 상황에 직면하는 것이 힘들다고 
호소하였다. 즉, 발달장애인의 특성 상 한 가지 사물 또는 상황에 집중하게 
되면 그 행동이나 패턴을 지속하려는 성향이 있는 데, 이와 같은 상황이 자
칫 타인에 대한 인권침해 또는 성추행 등과 연결될 수도 있고 또는 가족의 
신체적․심리적 부담 가중과 자신의 건강을 해칠 수도 있기 때문에 어려움
을 호소하였다.

“그래서 지난번에는 아파트에서 어린 친구들 보면 좋아서 이렇게 껴안으려
고 하는데 혼자 내보냈거든요. 할머니 하고 유치원 다니는 손녀가 가면서 
우리 아이가 목을 조르려고 했다고 관리사무소에 신고를 해버린 거예요. 
그래서 제가 일을 하다가 가서 CCTV 확인을 하고 위에 올라가서 경찰에 신
고하려고 했다고 하더라고요. 그래서 위에 올라가서 말씀을 드렸어요. “우
리 아이 특성이 이렇습니다. 그렇게 오해하실만하고 그렇지만 우리 아이가 
좋아서... 목을 조르려고 아니면 뽀뽀를 하려고 그런 건 아니다.” 사실 뽀뽀
하려고도 해요. 윗층 할머니, 부모님 찾아가서 정중하게 사과드리고 이런 
특성이 있다 이야기하니까 이해를 해주셔서 넘어갔거든요. 시야 안에 있을 
때는 통제를 할 수 있지만 제 시야에서 벗어나서 그런 행동을 했을 때는 완
전히 성희롱, 성추행범으로 몰릴 수밖에 없는 그런 입장에 처할 일이 많을 
것 같아서 이런 것들을 어떻게 이해를 시켜야 하는지. 이게 자주 반복되게 
되면 혼을 내게 되는. 설명하고 하다가도 “안 돼! 하지 말랬잖아.” 하면 바
로 침 뱉어버리고 소리 지그고....(참여자 B)”

“저는 일요일 날에 꼭 물을 끓여서 사발면을 갖고 산을 가야 해요. 지금은 
시간대가 정해져 있지는 않았어요. 편안한 때. 심할 때는 아침 9시에 무조
건 출발을 해야 해요. 생각해보세요. 일요일마다 아침 9시에 나가야 된다
는 게, 매주 그 짓을 하려면 스트레스 받아요. 차라리 12시에 나갔으면 좋겠


background image

355

발달장애인의 거주 서비스 욕구와 지원방안에 관한 연구┃김동기

다, 근데 무조건 아침 9시에 나가야 해요. 안 나가면 뭐가 꼭 깨지고.. 매주 
그 시간에 나가야 하니까 저희 부모는 너무 힘든 거예요. 걔는 아침 6시에 
눈을 뜨든 5시에 눈을 뜨든 물을 끓여요. 커피포트에 물을 담아놓고 가방을 
다 챙겨놔요. 마실 물, 종이컵... 준비 다 하고 옷까지 다 입고 기다리고 있
죠. 우리 눈치 보면서...(참여자 A)”

“얘는 꼬마 남자애들. 초등학교 1, 2학년 남자애들을 좋아해요. 사진 찍는 
걸 좋아해요. 한밭도서관을 갔는데 도서관 화장실 앞에서 애들을 찍다가 
부모님 앞에서 걸렸나 봐요. 남자 화장실 앞에 나오는 애들이 예쁘니까 찍
은 거예요. 불려갔죠. 미안하다. 일반인들은 이해가 안 될 거 아니에요. 사
정사정해서 결국 통제를 하고 왔는데. 지나가다가 애들이 있으면 사진을 
찍고 싶은가 봐요. “안된다. 큰일 난다.” 그렇게 각인을 시키지만 쉽지 않아
요. 내보내기도 어렵고....(참여자 C)”

셋째, 발달장애 자녀의 비만으로 인해 건강관리에 어려움을 호소하였

다. 즉, 폭력성과 같은 도전적 행동을 줄이기 위해 신경안정제를 사용하는 
과정에서 발생하는 부작용 중에 하나로 자녀들에게 비만의 문제가 생겨서 
이로 인한 건강관리의 어려움을 호소하였다.

“아침에 눈 뜨면 신경 안정제를 먹거든요. 잠도 많이 안 자니까, “일어나자
마자 약 주세요.” 그래서 약 먹고, 닦고. 오늘 입고 나갈 옷을 챙겨 놓고 나
오거든요. 그 순서가 있어요. 예전에는 면도도 직접 했는데 살이 찌고 나서
는 “면도 주세요.” 그래요. 원하는 게 있으면 뭐든지 “주세요”라고 해요. 신
경 안정제를 먹으니까, 몸이 이렇게 되는 거예요. 먹는 양은 없어요. 근데 
그 약의 부작용이 살찌는 거더라고요. 저도 살 때문에 줄이려고 했는데 그
러면 또 폭력성이 심하니까 차라리 그냥 편안하게 살이 찌는 게 낫다 싶더
라고요....(참여자 A)”

“저는 아들이 29살, 자폐성 장애 1급이요. 고등학교 때 욱하는 게 생겨서 갑
자기 책상도 던지고 이래서, 정신과 약을 먹으면서 살이 엄청 찌더라고요. 
컴퓨터를 엄청 좋아해서 그런 걸 하고 있는데 조금 약을 먹으면서 그 공격
성은 많이 자제가 되었는데 살이 쪘다는 거...(참여자 D)”

넷째, 새로운 환경 및 상황변화에 대해 이해시키는 것이 어렵기 때문에 

그로 인해 직면하게 되는 돌발적 상황에 대한 대처에 대한 어려움을 호소


background image

356 

지식과 교양 Vol. 13

하였다.

“네, 저는 아까 말씀드린 것처럼, 그런 부분이고요. 침 뱉는 거. 도전적인 행
동들. 그리고 코로나 상황에서도 그렇지만, 그렇지 않은 상황에서도 사람
을 만나면 친밀감을 나타내기 위해서 악수를 한다든지 아는 척을 하고 인사
를 하고. 가서 포옹도 하고 악수도 하고 그러면 끌어안고 하는 게 어렸을 때
부터 그랬거든요. 그런데, 이제는 성인이 되니까 그렇게 할 수 없고 지금도 
코로나 상황이니까 그럴 수 없는 상황이잖아요. 그게 나중에는 성희롱으로 
오해를 받게 되는 경우가 있었어요. 그래서 이런 것들을... 본인은 성적인 
접근이 아니고 친밀하게 접근하는 건데 어떻게 이해를 시켜야 하는지... 처
음에는 “허그는 안돼.”, “껴안는 건 안돼.” 하고 악수하라고 했는데 요즘에
는 악수도 안 되는 거잖아요. 그런 것들을 이해시키는 게 진짜 어려운 거 같
아요...(참여자 B)”

마지막으로, 발달장애 자녀를 양육하는 과정에서 발생하는 배우자와의 

갈등, 가족 안에서의 갈등과 함께 아버지로서 발달장애 자녀를 양육하는 
과정에서 접하게 되는 요리와 같은 새로운 역할에 대해 어려움을 호소하였
다.

“이어폰을 꼭 끼고 다녀야 하고, 티비 소리 같은 것도 싫어해가지고 아빠 
하고도 좀 부딪쳐요. 아빠는 내가 집에서 티비 하나 제대로 못 보냐. 저는 
‘애가 싫어하면 꺼라’, 아빠는 ‘내가 일 열심히 하고 와서 티비 좀 한 번 보려
고 하는데 이것조차도 집에서 못하게 하냐’ 이렇게 사소하게 별거 아닌 것 
갖고도 다툴 때가 있고. 애는 그런 소리에 민감하니까 짜증 내고...(참여자 
D)”

“저는 아들이 있고요, 연령은 30세. 장애는 자폐성 장애고 1급이었어요. 지
금은 000보호작업장. 저 나름대로 어려운 게, 너무 안 오니까 내가 피곤한 
거예요. 내가 케어를 할 수 없잖아. 제가 살림도 하고 애 케어도 해야 하고 
직장도 가야 하고 하니까 이게 굉장히 힘들더라고요. 남자가 또 남자를 케
어하려니까, 요구사항도 많고, 가고 싶은 곳도 많고 먹고 싶은 것도 많은데 
제가 해줄 수가 없잖아요. 집에 오면 또 그게 힘들어요. 옛날에 주부들이 하
는 얘기가 오늘 저녁 반찬 뭐하지 하듯이 제가 그 경유가 되니까, 이해를 하
겠더라고요. 아 진짜 남자로서 한다는 게 보통 힘든 게 아니더라고요...(참
여자 C)”


background image

357

발달장애인의 거주 서비스 욕구와 지원방안에 관한 연구┃김동기

그 밖에 지역사회에서 이용할 수 있는 프로그램이 적은 점, 언어적 의사

소통이 어려운 점, 지역사회가 발달장애에 대한 이해가 부족한 점, 발달장
애인에 대한 전문성이 있는 의료기관이 부재한 점, 부모 사후 돌봄 문제 등
을 추가적으로 발달장애 자녀를 양육하면서 직면하게 되는 어려움으로 호
소하였다.

(2) 현재 지역사회 공공 및 민간자원에 대한 문제점
현재 지역사회에서 이용하고 있는 발달장애인에 대한 공공 및 민간자

원의 문제점에 대해 살펴보면, 첫째, 활동지원 시간의 부족함을 제기하였
다. 즉, 활동지원시간의 경우 필요한 만큼 맞춤형으로 제공해야 함에도 불
구하고 그렇지 못한 부분에 대해 문제제기하였다.

“발달장애인들은 시각이나 지체보다 인지 능력이 떨어지니까. 예전에 미국 
방송 보니까 24시간 케어가 있더라고요. 그분도 지체 장애였는데 활동 지
원사가 와서 음식, 청소 싹 하고. 미국은 그렇게 할 수 있더라고요. 그런데 
우리 애들은 지금 활동 지원사 분이 해주는 거로는....(참여자 A)”

“아예 시간을 아이에 맞춰달라는 거죠. 균등하게 주지 말고 필요한 만큼만. 
만약에 이동시간은 이동만 하면 이동시간은 많이 필요 없잖아요. 근데 무
조건 다 균등하게 줘버리니까. 많이 필요하면 그때는 또 부족한 거고. 불필
요할 때는 ‘너무 많네’ 이렇게 되잖아요...(참여자 D)”

둘째, 서비스 제공기관이 발달장애인을 선별적으로 선정 및 서비스를 

제공하는 점에 대해 문제제기 하였다. 즉, 장애인거주시설, 장애인복지관, 
직업재활시설 등 지역사회 민간기관들의 경우 발달장애인에 대한 서비스 
적합성 심사를 할 때 발달장애인에게 이 서비스가 필요한 지를 확인하는 
것이 아니라 도전적 행동이 조금이라도 있으면 원칙적으로 서비스 제공을 
거부하는 것에 대해 문제제기를 하였다. 뿐만 아니라, 서비스 제공기관에 
종사하는 사회복지사와 활동지원사 등 제공인력이 상대적으로 경증 장애
인을 선호하고 중증장애인을 거절하려는 성향 또한 문제제기 하였다.


background image

358 

지식과 교양 Vol. 13

“탈시설화되고 지금 성인이 되면서 시설을 보내려고 몇 군데 견학을 했어
요. 그런데 사회복지사 분과 면담할 때 ‘악’하고 소리를 질렀거든요. 그랬더
니 폭력성이 있다고 우리 시설에 입소가 안 된대요. 비수급자 그런 걸 떠나
서 폭력성이 있어서 안 된대요. 폭력성의 기준이 뭐냐고 그랬더니 ‘소리를 
지르고 그래서 그렇다.’ ‘그거는 의사 표현 아니냐.’고 낯선 곳에 와서 라운
딩을 하려는데. 우리 애는 라운딩이라는 말도 잘 못 알아듣고. “그냥 한 바
퀴 돌아보자.”라고 표현했으면 그 말이 무슨 말인지 알아들었을 텐데. 자기
가 싫어서 소리를 확 지른 건데 그걸 폭력성이라고 하면 납득하기가 어렵다
고 말씀드렸는데, 그런 거 때문에 입소가 안 된다고 거절당했어요. 아이는 
포기를 한 상태죠...(참여자 E)”

“00장애인복지관 다니다가도 애가 소리 지르고 선생님 한 번 했다고 저한
테 그만뒀으면 좋겠다고 해서 그만두고 나온 사람이에요. 너무 화가 나더
라고요. 장애인인데 그럴 수 있잖아요. 어떻게 애들 갖다가 때린 것도 아니
고. 소리 한 번 질렀다고. 선생님이 놀랬대요. 놀랠 수 있죠.....그리고 어떤 
아이가 신체가 조금 심했어요. 시설에 전화를 했어요. 2명이 부족하니까 더 
와달래요. 2명을 더 채워야 고용이 되니까 빨리 와달라고. 가니까 그 애 외
모를 본 거예요. 지체니까 손이 많이 가잖아요. 갑자기 반대로 얘기하는 거
예요. 얘 하나 때문에 또 채용을 해야 한 대요. 그래서 안 된대요. 그러니까 
복지사들도 내가 편해야 하는 거예요. 8시간 일하고 월급 받는데 힘든 거
예요. 차라리 안 채워주는 게 자기한테는 낫다. 왜 그렇게 사람이 이중적인
지..(참여자 A)”

셋째, 현재 지급되는 장애인연금으로는 일상생활유지에 필요한 비용

을 충당할 없는 점을 문제제기하면서, 향후 부모 사후에 어쩔 수 없이 소득
보장을 위해서 자녀를 기초수급자로 만들 수밖에 없는 현실을 한탄하였다. 
즉, 현재 중증장애인의 소득보장과 장애로 인한 추가비용 보전을 위해 지
급되는 장애인연금 액수가 너무 낮기 때문에 주간보호센터 이용료, 바우처 
자부담 등과 같은 일상생활에 필요한 비용을 충당하기에 너무 턱없이 부족
하기 때문에, 향후 부모 사후에는 기초수급비를 수령할 수 있도록 자녀들
을 기초수급자로 만들 수밖에 없다는 것이다.

“사립으로 갔을 때 장애인 연금 받고 이걸로 주간 보호 이용료 내고 바우처 
자부담 내면 모자라거든요. 그러면 현실적으로도 정부 지원금으로는 우리 


background image

359

발달장애인의 거주 서비스 욕구와 지원방안에 관한 연구┃김동기

아이가 생활할 수 없는. 생활비 빼고 자기 식자재 빼고. 자기가 다니는 이용 
기관의 비용, 이용료만으로는 부족하다는 거죠....(참여자 E)”

“지금 제가 없을 때 혼자 산다고 하면 지금 연금으로는 어림도 없고요..(참
여자 D)”

“장애인들한테 하려면 정말 장애인한테 줘서 그걸 알아서 써야 하는 건데. 
그게 안 돼. 우리 엄마들이 하는 얘기가 “우리는 할 수 없어. 수급자로 만드
는 수밖에 없어.” 이렇게 얘기하거든요. 얘들한테는 재산도 남겨줄 필요가 
없어...(참여자 B)”

넷째, 장애인거주시설, 직업재활시설 및 공동생활가정 등 장애인복지

시설의 열악한 환경을 개선할 필요가 있다고 문제제기하였다. 즉, 장애인
거주시설의 경우에는 1인 1실이 가능할 수 있는 구조로 전환되어야 하고, 
직업재활시설은 작업장 환경이 좀 더 넓고 쾌적하게 개선되어야 하며, 공
동생활가정은 1명의 원장이 24시간을 케어하는 시스템이 변경되어야 함을 
문제제기 하였다.

“저희 아들 같은 경우는 공기 좋은 곳에서 남한테 스트레스 안 받고 편안하
게 그냥 원룸 같은. 시설도 많이 가봤지만 진짜로 거기 가면은 보내고 싶진 
않아요. 제가 3~4년을 성폭행 조사 그런 거로 한 번 가서 여기저기 많이 가
봤는데요. 진짜 가면은 보내고 싶지 않았어요. 그냥 죽을 때까지 데리고 살
아야지. 근데 지금 또 와서는 문제인 거예요. 지금 데리고 살다 보니까 거기
를 보내면 그 환경에 적응을 못 해서 한동안은 난리가 나겠구나. 진짜 머리
가 복잡해요. 이것도 아니고 저것도 아니고. 시설이 마음에 안 드는 게 첫 
번째가 내 방이 없다는 거였어요. 남자애들은 자위행위를 하잖아요. 우리 
애는 방문을 닫고 조용히 처리하고 샤워를 하고 나와요. 그런데 거기를 가
면 걔 방이 없는 거예요. 기본이 6명이더라고요. 우리 아들은 여기 오면 또 
못하겠네. 그 생각하니까, 그것도 끔찍한 거예요. 그래서 저는 원룸 같은 개
념에 조그만 방 하나씩 있고 식당에 공동으로 내려와서 먹고 사회복지사들
이 있고. 기숙사같이 그런 곳이 있었으면 좋겠어요. 먼 거리든 도시든...(참
여자 A)”

“지금 작업장을 다니잖아요. 부모의 직할로 이렇게 하긴 하지만 작업장이 
엄청 협소해요. 그럼 그걸 민간한테 떠넘기지 말고 국가에서 보조해서 작


background image

360 

지식과 교양 Vol. 13

업장을 넓게 쓸 수 있게 그런 보조 좀 해줬으면 하는 건의 좀 합니다. 면적
이 너무 작은데, 코로나 이런 것도 있지만 애들도 환경이 좋아야 자기들이 
가고 싶어 하는 마음이 생길 거 아니에요...(참여자 C)”

“대전이 개인 시설이 제일 많아요. 원장님들이 잘못한다는 게 아니야. 원
장님들은 사명이 있으니까 하는 건데 개인 시설이 열악하잖아요. 그렇다고 
개인 시설을 갖다가 국가에서 돈을 줘서 시설을 어떻게 해라, 저도 창피하
지만, 우리가 법인시설. 사단법인시설, 재단법인 시설 넓힐 텐데 못하는 게 
대전이 개인 시설이 제일 많아. 대전이 제일 많아 그러는 거예요. 그래서 어
떤 사람은 대전이 개인 시설 내기 좋다고 이사 오는 사람도 있는 거예요. 근
데 개인 시설 전체가 너무 열악하니까 공동생활가정은 탈시설이 되어야 한
다 이렇게 생각하는 게 저는 절대 공동생활가정의 원장 하나가 24시간 보
는데, 원장이 힘들어 죽겠는데 그 안에 있는 친구들이 행복할 리가 있어요? 
없잖아요...(참여자 B)”

다섯째, 활동지원제도의 경우 가족에 의한 활동지원을 원칙적으로 금

지함과 동시에 가족에 의한 활동지원제공 시 급여를 50% 차감하는 것에 
대해 문제제기 하였다. 즉, 발달장애인에 대한 활동지원에 있어서 가족에 
의한 활동지원을 원칙적으로 인정함과 동시에 급여를 50% 삭감하지 말고 
100% 전부를 지급해야 함을 문제제기 하였다.

“제가 가족에 대한 활동 지원을 받고 있거든요. 작은 애가 나가지를 않잖
아요. 내가 이거는 끝까지 간다 하고서는 끝까지 해본 거예요. 우리 남편
이. 퇴직을 했으니까. 근데 50%예요. 24시간을 케어를 하는데 50%. 60시
간을 주는 거예요. 말도 안 되는 거예요 이거는. 그래서 내가 이거를 해보니
까 더 말도 안 되네? 이런 생각을 하고. 그거 하느라 더 힘이 들어요. 교육받
은 사람이 해야 되잖아요. 또 보수 교육 받고 이래야 하잖아요. 그것도 짜증
을 내요 남편이. 만약 180시간이면 엄청 나오는 거잖아요. 발달 장애인. 그
러면 90시간밖에 못 하는 거야. 그러면 활동 지원사를 쓰는 게 낫겠다는 생
각을 하는데 가족 지원을 허용을 하려면 제대로 되어야 해요. 줘도 모자른
데. 오죽하면 가족 지원을 한다고 하겠어요. 나도 좀 쉬고 싶고 활동 지원사
가 그때 와서 잘하는 게 좋지, 오죽하면 내가 얘를 케어한다고 하겠냐고. 코
로나도 그렇고 애가 덩치는 큰데 나가지는 않고 남자보고 들어 와서 살림
을 하라고 하기는 그렇고, 케어를 하라는 것도 그렇고 여자 선생님 보고 와
서 하라고 해도. 가족밖에는 없다. 50%를 하면 가정한테는 아니라는 거예


background image

361

발달장애인의 거주 서비스 욕구와 지원방안에 관한 연구┃김동기

요...(참여자 B)”

그 밖에 지역사회 공공 및 민간 자원을 이용하면서 겪는 문제점으로 기

관 서비스의 경우 이용기간이 정해져 있는 점, 활동지원사의 전문성이 부
족한 점, 활동지원제도 2년마다 갱신하는 번거로움 등을 제시하였다.

(3) 필요한 거주지원 서비스
발달장애인의 지역사회 자립적인 삶을 위해 필요한 거주지원 서비스에 

대해 살펴보면, 첫째, 발달장애인 삶에 대한 지원을 국가가 책임지는 자세
가 필요하다는 것이다. 즉, 발달장애인 국가책임제를 실시하여, 발달장애
인이 지역사회에서 자립적으로 안전하게 살아갈 수 있도록 환경을 국가가 
책임지고 조성해야 한다는 것이다.

“며칠 전에 세종 보건복지부 앞에서 하얀 소복 입고 백여 명이 데모를 해
요. 발달 장애인 부모들. 발달 장애인들은 무조건적인 시설 폐쇄는 안 된
다. 나중에는 그게 다 부모 책임이잖아요. 죽어나가는 게 그렇게 해서 죽어
나가는 거다 부모가. 이해가 되는 면도 있고, 그래서 저는 이런 생각을 하는 
거예요. 아이, 노인은 어느 정도 국가 책임이 가잖아요. 근데 왜 장애인은 
국가책임제가 안 되냐. 저는 예를 들어서 우리 애들이 탈시설화해도 이 엄
마들이 말하는 탈시설은 다 신체장애에 맞춰져 있다. 그 사람들은 탈시설
화해도 충분히 살잖아요, 머리가 되니까. 그런데 우리 발달장애인들은 탈
시설화하면 지역에 기반이 없으니까, 그 책임은 고스란히 가족이 져야 한
다, 이렇게 얘기를 하는데 저는 그래서 탈시설화를 할 때 만약 내가 살던 집
을 얘한테 주는 게 아무리 생각해도... 그래서 그냥 제일 좋은 건 내가 쓰던 
집을 국가에다가 준다는 거예요. 어디 시설 이런 데는 내가 못 믿으니까. 국
가에서 관리를 해라. 애들은 한 명이 살든, 두 명이 살든...(참여자 B)”

둘째, 발달장애인의 의사소통을 증진시킬 수 있는 표준화된 매뉴얼 개

발이 필요한 것으로 제시되었다. 즉, 발달장애인, 특히 중증발달장애인의 
경우 타인과의 의사소통에 상당한 제약이 있기 때문에 의사소통이 보다 원
활하게 이루어질 수 있도록 표준화된 매뉴얼을 개발할 필요가 있다고 제안
되었다.


background image

362 

지식과 교양 Vol. 13

“우리 애들이 의사소통이 안 되는 거잖아요? 그래서 저희가 항상 생각하는 
게 우리가 표준화된 의사소통 관련해서 뭐를 만들자. 기구를. 그림이 됐든, 
뭐가 됐든. 지금 보면 도전적 행동이 나오는 것도 자기가 소통이 안 된 거
야. 어떻게 보면 누가 누구를 때리거나 이런 행동 나오는 것도 최소한의 자
기의 의사소통이라고 생각하거든요...(참여자 B)”

셋째, 발달장애인 기능 상태에 맞는 수준별 학습 자료와 평생교육을 강

화시킬 필요가 있다고 제안되었다. 즉, 발달장애인의 의미 있는 낮 활동을 
지원하는 차원에서 집에서 할 수 있는 수준별 학습자료 개발과 함께 발달
장애인의 평생교육을 좀 더 체계적으로 제공할 수 있는 전달체계가 마련되
어야 한다는 것이다. 특히 코로나 19와 같은 감염병 상황에서는 지역사회 
기관들을 이용할 수 없기 때문에 집에서 할 수 있는 다양한 시청각 학습 자
료의 개발이 더욱 요원하다.

“근데 지금 이런 상황에서는 굉장히 많은 어려움이, 집에 있으면서 복지관
에 못 다니고 있잖아요. 집에 있는 시간이 뭔가를 해야 하는데, 노트북을 주
고 탭을 주고 해도 다 망가뜨려 버려요. 핸드폰 잭을 꽂는다고 소근육이 안 
되어 있다 보니까 시도하다가 다 고장 나고. 몇 대를 망가뜨려서 제공할 수
가 없는 거예요. 지금 유일하게 하는 게 200 피스 퍼즐 맞추기를 하고 있거
든요. 2~3시간 정도 같이 하고 있는데. 좀 수준에 맞는 학습자료를 제공해
주셨으면 좋겠다. 뭔가 할 거리를 제공해주셨으면 좋겠다는 생각이 들었어
요. 코로나가 아니어도 24시간 티비를 볼 수만은 없잖아요. 뭔가 할 수 있는 
학습이든 놀이든 뭔가 할 수 있는. 저희는 막연하게 이거 조금 해보고 저거 
조금 해보고 그러고 있거든요. 체계적인 프로그램, 학습자료가 있다면 거
기에 맞춰서 우리 아이 수준에 맞게 학습을 한다든지. 어렸을 때 다 했던 것
들이지만 지금은 안되니까. 한 개라도 써보고 훈련해보고. 운동을 하는 것
도 그런 거 같아요...(참여자 E)”

“자녀가 혼자 산다면 평생교육원이라던가, 다양하게 프로그램이 있어야 될 
거 같아요. 주간 보호도 언제까지 주간 보호를 할 것인지. 아마 제가 없으면 
50대 이상인데. 그러면 이제 노인이 되는 거잖아요. 그 나이에 맞는... 한마
디로 복지관이나 그런 것처럼 낮에도 뭔가를 해야겠죠. 24시간 집에만 있
는 건 아니니까. 시설이 좋고 나쁘고를 떠나서요...(참여자 A)”


background image

363

발달장애인의 거주 서비스 욕구와 지원방안에 관한 연구┃김동기

넷째, 발달장애인의 소득보장을 강화할 수 있는 제도가 보완되어야 할 

것이다. 즉, 현재의 장애인연금만으로도 부모사후에 안정적인 소득지원이 
이루어질 수 없기 때문에 발달장애인에 대한 추가적인 소득보장체계를 구
축할 필요가 있다. 그렇지 않으면, 발달장애인의 경우 대부분 부모사후에 
기초수급자로 전락할 수 밖에 없는 현실이기 때문에 더욱 그러하다는 것이
다.

“연금 받아서는 해결이 안 된다는 거예요. 아파트 임대료 내야지, 먹어야
지, 그게 연금으로는 안된다는 거예요. 그걸 방송에서 봤거든요. 그게 진짜 
살 곳도 없고, 연금 받아서 한 달 임대료도 못 내고...(참여자 A)”

다섯째, 발달장애인 전문 의료기관 확충 및 의료서비스의 전문성을 강

화시킬 필요가 있다. 발달장애인의 특성 상 병원에 안 가려는 성향이 강하
기 때문에 발달장애인에 대한 감수성과 전문성이 강한 의료기관과 함께 행
동발달증진센터를 점차적으로 확대시켜야 한다는 것이다.

“자폐 애 중에 죽어도 못 가는 애들도 있거든요. 우리 애도 그중에 한 명이
에요. 여기도 못 올 뻔했어요. 어제 갑자기 하루 종일 자고 밥을 왕창 먹이
니까 급체를 한 모양이더라고. 걔가 아프면 약 달라고 하거든요. 어지간히 
약 달라는 소리를 안해. 병원 갈래? 하면 병원을 절대 안 가는데, 약 줘? 하
면 “약 줘.” 약 달라고. 얘가 어지간히 아프구나. 어디가 아프냐. 여기가 아
프다. 내가 두드릴게. 도대체 내가 어디가 아픈지를 모르니까. 정말 발달장
애인들은 재가병원 서비스가 중요하다. 그리고  우리가 발달장애인 행동발
달증진센터 같은 거 했는데, 전국에 한 10개 정도 있죠? 대전으로 올려보내
라는 거에요. 00병원이 올라와 있다고 하더라고요. 00병원에 신청을 했는
데 떨어진 거예요. 심사기준에 안 맞은 거죠. 발달장애인의 전담병원이면 
갈 수가 있잖아요. 근데 지금 그런 게 없으니까. 병원의 아는 분들은 포진해 
넣을 수 없고. 그럴 능력도 안 되고. 애들이 아플 때 그게 힘들구나...(참여자 
B)”

그 밖에 발달장애인의 지역사회 자립적인 삶을 위해 필요한 거주지원 

서비스로 활동지원 시간 확대,  사회복지학과 학생 장애인복지 교육 강화, 
발달장애인 맞춤형 서비스 강화, 발달장애인 가족 쉼을 위한 단기보호 서


background image

364 

지식과 교양 Vol. 13

비스 신설 등이 제시되었다.

4. 결론 및 제언

지금까지 선행연구를 통해 발달장애인의 거주지원 서비스 욕구와 지원

방안에 대해, 그리고 대전시 거주 발달장애인 부모 5명을 대상으로 초점집
단인터뷰를 진행하여 필요한 거주지원 서비스 방안에 대한 시사점을 도출
하였다. 이상의 연구 결과를 토대로 본 연구에서 제안하는 발달장애인의 
거주지원 서비스 방안은 다음과 같다.

첫째, 일차적으로 발달장애인의 거주서비스 지원에 대한 국가책임제를 

명확하게 공포해야 할 것이다. 이전 정권의 경우, 대선 후보자 시절에 치매 
국가책임제와 발달장애 국가책임제 2개를 공약으로 동시에 제시했는데, 
2023년 현재 전국 시군구에 치매안심센터가 설치되어 치매 국가책임제 공
약이 실현되었다. 하지만, 발달장애인 국가책임제의 경우, 지난 2018년 발
표한 발달장애인 평생케어 종합대책과 현 정권에서 2022년에 발표한 발달
장애인 평생돌봄강화대책이 전부일 뿐, 그리고 종합 및 강화 대책의 경우
에도  주간활동서비스와 최중증 통합돌봄 서비스를 제외하면 나머지는 기
존에 있던 사회서비스를 다시 한 번 종합적으로 정리한 것 이상의 의미가 
없을 정도로 그 내용과 수준이 빈약하다. 따라서 향후 일차적으로 다시 한 
번 국가책임제를 정부가 선언 및 공포하고, 이에 걸맞는 수준의 중장기 로
드맵과 함께 단기 실행과제를 개발 및 제안할 것이다.  2008년 노인장기요
양보험제도의 도입과 2023년 치매 국가책임제 실현을 통해 우리 사회가 노
인의 삶의 질 증진과 가족 돌봄 부담에 대해 국가가 원칙적으로 책임지고 
있는 것처럼, 발달장애인의 삶의 질 증진과 가족의 돌봄부담 경감에 대해 
국가가 원칙적으로 책임지는 자세를 취해야 할 것이다.

둘째, 발달장애인의 지역사회 거주지원을 위한 서비스로 주거지원이 


background image

365

발달장애인의 거주 서비스 욕구와 지원방안에 관한 연구┃김동기

우선적으로 선행되어야 할 것이다. 이는 탈시설 장애인뿐만 아니라 재가 
발달장애인도 해당되는 것으로서, 편의시설이 설치된 신규 공공임대주택 
등과 같은 공공주택 물량을 최대한 확보하여 발달장애인의 주거문제를 해
결해야 할 것이다. 또한, 주택제공과 함께 반드시 기존 공공주택의 경우 발
달장애인에게 적합한 주택개조 서비스가 병행되어야 할 것이다. 특히 감각
장애 또는 신체적 장애를 동반한 중복발달장애인의 경우에는 주거환경 안
에 장애 특성이 반영된 편의시설들이 반드시 설치되어야 할 것이다.

셋째, 발달장애인의 지역사회 거주지원을 위한 서비스로 소득보장이 

이루어져야 할 것이다. 일차적으로 발달장애인의 특성에 맞는 다양한 맞춤
형 공공 및 민간 일자리가 개발 및 제공되어야 할 것이며, 직업훈련 및 교육
이 필요한 발달장애인에게는 직종별 직업훈련 및 교육이 제공되어야 할 것
이다. 또한, 경쟁고용 및 지원고용 등과 같은 고용지원 정책을 통한 소득보
장이 어려운 중증 발달장애인의 경우에는 최대한 보호 작업장을 활용한 보
호고용을 확대해야 할 것이며, 더 나아가 발달장애인의 소득을 직접적으로 
지원해 줄 수 있도록 대안적 소득보장 프로그램이 신설되어야 할 것이다. 
또한, 부모 사후 발달장애인의 소득을 안전하게 지켜줄 수 있는 신탁제도 
또는 공공후견인 제도가 보다 활성화되어야 할 것이며, 공공후견인 제도의 
경우 개인뿐만 아니라 법인 공공후견을 좀 더 확대시키는 방향으로의 정책
적 결정과 지원이 요구된다. 특히 신탁서비스의 경우 2022년 5월부터 시범
사업을 국민연금공단과 한국자폐인사랑협회가 공동으로 진행 중에 있는
데, 향후 발달장애인에 대한 이와 같은 신탁서비스가 더욱 확대되어야 할 
것이다.

넷째, 발달장애인의 건강관리 및 도전적 행동을 지원할 수 있는 지역사

회 내 발달장애 친화병원이 보다 확대되어야 할 것이며, 이 과정에서 의료
진에 대한 발달장애 이해 교육은 반드시 병행되어야 할 것이다. 또한 아직 


background image

366 

지식과 교양 Vol. 13

17개 시도에 설치되지 못한 행동발달증진센터의 설치를 조속히 마무리하
여, 도전적 행동에 대한 체계적인 지원이 이루어져야 할 것이다.

다섯째, 발달장애인의 의미 있는 낮 활동을 지원할 수 있는 다양한 대

안적 프로그램의 개발 및 확대가 이루어져야 할 것이다. 이를 위해 일차적
으로 최소한 시도별 발달장애인 평생교육기관을 지정 및 운영해야 할 것이
며, 지역사회 시군구마다 배치되어 있는 장애인복지관을 중심으로 발달장
애인 평생교육프로그램을 강화시켜야 할 것이다. 뿐만 아니라 주간활동서
비스 급여를 확대해야 하며, 코로나와 같은 감염병이 향후 다시 재발한다
면 낮 시간 동안 발달장애인 가정에서 의미 있는 활동을 할 수 있도록 다양
한 시청각 학습 및 놀이자료가 보급되어야 할 것이다. 특히 내년 6월부터 
시행되는 최중증 발달장애인 통합돌봄서비스의 경우, 24시간 지원 모형을 
포함하고 있기 때문에 발달장애인의 거주서비스의 좋은 대안적 모델로 자
미매김할 것으로 기대된다.

지금까지 발달장애인의 지역사회 거주지원 서비스 방안에 대해 살펴보

았다. 

하지만, 무엇보다도 지역사회가 발달장애인을 수용할 수 있도록, 지역

사회 파트너로 인정할 수 있도록 발달장애인 인식개선이 선행되어야 할 것
이다. 아무리 발달장애인과 가족을 위한 다양한 거주지원 서비스가 개발 
및 제공될지라도 발달장애인의 서비스 욕구와 부모 사후 안전한 삶을 이와 
같은 거주지원 서비스만으로는 모두 해결할 수 없다. 반드시 순수한 지역
주민들을 중심으로 하는 지역사회 지원체계가 구축되어야 할 것이며, 이를 
위해 지역사회 주민들의 발달장애인에 대한 편견, 선입견, 고정관념 등이 
사려져야 할 것이다. 즉, 지역력에 의해 안전한 지역 생태계가 구축되어야 
할 것이다. 따라서 현재 진행 중인 탈시설과 탈병원의 경우 선제적으로 발
달장애인에 대한 인식개선 캠페인, 교육 등이 지역사회 내에 활발하게 이


background image

367

발달장애인의 거주 서비스 욕구와 지원방안에 관한 연구┃김동기

루어져야 할 것이다. 지역사회 주민들과 건강한 공생이 없는 지역사회 거
주는 오히려 발달장애인의 안전한 삶에 위협적인 요소가 될 수 있음을 기
억해야 할 것이다.


background image

368 

지식과 교양 Vol. 13

❚참고문헌

강정배·김동기·박광옥·유경민·김현지, 「발달장애인 주간활동서비스 맞

춤형 급여체계 연구」, 보건복지부·한국장애인개발원, 2000.

김동기, 「장애등급제 폐지, 그 이상과 현실 사이에서」, 『한국장애인복지

학』 41권, 한국장애인복지학회, 2018, 87-110쪽.

김동기·김용득·강정배·박광옥·조윤경, 『발달장애인지원센터 발전방안 

연구』, 보건복지부, 2023.

김성희·황주희·이민경·심석순·김동주·강민희·정희경, 「장애인의 자립생

활 지원방안: 발달장애인을 중심으로」, 한국보건사회연구원, 

2000.

조향숙·김민경·최미영·정영규, 「팬데믹 시대 발달장애인의 생활실태와 

서 비스 욕구변화 연구」, 울산광역시발달장애인지원센터·사랑

의 열매, 2021.

최복천·변용찬·황주희·김미옥·박희찬·심석순, 「발달장애인 통합적 복지

지원체계 구축을 위한 정책방안」, 한국보건사회연구원, 2016.

Dejong, G, “Environment Accessibility and Independent Living 

Outcomes,” University Center for International Rehabilitation 

USA/Michigan State University, 1981.

Friden, L, “ILRU Source Book Huston, TX”, The Institute for 

Rehabilitation and Research, 1979.


background image

369

발달장애인의 거주 서비스 욕구와 지원방안에 관한 연구┃김동기

❚국문초록

본 연구의 목적은 발달장애인이 지역사회에서 자립적인 삶을 삶기 위

해서 필요한 거주서비스에 대한 욕구와 이를 위해 필요한 지원방안이 
무엇인지를 확인 및 제언하는 것이다. 이를 위해 발달장애인 부모 5명을 
대상으로 초점집단 인터뷰를 실시하였다. 주요 연구 결과는 다음과 같
다. 첫째, 발달장애 자녀 돌봄과 관련하여 도전적 행동으로 인한 어려
움, 건강관리가 잘 안 되는 점, 새로운 환경 및 상황변화에 대한 부적응 
및 가족 안에서의 갈등 등으로 인해 어려운 상황에 직면해 있는 것으로 
나타났다. 둘째, 발달장애인의 자립적인 삶을 위해 필요한 거주지원 서
비스로 발달장애인 국가책임제 도입, 의사소통 증진 표준 매뉴얼 개발, 
수준별 평생교육 강화, 소득보장강화, 전문적인 의료서비스 확충 등이 
제시되었다. 따라서 이와 같은 연구결과를 토대로 발달자앵인의 지역사
회 자립을 위해 필요한 정책적, 실천적 함의를 제안하였다. 

주제어 ● 발달장애인, 자립, 거주지원 서비스 


background image

370 

지식과 교양 Vol. 13

❚Abstract

A Study on the residential service needs and support 

measures of people with developmental disabilities

Kim, Dong Ki / Mokwon University

The purpose of this study is to identify and propose the needs of people 

with developmental disabilities for residential services and the necessary 
support measures in order for them to live an independent life in the 
community. To this end, focus group interviews were conducted with 5 
parents with developmental disabilities. 

The main findings are as follows. First, in relation to caring for children 

with developmental disabilities, it was found that they are facing difficult 
situations due to challenging behaviors, poor health care, maladaptation to 
new environments and changes in circumstances, and conflicts within the 
family. Second, as a housing support service necessary for the independent 
life of people with developmental disabilities, the introduction of a 
national responsibility system for people with developmental disabilities, 
the development of a standard manual to promote communication, the 
strengthening of lifelong education for each level, the strengthening of income 
security, and the expansion of specialized medical services were proposed. 
Therefore, based on the results of these studies, we proposed the policy and 
practical implications necessary for the self-reliance of the local communities 
of the developmental people.

Keyword ● Developmental Disabilities, Independence, Residential Service 

❙논문투고일:2023.10.22.❙심사완료일:2023.11.10.❙게재확정일:2023.11.28.❙


background image

371

식물의 뿌리와 하배축의 옥신 분포와 

굴중성 반응에 관한 연구

: 애기장대 유식물 모델을 중심으로*

1. 들어가며

식물은 생장 과정에서 환경으로부터 지속적인 영향을 받는다. 특히 대

부분의 식물은 특정 장소에 고착된 상태로 삶을 유지하고 있기 때문에, 다
양한 환경 조건의 변화에 적절하게 대응하고 적응하는 것이 생존과 생장
을 위해 필수적이다. 따라서, 식물은 이러한 환경 적응 과정에서 특별한 생
리 반응을 발달시켜왔고, 이 중에는 특정한 환경 자극에 대한 식물 생장의 
방향성 반응인 굴성(tropism)이 존재한다. 굴성은 특정한 환경 자극에 대
한 식물의 방향성 생장 운동(growth movement)이다. 식물의 또 다른 운
동 방식인 경성(nastic movement)은 일정한 방향성이 없다는 점에서 굴

이 상 호**

1. 들어가며
2. 실험방법
3. 실험결과 및 고찰
4. 맺음말 

목  차

* 본 논문은 2019년 목원대학교 연구년에 의해 지원받은 논문임.

** 목원대학교 생명과학부 부교수

https://doi.org/10.54698/kl.2023.13.371


background image

372 

지식과 교양 Vol. 13

성과 구분된다. 굴성은 주어지는 환경 자극의 종류에 따라 빛에 대한 방향
성 반응인 굴광성(phototropism), 중력 자극에 대한 방향성 반응인 굴중성
(gravitropism), 접촉 자극에 대한 방향성 반응인 굴촉성(thighmotropism), 
화학물질에 대한 굴성 반응인 굴화성(chemotropism) 등으로 구분된다. 또
한, 식물의 굴성 반응이 주어지는 환경 자극과 같은 방향일 때 양성 굴성
(positive tropism)이라고 하며, 혼경 자극이 반대 방향으로 나타나는 굴성
을 음성 굴성(negative tropism)이라고 한다. 

이러한 식물의 굴성을 조절하는 핵심 조절인자는 식물 호르몬 옥신

(auxin)이다. 옥신은 찰스 다윈(Charles Darwin)에 의해 굴광성을 조절하
는 화학 물질로서 그 존재 가능성이 제시된 이후, 후속 연구들을 통해 굴광
성을 포함하는 다양한 굴성 반응에서 세포신장을 조절하는 활성 물질로 밝
혀졌다.1) 식물의 줄기 정단부가 빛이 비춰지는 방향으로 굽어 자라는 굴광
성 과정에서, 줄기 정단부에서 생성된 옥신이 빛이 비추는 줄기의 반대편 
어두운 쪽으로 이동하여 세포의 길이 생장을 촉진함으로써 줄기가 빛 방향
으로 자라게 된다는 것이 현재 통설로 받아들여지고 있다.2) 

중력 자극에 대한 식물의 굴성 반응인 굴중성은 식물의 뿌리와 줄기에

서 정반대 방향성을 나타낸다. 식물의 뿌리는 중력 방향에 순응하여 아래
로 생장하는 양성 굴중성(positive gravitropism)을 나타내고, 줄기에서
는 정반대로 위를 향해 자라는 음성 굴중성(negative gravitropism)이 나
타난다. 모델 식물인 애기장대(Arabidopsis thaliana)의 종자를 발아시킨 
후, 약한 빛 조건에서 수일간 수직 방향으로 배양한 유식물(seedlings)을 식
물 생장용 고체 영양 배지에 부착시킨 후 90도(수평 방향) 회전하여 굴중성 

1) Hopkins, W. G. and Norman, P. A. Introduction to Plant Physiology, Wiley 

Textbooks, 2008.

2) Sakai, T and Haga, K. “Molecular genetic analysis of phototropism in 

Arabidopsis.”, Plant Cell Physiology, 2012, vol. 53, pp.1517-1534.


background image

373

식물의 뿌리와 하배축의 옥신 분포와 굴중성 반응에 관한 연구┃이상호

자극을 주게되면, 이후 뿌리는 아래쪽 방향으로 굽어서 생장하고, 하배축
(hyopocotyl; 떡잎 아래쪽 줄기)은 위쪽 방향으로 굽어서 생장하는 현상을 
뚜렷하게 관찰할 수 있다3)[그림 1]. 러한 현상은 식물 호르몬 옥신의 분포와 
밀접하게 관련된 것으로 생각되고 있다. 그림 1에서와 같은 중력 자극이 주
어졌을 때, 식물의 체내에서 옥신은 중력이 가해지는 방향, 즉, 기관의 아래
쪽에 분포하게 된다. 이러한 분포 양상은 중력에 의해 옥신이 위쪽에서 아
래쪽으로 이동함으로써 나타나는 것으로 생각되고 있다. 이때 뿌리에서는 
아래쪽에 축적된 옥신에 의해 아래쪽 세포들의 신장이 억제됨으로써 뿌리 
전체가 자라는 방향성이 아래쪽을 향하게 되지만, 하배축 아래쪽에 축적된 
옥신은 뿌리에서와는 반대로 아래쪽 세포들의 신장을 촉진하여 하배축이 
위쪽을 향해 생장하는 현상이 나타나게 된다.4) 뿌리와 하배축에서 정반대
로 나타나는 옥신의 세포 신장 조절 효과는 이들 기관의 옥신에 대한 민감
도의 차이, 상대적인 옥신 분포 편차 등 다양한 요인들에 기인한 것으로 생
각되고 있지만, 아직 그 분자 수준의 조절 메커니즘이 완전히 규명되지는 
않은 상태이다.

뿌리와 줄기에서 나타나는 옥신의 상반된 작용 메커니즘 규명과 관련

하여, 본 연구에서는 모델식물인 애기장대 유식물의 뿌리에서 나타나는 양
성 굴중성과 하배축의 음성 굴중성에 미치는 옥신의 분포 양상을 확인하기 
위해 DR5 분자 표지 시스템을 이용한 실험 및 분석을 수행하였다. 

3) Masson, P. H. et al. “Arabidopsis thaliana: A Model for the Study of Root 

and Shoot Gravitropism”, Arabidopsis Book, Amerecan Society of Plant 

Biologists, 2002.

4) Taiz, L.; Zeiger, E.; Mőller, I. M. Plant Physiology and Development

Sunderland: Sinauer Associates, Inc., 2015, pp.530-532. 


background image

374 

지식과 교양 Vol. 13

[그림 1] 애기장대 유식물의 굴중성 반응. A: 4일 동안 수직 방향으로 배양한 

애기장대 유식물. B: 굴중성 자극 33시간 경과 후 나타나는 뿌리와 하배축의 

굴중성(Mason, P. H. et al., 2002). 

2. 실험방법

1) 실험재료 

중력 자극에 대한 옥신의 분포 양상을 분석하기 위하여, 옥신의 분포

를 형광(fluorescence)을 통해 시각적으로 보여주는 DR5-GFP 분자 표지
시스템을 사용하였다. DR5는 옥신에 의해 발현이 촉진되는 합성 프로모터
(promoter)로서, 옥신 분포 연구에서 널리 쓰이는 분자 표지이다.5) DR5-
GFP

는 DR5 프로모터에 GFP(Green Fluorscence Protein) 암호화 유전자

를 결합시킨 형태로서, 옥신이 존재하는 식물 세포에서 녹색 형광을 발산
함으로써 식물 조직에서 옥신의 분포를 알려주는 시스템이다. 본 연구에서
는 DR5-GFP를 발현하는 애기장대 유식물을 재료로 사용하여 형광 분석 
실험을 진행하였다. 또한, 본 연구에서는 또 다른 종류의 DR5 표지 시스템
인 DR5-GUS(β-glucuronidase) 발현 애기장대 유식물을 이용하여, 굴중
성 자극에 대한 옥신 축적 양상을 정량적으로 확인하였다.

5) Ulmasov, T. et al. “Aux/IAA Proteins Repress Expression of Reporter 

Genes Containing Natural and Highly Active Synthetic Auxin Response 

Elements”, The Plant Cell, 1997, pp.1963-1971.


background image

375

식물의 뿌리와 하배축의 옥신 분포와 굴중성 반응에 관한 연구┃이상호

2) 식물 배양 조건

애기장대 유식물 종자를 1 x MS 고체 배지에서 발아시킨 후, 3일간 지

속적으로 약한 빛 조건(5 microM)에서 수직 방향으로 생장시켰다. 굴중성 
자극을 주기 위해 유식물이 생장하는 고체 배지를 90도 회전시켜 수평 방
향으로 위치시켰다. 이후 굴광성 자극에 의한 간섭을 배제하기 위해, 빛이 
없는 조건에서 배양한 후 실험 분석에 이용하였다. 굴중성 자극 후 12시간 
동안 1시간 간격으로 유식물의 뿌리와 하배축에서 굴중성 각도를 측정하
여 굴중성 생리 현상을 분석하였다.

3) 형광 분석

굴중성 반응에 따른 GFP 발현양상 변화를 분석하기 위해, 굴중성 자극 

후 3시간째에 공초점 레이저 스캐닝 형광 현미경(confocal laser scaning 
fluorescence microscopy; LSM 510; Carl Zeiss

)을 이용한 형광 분석을 

수행하였다. LSM Image Browser를 이용하여 GFP의 공간적인 발현양상
을 확인하였고, 조직 위치별 상대적인 형광 세기(relative fluorescence)는 
LSM Image Browser

와 Adobe Photoshop을 이용하여 측정하고 분석하

였다. 

4) 정량적 실시간 RT-PCR 분석

굴중성 자극에 대한 옥신의 정량적 변화를 측정하기 위해 정량적 실시

간 RT-PCR 분석(Quantitative Real Time RT-PCR analysis)를 수행하였
다. 애기장대 유식물의 뿌리와 하배축의 total RNA를 추출한 후, cDNA
를 합성하였다. 형광표지자로서는 SybrGreen Master mix를 사용하였고, 
RT-PCR

 증폭 및 분석을 위해 Chromo4 Real-Time Detector 시스템과 소

프트웨어를 활용하였다. DR5-GUS 발현량은 애기장대 Actin7 유전자의 
발현량에 의해 보정되었고, 각 실험당 6번 독립적으로 반복해서 분석하였
다.


background image

376 

지식과 교양 Vol. 13

3. 실험결과 및 고찰

1) 애기장대 유식물 뿌리와 하배축의 굴중성 반응

애기장대 유식물의 뿌리와 하배축의 굴중성 반응을 확인하기 위해, 3

일 동안 배양된 유식물에 중력 자극을 가한 후 1시간 간격으로 굴중성 각도
를 측정하였다[그림 2]. 이 때 뿌리의 양성 굴중성 각도는 수평면 기준 아래
쪽으로 꺾인 정도를 측정하였고, 하배축의 음성 굴중성 각도는 수평면 기
준 위쪽으로 꺾인 정도를 측정하였다. 뿌리와 하배축 모두 1시간 경과 시점
부터 굴중성이 확인되었으나, 굴중성 각도의 변화 양상에서는 차이가 나타
났다. 뿌리의 경우는 12시간째에 측정값이 약 71도이었고, 하배축의 경우
는 12시간째에 약 52도의 굴중성 각도가 측정되었다. 이러한 각도의 편차
는 유식물 배양 조건과 기관의 특성에 따른 굴중성 민감도의 차이가 반영
된 것으로 생각되며, 두 기관 모두 처리 시점부터 6~7시간째까지 빠르게 굽
어 자라다가 이후 점차 굴중성 각도 변화가 둔화되는 양상이 나타났다. 이
후 4일 경과 시점에서 관찰했을 때 뿌리와 하배축 모두 수직 방향으로 정상
적인 생장 반응이 나타남을 확인할 수 있었다[그림 1 참조]. 이러한 결과는 
설정한 실험 조건에서 뿌리와 하배축의 굴중성이 정상적으로 나타나고 있
음을 보여주었다. 

[그림 2] 애기장대 유식물 뿌리와 하배축의 굴중성 각도 (n=80).


background image

377

식물의 뿌리와 하배축의 옥신 분포와 굴중성 반응에 관한 연구┃이상호

2) 굴중성 형광 분석

설정된 조건에서 배양한 애기장대 유식물의 DR5-GFP의 공간적 발

현양상을 형광 현미경을 통해 확인하였다. 그림 3은 굴중성 자극을 주
지 않은 유식물(Mock)과 4시간 동안 굴중성 자극을 처리한 유식물
(Gravistimulated)의 뿌리와 줄기에서 나타나는 DR5-GFP의 발현양상을 
확인한 결과이다. 뿌리에서는 정단부에 옥신이 축적되어 강한 GFP 발현이 
확인되고 이러한 발현이 주로 중심주와 바깥의 표피 쪽으로 확산하여 나타
남을 확인할 수 있다. 굴중성 자극을 주지 않으면 양쪽 단면 사이의 발현양
상 차이가 관찰되지 않지만, 굴중성 자극을 가한 경우에는 굴중성 자극 방
향인 아래쪽 형광 발현이 더 강해지는 현상을 확인할 수 있었다[그림 3A]. 
굴중성 자극을 처리하지 않은 대조군(Mock) 하배축의 GFP 발현은 주로 중
심주(stele)에 집중되어 있고, 바깥쪽 표피층에서 약한 발현이 관찰되었다. 
이에 비해 굴중성 자극 처리군 중심주의 형광 분포 양상은 대조군과 유사
했지만, 특히 아래쪽 표피에서는 위쪽에 비해 상대적으로 강한 발현이 감
지되었다[그림 3B]. 이러한 결과들은 앞서 가설에서 제시한 것과 같이, 굴
중성 자극에 반응하여 뿌리와 하배축 모두에서 옥신이 유식물의 아래쪽(중
력이 가해지는 쪽)에 많이 분포함을 확인시켜주는 결과이다.


background image

378 

지식과 교양 Vol. 13

[그림 3] 뿌리와 하배축의 DR5-GFP 형광 분석. 3일 동안 수직 방향으로 배양

한 유식물을 90도 회전시켜 3시간 동안 굴중성 자극을 가하거나(처리군; 아래 

그림), 굴중성 자극 없이 유지시킴(대조군; 위 그림). A: 뿌리에서의 형광 발현

양상. B: 하배축에서의 형광 발현 양상(Scale bar=0.1mm).

이러한 형광 측정 과정에서 확인된 한 가지 흥미로운 관찰 결과는 뿌리

와 하배축에서 모두 굴중성 자극을 받은 아래쪽 단면의 형광이 처리군에서 
강하게 나타난 반면, 반대편 위쪽 단면의 형광의 세기는 대조군과 크게 차
이가 나타나지 않아 보인다는 것이었다. 이러한 관찰을 정량적으로 통계화
하여 확인하기 위하여 형광 현미경 분석 소프트웨어 및 포토샵 소프트웨어
를 이용하였다. 유식물 뿌리와 하배축에서 그림 4A와 같이 굴중성 자극 방
향을 중심으로 위쪽과 아래쪽(대조군의 경우는 왼쪽과 오른쪽)을 구분하여 
형광 발현 강도를 측정한 후, 이를 정량적으로 분석하였다[그림 4B]. 


background image

379

식물의 뿌리와 하배축의 옥신 분포와 굴중성 반응에 관한 연구┃이상호

[그림 4] DR5-GFP 형광 정량 분석. 3일 동안 수직 방향으로 배양한 유식물

을 90도 회전시켜 3시간 동안 굴중성 자극을 가하거나(Gravistimulated), 굴

중성 자극 없이 유지시킴(Mock). A: 뿌리와 하배축의 형광 정량 분석 부위. 

Left: 대조군(Mock)의 왼쪽 단면; Right: 대조군의 오른쪽 단면; Upper: 처리

군(Gravistimulated)의 위쪽 단면; Lower: 처리군의 아래쪽 단면. B: 뿌리와 

하배축 단면별 상대적 형광 강도 변화 (n=10). C: 뿌리와 하배축 전체 부위의 

상대적 형광 강도 변화(n=10).

실험 결과 뿌리와 하배축 모두에서 굴중성 처리군 아래쪽 단면의 상대

적 형광 강도가 대조군에 비해 유의미하게 증가함을 확인할 수 있었다. 특
히 하배축의 경우는 처리군의 아래쪽 형광의 강도가 대조군에 비해 2배 정
도 증가했음을 확인할 수 있었다[그림 4B]. 처리군이 위쪽 단면과 대조군의 
왼쪽 단면의 경우 상대적인 형광 강도의 변화가 거의 없거나 그 차이가 미
미하다는 사실을 고려할 때, 이러한 결과는 굴중성 자극을 처리한 하배축 


background image

380 

지식과 교양 Vol. 13

아래쪽 단면에 옥신의 절대량이 증가했음을 시사하는 결과라고 할 수 있
다. 실제로 굴중성 자극에 의해 옥신의 절대량이 증가했을 가능성을 확인
하기 위해, 뿌리와 하배축 전체 단면의 형광 강도를 계산한 결과, 뿌리와 하
배축 모두 일정 수준 이상으로 형광 강도 수치가 높아짐을 확인할 수 있었
고, 특히 하배축의 형광 강도 수치는 처리군에서 대조군에 비해 40% 정도 
증가했음이 확인되었다[그림 4C]. 이러한 결과는 굴중성 자극이 옥신의 이
동 및 재분포만 유도하는 것이 아니라, 최소한 처리군 하배축에서 옥신 절
대량의 증가를 유도하였음을 시사하고 있다. 

3) 정량적 유전자 발현 분석

굴중성 형광 분석 실험을 통해 관찰된 굴중성 처리군 하배축에서의 형

광 강도 증가 현상을 유전자 발현의 정량적 수준에서 확인하기 위하여, 
DR5-GUS

를 발현하는 유식물을 설정한 배양 조건에서 배양한 후, 굴중성 

자극에 따른 뿌리와 하배축에서의 상대적인 유전자 발현양상을 실시간 정
량적 RT-PCR 기법으로 확인해보았다. 그 결과 뿌리와 하배축에서 모두 4
시간째에 유의미하게 발현량이 증가함을 확인할 수 있었으며, 앞서 수행한 
형광 분석 결과[그림 4C]와 마찬가지로 뿌리에서보다 하배축에서 뚜렷하게 
DR5-GUS 발현이 전체적으로 증가했음을 확인할 수 있었다[그림 5]. 

[그림 5] DR5-GUS 유전자 발현 정량 분석. 3일 동안 수직 방향으로 배양한 

유식물을 90도 회전시켜 굴중성을 가한 후, 뿌리와 하배축에서 시간(h)에

따른 유전자 발현량 측정(n=6).


background image

381

식물의 뿌리와 하배축의 옥신 분포와 굴중성 반응에 관한 연구┃이상호

상기 결과들을 종합해보면, 식물의 뿌리와 줄기에서 상반되게 나타나

는 굴중성 반응 과정에서 옥신의 차별적인 분포 양상이 확인되었고, 특히 
하배축에서는 굴중성 자극에 따른 옥신 분포 양상의 변화뿐만 아니라 절대
적인 옥신 농도의 증가가 일어날 가능성을 확인할 수 있었다. 

4. 맺음말

본 연구에서는 식물의 굴중성 반응에서 뿌리와 줄기가 상반된 방향성 

생장을 나타내는 현상의 메커니즘을 규명하기 위한 일환으로서, 모델식물 
애기장대 유식물의 옥신 분포를 확인하는 실험을 수행하였다. 옥신 반응의 
분자 표지자인 DR5 시스템을 이용한 실험들을 통해 도출된 분석 결과는, 
굴중성 자극이 옥신의 공간적 재배분을 넘어서서, 옥신의 절대량을 증가시
킬 수 있다는 새로운 가설을 제시하고 있다. 향후 이러한 가설을 확인하기 
위한 과정에서, DR5 시스템 외의 추가적인 옥신 농도 및 반응 확인 시스템
을 개발하고 활용하는 과정이 필요하다. 또한, 굴중성에 따른 옥신의 절대
량의 변화가 어떠한 메커니즘에 의해 진행되는지를 옥신 수송, 옥신 생합
성, 옥신 신호전달 등의 관점에서 분석하는 연구가 추가적으로 진행되어야 
할 것으로 생각된다. 옥신이 굴중성 외의 다른 굴성 반응에서도 중요한 조
절인자로서 작용함을 고려할 때, 본 연구에서 적용된 실험 기법을 다른 굴
성 반응에도 적용함으로써 굴성 전반에 걸친 옥신의 조절 메커니즘을 규명
하는 연구 또한 진행되어야 할 과제이다.


background image

382 

지식과 교양 Vol. 13

참고문헌

Hopkins, W. G. and Norman, P. A. Introduction to Plant Physiology

Wiley Textbooks, 2008.

Masson, P. H. et al. “Arabidopsis thaliana: A Model for the Study of 

Root and Shoot Gravitropism”, Arabidopsis Book, Amerecan 

Society of Plant Biologists, 2002.

Sakai, T and Haga, K. “Molecular genetic analysis of phototropism in 

Arabidopsis.”, Plant Cell Physiology, 2012, vol.53, pp.1517-

1534.

Taiz, L.; Zeiger, E.; Mőller, I. M. Plant Physiology and Development. 

Sunderland: Sinauer Associates, Inc., 2015, pp.530-532. 

Ulmasov, T. et al. “Aux/IAA Proteins Repress Expression of Reporter 

Genes Containing Natural and Highly Active Synthetic Auxin 

Response Elements”, The Plant Cell, 1997, pp.1963-1971.


background image

383

식물의 뿌리와 하배축의 옥신 분포와 굴중성 반응에 관한 연구┃이상호

❚국문초록

식물 호르몬 옥신에 의해 조절되는 식물의 굴중성 반응은 뿌리와 줄

기에서 상반된 방향성을 나타낸다. 본 연구에서는 모델식물 애기장대에
서 굴중성 자극에 의해 옥신의 분포가 뿌리와 하배축에서 어떻게 변화
하는지를 살펴보았다. 애기장대 유식물 뿌리와 하배축에서 굴중성 실
험 조건을 확립하였고, 옥신의 분포를 보여주는 DR5-GFP 시스템을 이
용하여 형광 분석을 수행하였다. 굴중성 자극을 주었을 때, 뿌리와 하
배축 모두 아래쪽 단면에 옥신이 많이 분포하였고, 특히 처리군 하배축
의 아래쪽 단면에서 대조군에 비해 2배 이상 형광 강도가 증가하였다. 
또한, 굴중성 자극에 대한 하배축 전체 단면의 형광 강도 또한 대조군
에 비해 40% 증가함으로써, 옥신의 절대량이 증가했음을 시사하였다. 
굴중성 자극이 실제로 옥신 농도를 증가시켰는지 확인하기 위해 DR5-
GUS 유전자 발현을 정량적으로 확인해보았다. 그 결과 굴중성 자극에 
의해 특히 하배축에서 유전자 발현량이 뚜렷하게 증가했음을 확인하였
다. 상기 결과는 굴중성 자극이 애기장대 유식물에서 옥신의 재분포만 
유도하는 것이 아니라, 전체 옥신 농도의 증가도 일으킬 수 있음을 보여
준다.

주제어 ● 옥신, 굴중성, 애기장대, 뿌리, 하배축, DR5, 옥신 농도 


background image

384 

지식과 교양 Vol. 13

❚Abstract

Study on the Auxin Distribution and Gravitropic Response 

of Roots and Hypocotyls 

: Focused on Arabidopsis Seedlings as a Model Plant

Lee, Sang Ho / Mokwon University

Plant gravitropic response, regulated by the plant hormone auxin, shows 

opposite directions in roots and stems. In this study, we examined how the 
auxin distribution in roots and hypocotyls changes by gravistimulation in 
Arabidopsis. Auxin distribution was tracked by DR5-GFP fluorescence 
under gravitropic experimental conditions, designed for the gravitropism 
analysis in both roots and hypocotyls of Arabidopsis. When the seedlings 
were subjected to gravistimulation, auxin mainly accumulated in the lower 
sections of both roots and hypocotyls. Especially in the lower section of 
hypocotyls, the treatment group’s fluorescence intensity increased by more 
than twice compared to that of the control group. We also measured the 
overall fluorescence intensity in the entire hypocotyl region, and found to 
increase by 40% in the treatment group compared to the control group. These 
findings suggest that the absolute amount of auxin in the hypocotyls increased 
by gravistimulation. To confirm the increase in auxin concentration, we 
quantitatively checked the expression of DR5-GUS reporter gene, which is 
another marker for auxin levels. The results confirmed that the reporter gene 
expression level increased significantly, particularly in the gravistimulated 
hypocotyls. Taken together, this study suggests that gravistimulation not only 
causes the redistribution of auxin but also overal  increase in the concentration 
of auxin in Arabidopsis. 

Keyword ● Auxin, Gravitropism, Arabidopsis, Root, Hypocotyl, DR5, Auxin 

concentration

❙논문투고일:2023.10.03.❙심사완료일:2023.10.31.❙게재확정일:2023.11.28.❙


background image

385

교양교육혁신센터 <지식과 교양> 논문투고 규정

논문투고 규정

제1조(학술지 명칭)

1) 본 학술지는 <지식과 교양>이라 칭한다.
2) 본 학술지는 교양교육, 지식의 대중화, 교양 관련 이론, 학문간 통섭 

등에 관한 논문을 발간한다.

제2조(목적)

이 규정은 목원대학교 교양교육혁신연구센터의 학술지 <지식과 교양>의 

투고·편집 및 발간에 관한 세부 사항을 규정함을 목적으로 한다.

제3조(발간횟수 및 시기)(2023년부터 적용)

1) 본 학술지는 연 3회 발행한다.
2) 본 학술지의 발행일은 3월 30일, 7월 30일, 11월 30일로 정하되, 편

집위원회와 운영위원회의 결정에 따라 발간회수를 조정할 수 있다.

3) 학술지의 논문 접수 마감일은 매년 1호 학술지는 2월 15일, 2호 학술

지는 6월 15일까지, 3호 학술지는 10월 15일까지로 한다.

4) 본 학술지에 게재가 결정된 논문은 투고일자(접수일자), 심사(수정)

일자, 게재확정일자를 논문 마지막에 명기한다.

제4조(투고자의 자격과 연구윤리규정 준수)

1) 논문투고자는 온라인 논문투고 시스템( https://lic.jams.or.kr)에 회

2018년  3월 1일 제정

2020년 12월 1일 개정

2021년 11월 1일 개정

2022년  3월 1일 개정

2023년  3월 1일 개정


background image

386 

지식과 교양 Vol. 13

원가입을 한 후 논문투고신청서와 윤리서약서를 작성해야 한다.

2) 논문투고자는 <지식과 교양>의 연구윤리규정을 숙지, 준수하여야 

하며 이를 위반했다고 판단될 경우 편집위원회는 연구윤리규정에 의
거하여 제재를 가할 수 있다.

제5조(게재불가 논문)

본 학술지에 투고할 수 없는 원고의 종류는 다음과 같다. 편집위원회는 다

음 각항에 속하는 논문이 투고되었을 경우 심사과정 이전에 투고를 제한할 
수 있다.

1) 본 학술지의 논문주제 영역에 부합하지 않은 논문
2) 학술지 및 간행물을 통해 이미 출판되었던 논문과 이와 유사한 논문
3) 외국저서, 논문, 저널의 단순한 번역 논문
4) 석·박사 학위 논문을 단순 축약한 논문
※ 석·박사 학위 논문의 전체 또는 일부를 보완, 발전시킨 논문의 경우 

투고 가능하다. 단, 각주를 통해 그 사실을 반드시 사전에 적시해야 
한다. 적시하지 않은 논문의 경우 편집위원회의 논의를 거쳐 투고자
격을 박탈할 수 있다.

5) 이전 학술지 논문심사에서 게재불가 판정을 받은 논문을 내용의 수

정을 가하지 않고 투고한 논문

6) 이전 호에서 ‘게재철회’를 요청한 논문은 제목이나 내용을 수정했다

고 하더라도 <지식과 교양>에 재투고할 수 없다.

7) 게재확정 이후라도 이상이 확인된 논문의 경우, 연구윤리규정에 따

라 제재를 가할 수 있다.

제6조(논문투고 방법)

투고자는 원고 마감일 이전에 다음과 같은 방법으로 논문을 투고할 수 있

다.


background image

387

교양교육혁신센터 <지식과 교양> 논문투고 규정

1) 논문투고는 교양교육혁신연구센터 홈페이지 ‘논문투고 안내’에 따

라, 온라인 논문투고 시스템( https://lic.jams.or.kr)에 회원가입 후 
직접 업로드한다.

2) 온라인 투고를 원칙으로 하며, 부득이한 경우 이메일 (kl@mokwon.

ac.kr) 투고도 가능하다.

3) 모든 투고자는 온라인 논문투고 시스템( https://lic.jams.or.kr)에 

‘연구윤리서약서’ ‘저작권이양동의서’ ‘논문유사도검사결과서’ ‘논문
원문파일(저자, 소속 삭제)’을 첨부해야 한다.

4) 원고마감 일자를 경과한 논문은 해당 투고자의 동의하에 다음 호의 

투고 대상으로 삼는다.

제7조(투고자 논문작성 양식) 

논문 투고자는 다음의 논문작성 요령에 따라 논문을 작성해야 한다.

1) 논문은 <지식과 교양> 논문편집양식(제7조 8)항) 기준 10매 ~ 20매

(국․영문 초록, 그림․각주 포함) 내외로 작성함을 원칙으로 하되 논문
의 총 매수는 <지식과 교양> 논문편집양식 기준 25매(참고문헌, 초록 
제외)를 초과할 수 없다. 기준 매수를 초과할 경우 장당 1만원의 추가 
게재료를 부과한다.

2) 원고 작성 시 사용할 소프트웨어는 “한글2007’ 이상 또는 ‘MS Word’

의 프로그램을 사용하여야 한다.

3) 논문은 한국어·영어·기타 외국어로 작성할 수 있다. 모든 논문에 국

문초록과 영문초록을 제출해야 한다. 

4) 원고는 논문 제목, 성명과 소속 및 직위, 목차, 본문, 참고문헌, 국문

초록 및 주제어, 영문제목, 영문성명, 영문초록,영문 키워드의 순으
로 작성되어야 한다. 

5) 논문의 저자가 2인 이상일 경우에는 주저자(제1저자)와 부저자(교신

저자, 공동저자 등)를 구분하여 주저자가 첫 번째로, 부저자는 두 번
째 이후로 표기한다. 공동저자 모두 윤리서약서를 반드시 제출하여


background image

388 

지식과 교양 Vol. 13

야 한다.

6) 참고문헌을 구비하되, 완벽한 서지정보를 제공하여야 한다. 특히 논

문의 경우는 반드시 논문 수록지의 해당 페이지를 명시해야 한다.

7) 투고자는 게재 확정 후에는 성명의 오른쪽 위에 별표 첨자를 붙이고 

각주란에 다음의 형식으로 투고자 정보를 표시한다.

소속기관

직위

투고자 정보

대학

교수, 강사

성명/ 대학명/ 직위(교수, 부교수, 조교수, 강사 등)

박사 후 연구원 성명/ 대학명/ 박사 후 연구원

학생

성명/ 대학명/ 과정(학부생, 석사과정, 박사수료 등)

유초중고

학교

교사

성명/ 학교명/ 교사

학생

성명/ 학교명/ 학년

연구기관

연구원

성명/ 기관명/ 직위(연구위원, 부연구위원 등)

기타기관

공무원, 사원 등 성명/ 기관명/ 직위

소속 없음

성인

성명/ 대학명/ 종별 학위

성명/ 전 소속/ 직위

성명/ 연구자(또는 시인, 소설가, 비평가 등)

미성년자

성명/ 학교명/ 졸업(또는 수료, 중퇴 등)

8) 논문의 세부 편집양식은 아래와 같다.

(1) 작성 용지 설정

① 용지 종류 : A4용지(210×297mm)
② 용지 여백 : 위쪽 46, 아래 42.5 왼쪽, 오른쪽 각 50, 머리말, 꼬리말 

각 10

(2) 글자 모양

①글꼴 : 나눔명조(논문제목, 소제목, 필자이름 및 소속은 진한 글자로)
②크기 : 논문제목 18, 성명 9.5, 소속 9, 목차 9, 본문 10.5, 각주번호 9, 

각주본문 9, 참 고문헌 9.5, 국문초록 10.5, 주제어 9.5, 영문(외국어)
초록 10.5

③ 기타 자세한 내용은 각 항목별 작성 방식을 참조한다.


background image

389

교양교육혁신센터 <지식과 교양> 논문투고 규정

(3) 문단모양

①본문 : 줄간격 160, 들여쓰기 2
②각주 : 줄간격 130, 들여쓰기 2
③참고문헌 : 줄간격 130, 왼쪽여백 6, 내어쓰기 6
④국문 및 영문초록 : 줄간격 130, 왼쪽여백 2, 오른쪽여백 2

(4) 각 항목별 작성 방식을 정리하면 다음과 같다.

①논문제목 : 글자크기 18, 진하게, 가운데 정렬
②성명 : 글자크기 9.5, 진하게, 가운데 정렬(논문제목과 이름 사이 한

줄 뗌)

③소속 : 글자크기 9, 진하게, 가운데 정렬, 괄호 안에 소속을 명기
④소제목 : 글자크기 10.5, 정렬방식 왼쪽, 진하게
⑤본문 : 글자크기 10.5, 정렬방식 양쪽정렬

(5) 원고의 번호 붙임은 아래와 같이 한다.

- 1단계 : 1. 2. 3.
- 2단계 : 1) 2) 3)
- 3단계 : (1) (2) (3)
- 4단계 : ① ② ③

(6) 논문에서 사용되는 기호는 아래와 같이 한다.

①영화/영상/웹툰 작품의 경우는 < >를, 문학작품, 논문의 경우는 

「 」를, 단행본인 경우 󰡔 󰡕를, 음악관련 작품인 경우는 ≪ ≫를 사용
한다.

②강조 및 간접인용의 경우에는 홑따옴표 ‘ ’를, 직접인용의 경우에

는 겹따옴표 “ ”를 사용한다.

(7) 논문의 각주 작성 요령

①각주는 본문의 하단에 저자명, 저서명, 출판사명, 출판사 소재지

(외국어일 경우), 출판연도, 인용쪽수 등의 순서로 표기한다.

②각주는 각 언어권 학술문헌의 일반적인 예를 따른다.


background image

390 

지식과 교양 Vol. 13

- 한국어 저서인 경우 다음의 순서로 작성한다.

저자, 󰡔저서명󰡕, 출판사, 출판연도, 인용쪽수.

예) 홍길동, 󰡔교양교육의 역사󰡕, 한바퀴, 2005, 78쪽.
- 한국어 논문(학술지 및 학위)인 경우 다음의 순서로 작성한

다.

저자, 「논문명」, 󰡔학술지󰡕권/호, 출판사, 출판연도, 인용쪽수.

예)홍길동, 「교육연구의 궤적」, 󰡔교양연구󰡕 24집, 2009, 21쪽.
- 번역서인 경우 다음의 순서로 작성한다.

저자, 번역자, 󰡔저서명󰡕, 출판사, 출판연도, 인용쪽수.
저자, 번역자, 「논문명」, 󰡔저서명/학술지󰡕 권/호, 출판사, 출판연

도, 인용쪽수.

예) 잭 우드 저, 홍길동 역, 󰡔교양교육󰡕, 한바퀴, 2005, 81쪽.
- 영문(외국어)인 경우 저서는 이탤릭체로, 논문은 “ ”로 표기

한다.

Jack Wood, Social effectiveness: on some Asian College's education 
in the 1980s

, trans. Celia Britton. Annwyl Williams, Ben 

Brewster, and Alfred Guzzetti, London: HumanArts, 1982, 

p.23.
Kimberly Woods, “Social effectiveness: on some Asian 

College's education in the 1980s”, Education, vol. 30, no. 3, 

1989, pp.51-65.

- 신문기사의 경우 작성자, “기사명”, <신문/잡지명>, 기사날

짜 순으로 작성한다.

예)  홍길동,  “2000년대  대학교육  현황”,  <교양일보>, 

2011.05.21.

- 인터넷 사이트를 참조할 경우 사이트 명, 사이트 주소, 자료 

확인 날짜순으로 표기한다.

예) 교양교육혁신연구센터, https://www.mokwon.ac.kr/lic, 

2022.05.21.

③ 중복된 참고문헌을 인용할 경우 다음 표기의 예를 따른다.

- 한국어인 경우 바로 위의 주(註)에서 인용한 참고문헌을 다


background image

391

교양교육혁신센터 <지식과 교양> 논문투고 규정

시 인용할 때는 위의 책, 위의 논문 이라 표기한다.

예) 위의 책(위의 논문), 21쪽. 또한 바로 앞이 아닌 그 앞의 주

(註)에서 인용된 참고문헌을 다시 인용할 경우는 저자명을 

먼저 명기한 후 앞의 책, 앞의 논문 이라 표기한다.

예) 홍길동, 앞의 책(앞의 논문), 21쪽.
- 영문(외국어)인 경우 바로 위의 주(註)에서 인용한 참고문헌

을 다시 인용할 때는 Ibid., 로 표기한다.

예) Ibid., pp.20-21. 또한 바로 앞이 아닌 그 앞의 주(註)에서 

인용된 참고문헌을 다시 인용할 경우는 저자명을 먼저 명

기한 후 op. cit.,로 표기한다.

예) Michael, op. cit., p.21.

④ 참고문헌 작성요령 : 글자크기 9.5 (단, 제목은 10, 진하게)

- 참고문헌은 본문과 각주에서 언급된 모든 문헌 정보를 수록

한다. 논문의 경우 전체 쪽수를 명기하고, 저서의 경우는 쪽

수를 생략할 수 있다.

- 참고문헌은 국내문헌을 먼저 표기하고 영어, 외국어 순으로 

작성하되, 단행본, 논문, 신문기사, 인터넷 사이트로 나누어 

표기한다. 국내문헌은 저자 이름에 따라 가나다 순서로, 영

어 및 외국어 문헌은 저자 이름에 따라 알파벳 순서로 배열

한다.

- 영문(외국어) 서적의 경우는 이탤릭체로 하고, 국문 서적은 

󰡔 󰡕 를 사용하고 학술지의 경우는 권, 쪽 수 순으로 작성한다.

- 참고문헌 작성 시 다음의 예를 참고한다.

김병정, 「영화 <혼자>의 롱테아크와 촬영기술 연구」, 󰡔지식과 교

양󰡕 8호, 교양교육혁신연구센터, 2021, 25-47쪽.
홍길동, 󰡔교양교육의 역사󰡕, 교양과 교육사, 2005.
Bergstrom, Johns. ed. “Human Arts: Culture and Society”, Arts 

Histories, Berkely: University of California Press, 1999, 

pp.50-85.
Donald, Stephen. Questions of Liberal Arts, Bloomington: 

Indiana University Press, 1989.
Lacan, Jacques. “The mirror stage as formative of the 


background image

392 

지식과 교양 Vol. 13

function of the ‘I’.” In Ecrits: a selection, Trans. Alan Sheridan. 

New York : Norton, 1977.

⑤국문·영문(외국어)초록 및 국문요약문 작성요령: 글자크기 

10.5(단, 제목은 진하게)
- 국문초록은 논문의 전체요지를 500자 내외의 분량으로 작성

하고 국문으로 된 5개 이상의 주제어를 국문초록 다음에 반

드시 첨부한다. 영문(외국어) 논문의 경우에도 국문 논문과 

동일하게 국문 초록 및 국문 주제어를 명기한다. 

- 영문초록은 국문초록 다음에 첨부하며 제목과 성명, 소속을 

병기한다.

(8) 기타 편집사항은 논문 탬플릿 양식에 의거하여 작성한다.

제8조(투고자 논문심사)

투고된 논문은 본 연구소의 논문심사 규정에 따라 심사과정을 거친다. 단, 

편집위원회가 기획, 의뢰한 논문의 경우 게재의 우선권을 부여하되, 일반
논문과 동일한 심사과정을 거친다.

제9조(논문 수정)

1) 편집위원회는 심사결과에 따라 투고자에게 논문 수정을 요구할 수 

있으며, 수정 요구일 10일이 지나도록 저자로부터 회신이 없으면 해
당 호의 논문게재를 포기하는 것으로 간주한다.

2) 논문 심사를 통과한 논문은 편집규정에 근거하여 그 편집형식을 편

집위원회에서 임의로 변경할 수 있다.

3) 논문 제목은 1차 수정본 제출 이후로는 변경할 수 없다.

제10조(논문 책임)

게재 논문 내용에 대한 최종 책임은 해당 논문의 저자에게 있다.


background image

393

교양교육혁신센터 <지식과 교양> 논문투고 규정

제11조(심사료와 게재료)

투고자는 논문투고와 동시에 본인의 논문에 대한 심사비를 납부한다.

1) 투고 논문에 대한 심사비는 6만원으로 한다. 논문 심사료는 일반논

문과 연구지원논문 모두 동일하게 부과된다.

2) 심사 후 원고 게재가 확정된 경우 게재료를 납부해야 한다. 구체적인 

게재료는 아래와 같다.

- 일반 논문: 15만원
- 연구비 수혜논문 : 30만원

3) 게재가 확정된 논문은 영문초록 감수비 2만원을 납부해야 한다.

※ 논문편집양식(제7조 6항 참조) 기준보다 분량이 초과될 경우 소정

의 추가 게재료를 부과할 수 있다(제7조 1항 참조).

※ 투고자가 해당 논문에 대해 ‘게재철회’를 요청한 경우라도 심사 후 

원고 ‘게재가 확정’된 경우 투고자는 ‘게재철회’와 관계없이 해당 
게재료를 납부해야 한다.

제12조(저작권) (2021.11.01. 개정)

1) 게재된 모든 논문에 대한 ‘저작물의 이용’ 권한은 목원대학교(교양교

육혁신연구센터)에 위임한다.

2) 투고자는 게재된 논문의 저작권 및 지적재산권을 다른 공동연구자와 

함께 <지식과 교양>에 위임할 것을 '논문투고신청서'를 통해 사전에 
서약하여야 한다.

제13조(기타)

본 세부 규정에 미비된 사항은 사안별로 본 편집위원회에서 심사하여 결

정한다.


background image

394 

지식과 교양 Vol. 13

제14조(개정)

본 규정은 <지식과 교양> 편집위원회의 결의에 의하여 개정될 수 있다.

부 칙

1) (시행일) 본 규정은 2018년 3월 1일부터 시행한다.
2) (시행일) 본 개정규정은 2020년 12월 1일부터 시행한다.
3) (시행일) 본 개정규정은 2021년 11월 1일부터 시행한다.
4) (시행일) 본 개정규정은 2022년 3월 1일부터 시행한다.
5) (시행일) 본 개정규정은 2023년 3월 1일부터 시행한다.


background image

395

교양교육혁신센터 <지식과 교양> 논문심사 규정

논문심사 규정

제1조(목적)

본 규정은 <지식과 교양>에 투고할 논문의 심사에 관한 사항을 규정함을 

목적으로 한다.

제2조(편집위원회 구성 및 연구윤리규정 심사)

1) 본 <지식과 교양>의 논문 심사는 편집위원회에서 주관한다.
2) 편집위원회는 편집위원장을 포함한 편집위원 10인 내외로 구성됨을 

원칙으로 한다.

3) 편집위원회는 심사위원을 구성하기 전 투고된 논문에 대하여 투고 

논문의 영역과 게재의 적합성, 연구윤리규정의 준수 여부, 논문투고
규정의 준수 여부 등을 검토, 해당 투고 논문의 심사여부를 결정한
다.

4) 편집위원회는 투고 논문의 심사위원을 선정하여 논문의 게재여부를 

결정한다.

제3조(심사 및 판정) 

1) 편집위원회를 통해 심사대상으로 확정된 투고 논문은 편집위원회와 

편집위원이 위촉한 3인 이상의 전문 심사위원의 심사를 받는다.

2) 심사위원은 온라인논문투고시스템(https://lic.jams.or.kr/co/

main/jmMain.kci) 내에서 심사할 논문을 확인하고 ‘연구윤리규정
준수서약서’에 동의하여야 한다. 

2018년  3월 1일 제정

2020년 12월 1일 개정

2022년  3월 1일 개정

2023년  3월 1일 개정


background image

396 

지식과 교양 Vol. 13

3) 투고자와 동일한 소속기관인 경우 심사위원으로 위촉할 수 없다.
4) 심사위원은 심사위촉을 받은 날로부터 초심인 경우 10일 이내, 재심

인 경우 5일 이내에 심사결과를 온라인논문투고시스템에 입력 또는 
첨부해야 한다.

5) 심사위원은 투고 논문을 심사서에 제시된 논문 평가항목을 참조하여 

‘게재가’, ‘수정 후 게재’, ‘전면수정 후 재투고’, ‘게재 불가’의 4등급
으로 판정한다.

심사자 1

심사자 2

심사자 3

판정

게재가능

게재가능

게재가능

게재가능

게재가능

게재가능

수정 후 게재

게재가능

게재가능

전면수정 후 재투고

수정 후 게재

게재가능

수정 후 게재

수정 후 게재

게재가능

수정 후 게재

전면수정 후 재투고

수정 후 게재

수정 후 게재

수정 후 게재

수정 후 게재

수정 후 게재

전면수정 후 재투고

게재가능

전면수정 후 재투고

전면수정 후 재투고

전면수정 후 

재투고

수정 후 게재

전면수정 후 재투고 

전면수정 후 재투고

전면수정 후 재투고

전면수정 후 재투고

전면수정 후 재투고

게재가능

전면수정 후 재투고

게재불가

수정 후 게재

전면수정 후 재투고

게재불가

전면수정 후 재투고

전면수정 후재투고

게재불가

게재가능

게재가능

게재불가

편집위원회

재심

게재가능

수정 후 게재

게재불가

수정 후 게재

수정 후게재 

게재불가

게재가능

게재불가

게재불가

게재불가

수정 후 게재

게재불가

게재불가

전면수정 후 재투고

게재불가

게재불가

게재불가

게재불가

게재불가


background image

397

교양교육혁신센터 <지식과 교양> 논문심사 규정

6) 심사위원의 판정은 80점 이상 ‘게재’, 70점 이상 ‘수정 후 게재’, 60점 

이상 ‘전면수정 후 재투고’, 59점 이하 ‘게재 불가’로 한다.

7) ‘전면수정 후 재투고’, ‘게재 불가’의 판정을 내렸을 경우, 심사위원

은 심사서에 평가 항목에 따른 구체적인 판정 사항을 반드시 명시해
야 한다. 

8) 심사위원 3인의 판정을 종합한 결과 ‘게재가’, ‘수정 후 게재’ 판정을 

받은 논문은 소정의 절차를 거쳐 당 호의 <지식과 교양>에 게재한다.

9) 기타 판정에 관한 결정은 편집위원회의 의견에 따른다.

제4조(이의 심사)

1) 논문 심사 결과에 대한 이의가 있을 경우 논문 투고자는 편집위원회

에서 제공하는 소정의 양식에 따라 서면으로 이의를 제기할 수 있다.

2) 심사 결과에 대한 이의 제기는 ‘게재불가’로 판정이 난 논문 투고자

에 한해서만 할 수 있다.

3) 이의 제기는 결과 통지 후 1달 이내에 접수되어야 한다.
4) 접수된 심사 결과에 대한 이의제기는 편집위원회에서 이의 내용을 

면밀히 검토한 후, 그 결과를 해당 논문의 저자에게 통지한다.

5) 편집위원회가 이의를 인정하게 되었을 경우 변경된 평가 결과를 논

문 투고자에게 1주일 이내에 통보하도록 하고, 이에 대한 제반 절차
를 바로 진행하도록 한다.

제5조(기타)

1) 학술지에 게재되는 논문에 대한 저작권은 <지식과 교양>이 소유한

다.

2) 논문의 심사 및 편집·출판, 온라인 제공과 관련해 발생할 수 있는 기

타 사항은 편집위원장이 편집위원회를 소집하여 논의를 거친 후 출
석위원 2/3 이상의 찬성을 얻어 결정한다.


background image

398 

지식과 교양 Vol. 13

3) 이 규정에 명시되지 않은 사항은 편집위원회의에서 결정한다.

제6조(개정)

본 규정은 <지식과 교양> 편집위원회의 결의에 의하여 개정될 수 있다.

부 칙

1) (시행일) 본 규정은 2018년 3월 1일부터 시행한다.
2) (시행일) 본 개정 규정은 2020년 12월 1일부터 시행한다.
3) (시행일) 본 개정 규정은 2022년 3월 1일부터 시행한다.
4) (시행일) 본 개정 규정은 2023년 3월 1일부터 시행한다.


background image

399

교양교육혁신센터 <지식과 교양> 논문심사 규정

연구윤리 규정

제1장 총칙

제1조(목적)

<지식과 교양>은 교육부의 「연구윤리 확보를 위한 지침」(교육부훈령 제

263호)을 준수한다. 본 규정은 목원대학교 교양교육혁신연구센터에서 발
행하는 <지식과 교양>에 수록되는 학술발표와 논문 등 저작물의 투고, 심
사윤리 등에 관한 내용을 정하는 것에 목적이 있다. 본 규정에 제시되지 않
은 사항은 교육부의 「연구윤리 확보를 위한 지침」을 우선해 따른다.

제2조(적용대상 및 서약)

1) <지식과 교양>의 편집위원 및 학술운영위원, 논문 심사위원, 투고자

는 본 규정을 준수하기로 서약하여야 한다.(서약서. 별첨 1, 2)

2) <지식과 교양>의 편집위원회는 원고모집을 공고할 때 본 규정을 함

께 공고하여야 하고, 심사자는 심사를 승낙할 때 본 규정을 준수하기
로 서약하여야 한다.

3) 투고자는 논문 투고시 연구윤리를 준수할 것을 서약하는 ‘연구윤리

규정준수서약서’와 한국연구재단 한국학술지인용색인(http://www.
kci.go.kr)에서 제공하는 ‘문헌 유사도 검사’ 서비스의 검증결과(KCI 
문헌유사도 검사 종합결과 확인서)를 반드시 함께 제출해야 한다.

제3조(저자의 투고윤리기준 및 연구부정행위의 정의)

원고는 독창성을 갖는 저작물이어야 하며, 다른 정기학술지나 단행본에 

제정 2018. 3. 1.
개정 2021. 3. 1.
개정 2022. 3. 1.


background image

400 

지식과 교양 Vol. 13

이미 발표된 것이 아니어야 한다. 또한 타인의 저작물을 표절한 내용이 담
겨서는 아니 된다. 타인의 저작물은 문서를 포함한 이미지 자료도 포함된
다. 표절의 기준은 국가기관 혹은 아래의 기준을 따른다.

1) 표절 :

(1) 원저자의 아이디어, 논리, 고유한 용어, 데이터, 분석 체계 등을 출

처를 명확하게 밝히지 않고 의도적으로 자기 것인 것처럼 활용하

거나 무단으로 사용하는 경우로, 이는 사용언어가 다른 경우에도 

해당한다.

(2) 타인의 저술이나 논문의 핵심 개념의 전부 또는 일부를 인용부호 

없이 원문 그대로 옮기거나 광범위하게 인용하는 경우

(3) 가져온 원 저작물의 출처를 밝혔더라도 인용된 저작물이 내용 또

는 분량에서 새로운 저작물의 주된 부분을 구성하게 되는 경우

(4) 타인의 연구계획서 및 기고된 논문에 대한 동료심사를 통해 연구

에 직접적으로 관여하지 않았음에도 아이디어 전체나 일부분을 그

대로 또는 피상적으로 수정하여 자신의 이름으로 발표하여 타인의 

연구를 도용하는 경우

2) 위조 : 실험, 관찰 등의 존재하지 않는 자료나 연구결과 등을 허위로 

만들어내는 행위

3) 변조 : 연구 재료·장비·과정 등을 의도적으로 조작하거나 자료를 마

음대로 변형·삭제하는 행위

(1) 수집한 원 자료의 내용을 결과를 왜곡할 의도로 변경, 누락, 추가

하는 것

(2) 연구기록에서 날짜나 실험과정을 사후에 바꾸는 것
(3) 연구대상이나 연구방법 등을 사실과 다르게 설명하는 것
(4) 임의로 표본을 자르거나 통계 분석 결과를 그릇되게 설명하는

4) 중복 게재 :

(1) 게재 예정이거나 심사 중인 연구물을 포함해 자신이 기존에 발표

한 논문, 자료, 연구결과를 인용 없이 동일 언어 또는 다른 언어로 

중복하여 학회지에 재수록하는 경우로, 사전에 해당 학술지의 허


background image

401

교양교육혁신센터 <지식과 교양> 연구윤리 규정

락을 받는 경우는 중복게재에 해당하지 않을 수 있다.

(2) 대부분의 연구 결과가 같고 대부분 문장이 같은 경우도 중복게재

에 해당한다.

(3) 단행본이나 정기학술지에 출간되지 않은 자신의 석, 박사 학위논

문의 일부를 활용하여 작성된 원고는 중복게재에 해당한다. 단 자

신이 이미 발표한 저작물을 부분적으로 활용하며 새로운 학술적 

논점을 추가시켜 분석하고 있는 저작물은 중복게재에 해당하지 않

을 수 있다. 다만 그 작성 경과를 반드시 저작물에 적시하여야 한

다.

5) 부당한 저자표시

연구내용 또는 결과에 대하여 공헌 또는 기여를 한 사람에게 정당

한 이유 없이 논문저자 자격을 부여하지 않거나, 공헌 또는 기여를 

하지 않은 자에게 감사의 표시 또는 예우 등을 이유로 논문저자 자

격을 부여하여서는 아니 된다.

(1) 연구에 실질적으로 공헌 또는 기여하지 않은 사람을 제1저자, 공

동 저자 또는 교신저자로 올리는 경우

(2) 연구내용 또는 결과에 대하여 과학적· 기술적 공헌 또는 기여를 한 

사람에게 정당한 이유 없이 논문저자 자격을 부여하지 않는 경우

(3) 논문의 저자 중 특수관계인(미성년 연구자, 논문 투고자의 가족(배

우자, 자녀 등 4촌 이내))으로서, 논문투고의 공동저자일 경우 논문

의 투고, 심사, 출간 과정에서 위반행위에 대한 조사 가능성이 있

는 경우

6) 논문에서 저자는 주저자(제1저자), 교신저자, 공동저자로 나눈다.

(1) 저자가 2인 이상인 경우 각 저자의 역할을 표시하여야 한다. 연구

와 논문작성에 있어서 가장 많은 기여를 한 저자를 “주저자”로, 논

문의 투고, 심사, 출간 과정에서 <지식과 교양> 편집위원회, 혹은 

운영위원회 등과 연락을 담당한 저자를 “교신저자”로 표시한다.

(2) 교신저자

① 교신저자는 논문투고 및 심사자와 교신하는 투고의 전 과정을 책

임지는 연구책임자이다.


background image

402 

지식과 교양 Vol. 13

② 교신저자는 공동저자의 표시와 그 순서에 대하여 입증책임을 지

고, 저자 표시 순서에서 맨 뒤에 배치한다.

③ 교신저자는 공동저자들에게 최종 논문을 회람하여야 하고 투고 

사실을 알려 확인받아야 한다. 또한 논문 심사 후 수정을 해야 하
는 경우에도 교신저자는 이를 공동 저자에게 알려서 승인을 받아
야 한다.

(3) 주저자(제1저자)

저자의 표시 순서에서 제일 앞에 두고, 데이터를 수집하고 실험한 
자, 그 결과를 해석하고 원고 초안을 작성한 연구의 주요 기여자이
다.

(4) 공동저자

① 연구에 참여한 공동 연구원 및 연구보조원, 연구 수행 중 중요한 

연구 정보를 상의하고 결론에 도달하는데 기여한 자이다.

② 공동저자의 포함 범위는 연구의 계획, 개념 확립, 수행, 결과분석 

및 연구 결과의 작성에 현격히 기여한 자이다.

③ 공동저자의 표시순서는 연구에 참여한 상대적 기여도에 따라 배

치한다. 저자 표시순서는 교신저자 주도하에 참여한 저자들 간의 
합의에 의해 결정되어야 한다.

제4조(젠더혁신정책)

투고자의 논문은 젠더혁신 정책에서 추천하는 가이드라인(http://gister.

re.kr)을 성실히 준수하여야 한다.

1) 논문은 생물학적 차이를 나타내는 성(sex)과 정체성에 관한 것이거

나 정신적 혹은 문화적 구분을 나타내는 젠더(gender)를 구별하여 
사용하여야 한다.

2) 논문은 연구 참가자의 성, 젠더, 또는 둘 모두를 보고해야 하며, 동물

이나 세포의 성을 보고해야 한다. 또한 성과 젠더를 결정하기 위해 
사용된 방법도 기술해야 한다.


background image

403

교양교육혁신센터 <지식과 교양> 연구윤리 규정

3) 연구내용이 한쪽 성 또는 젠더만을 대상으로 한 경우, 저자는 명백한 

경우를 제외하고(예를 들면 전립선암) 그 이유를 논문 내에 합리적으
로 설명해야 한다.

4) 저자는 인종(race) 또는 민족집단(ethnicity)을 결정한 방법과 그 구

분의 연 구상 필요성을 기술하여야 한다.

제5조(편집위원의 편집윤리기준)

1) 편집위원은 투고된 저작물에 대하여 지체 없이 심사에 관한 적절한 

조치를 취해야 하며, 투고된 저작물의 게재 여부를 결정하는 모든 책
임을 진다.

2) 편집위원은 투고된 저작물을 저자의 성별, 나이, 소속기관은 물론이

고 어떤 선입견이나 사적인 친분과도 무관하게 오로지 저작물의 질
적 수준과 투고규정 및 심사규정에 근거하여 공평하게 취급하여야 
한다.

3) 편집위원은 투고된 저작물의 심사를 해당 분야의 전문적 지식과 공

정한 판단능력을 지닌 심사자에게 의뢰하여야 한다.

4) 편집위원은 투고된 저작물의 게재가 결정될 때까지는 저자에 대한 

사항이나 저작물의 내용을 공개해서는 아니 되고, 저자의 인격과 학
문의 자유를 존중하여야 한다.

제6조(심사자의 심사윤리기준)

1) 심사자는 편집위원회가 심사 의뢰하는 저작물을 심사기준이 정한 바

에 따라 성실하게 심사하고, 심사결과를 편집위원회에 통지하여야 
한다. 이 경우 자신이 해당 저작물의 내용을 평가하는 데에 적임자가 
아니라고 판단될 경우에는 그 사실을 편집위원회에 지체 없이 통지
하여야 한다.

2) 심사자는 논문 투고자와 동일 기관 소속이어서는 아니 되며, 심사자

는 개인적인 학술적 신념이나 저자와의 사적인 친분관계를 떠나 객


background image

404 

지식과 교양 Vol. 13

관적이고 공정한 기준에 의해 저작물을 심사하여야 한다. 심사자는 
저자의 인격과 학문의 자유를 존중해야 하고, 충분한 근거를 명시하
지 않은 채 또는 심사자 본인의 관점이나 해석과 상충된다는 이유로 
게재불가 또는 전면수정 후 재투고로 결정해서는 아니 된다.

3) 심사자가 투고된 저작물이 제3조의 각항을 위반한 사실을 발견한 때

에는 지체없이 그 사실을 편집위원회 및 제7조에 의한 윤리위원회에 
알려야 한다.

4) 심사자는 심사를 의뢰받은 사실, 심사대상 저작물의 모든 사항 등을 

누설하여서는 아니 된다. 저작물이 게재된 학술지가 출판되기 전에 
저자의 동의 없이 저작물의 내용을 인용해서는 아니 된다.

제2장 윤리위원회의 설치 및 운영

제7조(윤리위원회의 설치 및 기능)

1) 본 규정의 목적을 달성하기 위하여 <지식과 교양>의 윤리위원회를 

설치한다.

2) 윤리위원회는 목원대학교 교양교육혁신연구센터장 및 편집위원장, 

교양교육혁신연구센터장이 위촉하는 인사 5인 내외로 구성되며, 교
양교육혁신연구센터장이 그 위원장을 맡는다.

3) 위원장은 위원회의 회의를 소집하고, 회의는 특별한 규정이 없는 한 

재적위원 과반수 출석과 출석위원 과반수 찬성으로 의결한다.

4) 위원회에서 필요하다고 인정될 때에는 관계자를 출석케하여 의견을 

청취할 수 있다.

5) 회의는 비공개를 원칙으로 한다.
6) 연구윤리위원회 연구윤리의 확립과 관련된 다음 각 호의 사항을 심

의·의결한다.

(1) 연구윤리 제도 수립 및 운영에 관한 사항
(2) 연구 부정행위 조사 결과의 처리 및 후속 제재 조치에 관한 사항


background image

405

교양교육혁신센터 <지식과 교양> 연구윤리 규정

(3) 조사위원회 구성 및 조사 결과 승인에 관한 사항
(4) 제보자 보호 및 비밀 유지에 관한 사항
(5) 기타 위원장이 부치는 사항

제8조(위원회의 권한과 의무)

1) 위원회는 조사과정에서 제보자, 피조사자, 증인에 대하여 출석과 자

료 제출을 요구할 수 있다.

2) 위원회는 증거의 멸실, 파손, 은닉 또는 변조 등을 방지하기 위하여 

상당한 조치를 취할 수 있다.

3) 위원회 위원은 심의와 관련된 제반 사항에 대하여 비밀을 준수하여

야 한다.

제3장 위반행위의 조사

제9조(위반행위의 조사 개시)

1) 위원회는 구체적인 제보가 있거나 상당한 의혹이 있을 경우에는 본 

규정 위반행위(이하 ‘위반행위’라고 한다)의 존재 여부를 조사하여야 
한다.

2) 위원장은 편집위원장과 협의하여 예비조사를 실시할 수 있다.

제10조(출석 및 자료제출 요구)

1) 위원회는 제보자·피조사자·증인 및 참고인에 대하여 출석을 요구할 

수 있으며, 이 경우 피조사자는 이에 반드시 응해야 한다.

2) 위원회는 피조사자에게 자료의 제출을 요구할 수 있다.
3) 위반행위의 입증은 윤리위원회에 있다. 다만, 피조사가 자료제출을 

거부하거나 파기한 경우에는 피조사자에게 입증책임이 있다.


background image

406 

지식과 교양 Vol. 13

제11조(위반행위 조사의 기간)

1) 위반행위의 조사 기간은 예비조사와 본조사로 나누어 실시한다. 예

비조사는 제보 또는 신고일로부터 30일 이내에 착수하며, 본 조사는 
예비조사 개시일로부터 6개월 이내에 종료하여야 한다.

2) 위반행위에 대한 조사시효는 만 5년으로 한다. 그 이전의 부정행위

에 대해서는 접수하였더라도 처리하지 않음을 원칙으로 한다.

3) 다음에 해당될 경우에는 위반행위에 대한 조사를 실시하여야 한다.

(1) 5년 이전의 위반행위라도 후속 연구의 기획, 연구비 신청, 연구의 

수행, 연구결과의 보고 및 발표가 5년 이내일 경우.

(2) 공공의 복지 또는 안전에 위험이 발생하거나, 발생할 우려가 있는 

경우.

제12조(제보자와 피조사자의 권리 보호 및 비밀엄수)

1) 어떠한 경우에도 제보자의 신원을 직, 간접적으로 노출시켜서는 안 

되며, 제보자의 신원은 반드시 필요한 경우가 아니면 조사결과 보고
서에 포함하지 아니 한다.

2) 위반행위 여부에 대한 검증이 완료될 때까지 피조사자의 명예나 권

리가 침해되지 않도록 비밀을 준수하고, 윤리위원회의 심사를 통해 
구체적인 혐의가 인정되기 이전까지 피조사자는 연구윤리를 위반하
지 않은 것으로 본다.

3) 제보, 조사, 심의, 의결 등 조사와 관련된 모든 사항은 비밀로 하며, 

조사에 직·간접적으로 참여한 자는 조사와 직무수행 과정에서 취득
한 모든 정보를 부당하게 누설하여서는 아니 된다. 다만 공개의 필요
성이 있는 경우 위원회의 의결을 거쳐 공개할 수 있다.

제13조(제척, 기피, 회피)

1) 당해 조사와 직접적인 이해관계가 있는 위원은 조사 및 안건의 심의, 


background image

407

교양교육혁신센터 <지식과 교양> 연구윤리 규정

의결에서 제척된다.

2) 제보자 또는 피조사자는 위원에게 공정성을 기대하기 어려운 사정

이 있는 때에는 그 이유를 밝혀 기피를 신청할 수 있다. 위원회의 의
결로 기피신청이 인용된 경우에는 당해 안건의 조사 및 심의, 의결에 
관여할 수 없다.

3) 위원은 제1항 또는 제2항의 사유가 있는 경우에는 위원장의 허가를 

얻어 회피할 수 있다.

제14조(이의제기 및 진술기회의 보장)

위원회는 제보자와 피조사자에게 의견진술, 이의제기 및 반론의 기회를 

동등하게 보장하여야 하며 관련 절차를 사전에 알려주어야 한다.

제15조(판정)

1) 위원회는 이의제기 또는 반론의 내용을 토대로 조사내용 및 결과를 

확정한다.

2) 위원회는 재적위원 과반수 출석과 출석위원 3분의 2이상의 찬성으

로, 피조사 사실과 관련한 피조사자의 위반행위 여부를 확인하는 판
정을 한다.

제4장 조사 이후의 조치

제16조(조사결과에 따른 조치)

1) 윤리위원회가 위반행위에 대하여 제재하기로 결정한 경우에는 다음 

각 호의 제재를 부과하여야 한다.

(1) 본 규정에 위반된 저작물이 <지식과 교양>에 게재된 경우에는 해

당 저작물의 게재의 소급적 무효화 및 논문목록에서 삭제

(2) 향후 10년 이상 <지식과 교양> 투고 금지
(3) 본 규정의 위반 사실을 <지식과 교양> 및 교양교육혁신연구센터 


background image

408 

지식과 교양 Vol. 13

홈페이지에 공지

(4) 본 규정의 위반 사실을 한국연구재단에 통보
(5) 기타 윤리의 준수를 위해서 필요한 사안으로서 윤리위원회가 정하

는 제재사항

2) 전항 제3호의 공지는 저자명, 논문명, 논문의 수록 권·호수, 취소일

자, 취소이유 등이 포함되어야 한다.

제17조(결과의 통지)

위원장은 조사 결과에 대한 위원회의 결정을 서면으로 작성하여 지체없이 

제보자 및 피조사자 등 관련자에게 이를 통지한다.

제18조(재심의)

피조사자 또는 제보자는 위원회의 결정에 불복할 경우 제17조의 통지를 

받은 날부터 20일 이내에 이유를 기재한 서면으로 위원회에 재심의를 요청
할 수 있다.

제19조(명예회복 등 후속조치)

재심의 결과 위반행위가 없었던 것으로 확정될 경우, 위원회는 피조사자 

혹은 혐의자의 명예회복을 위해 노력하여 적절한 후속조치를 취할 수 있
다.

제20조(기록의 보관 및 공개)

1) 조사와 관련된 기록은 조사 종료 시점을 기준으로 5년간 보관하여야 

한다.

2) 판정이 끝난 이후 결과는 교양교육혁신연구센터 <지식과 교양> 운

영위원회와 편집위원회에 보고되어야 한다. 다만, 제보자, 조사위원, 
참고인, 자문에 참여한 자의 명단 등 신원과 관련된 정보에 대해서는 
당사자에게 불이익을 줄 가능성이 있을 경우에 위원회의 결의로 그 


background image

409

교양교육혁신센터 <지식과 교양> 연구윤리 규정

공개대상에서 제외할 수 있다.

제5장 보칙

제21조(개정)

본 규정은 <지식과 교양> 편집위원회의 결의에 의하여 개정될 수 있다.

부 칙

1) (시행일) 본 규정은 2018년 3월 1일부터 시행한다.
2) (시행일) 본 개정 규정은 2021년 3월 1일부터 시행한다.
3) (시행일) 본 개정 규정은 2022년 3월 1일부터 시행한다.


background image

410 

지식과 교양 Vol. 13

편집위원회 규정

제1조(목적)

본 규정은 교양교육혁신연구센터 학술지 <지식과 교양> 편집위원회 업무

를 공정하고 합리적으로 처리하기 위한 것이다.

제2조(업무)

편집위원회의 주요 업무는 다음과 같다.

⑴ 학술지 <지식과 교양> 투고 논문 심사와 편집
⑵ 학술도서 기획과 편집
⑶ 기타 학술지 관련 업무
⑷ 본 연구소의 편집 관련 업무

제3조(구성 및 임기)

편집위원회 구성 및 임기는 다음과 같이 한다.

⑴ 편집위원회 위원장은 운영위원회의 추천을 받아 센터장이 위촉하

며, 편집위원은 편집위원장의 추천을 받아 센터장이 위촉한다.

⑵ 편집위원회는 10명 내외로 구성한다.
⑶ 편집위원은 각 분야에서 대내외적 지명도가 높고 학술적 성과가 

우수한 이로 하며, 각 지역에서 활동하는 연구자들이 고루 선임될 

수 있도록 한다.

⑷ 심사 및 편집 실무를 위해 약간 명의 조교, 연구원을 둘 수 있다.
⑸ 편집위원장과 편집위원의 임기는 2년으로 하며, 연임할 수 있다.

2018년 3월 1일 제정
2022년 3월 1일 개정


background image

411

교양교육혁신센터 <지식과 교양> 편집위원회 규정

제4조(회의 개최)

편집위원회는 학술지 투고 마감 이후 심사위원 선정과 위촉을 위한 편집

회의를 개최하며, 심사가 일단락된 후 심사결과 판정과 학회지 편집을 위
한 편집회의를 개최한다. 편집회의는 필요에 따라 온라인으로 진행할 수 
있다.

제5조(결정 사안)

편집위원회의 주요 결정 사안은 다음과 같다.

⑴ 학술지 투고 논문에 대한 심사위원 위촉
⑵ 투고 논문 심사결과의 검토와 판정
⑶ 논문 수정사항 확인을 통한 게재 여부 확정
⑷ 기타 학술도서 기획 및 심사 편집에 관한 건

제6조(규정준수 의무)

편집위원회는 학술지 심사 및 편집 작업을 수행함에 있어 학술지 발간 및 

논문 투고 규정과 논문 심사 규정, 연구윤리 규정을 준수해야 한다.

부 칙

1) (시행일) 본 규정은 2018년 3월 1일부터 시행한다.
2) (시행일) 본 개정 규정은 2022년 3월 1일부터 시행한다.


background image

지식과 교양 Knowledge & Liberal Arts

2023년 11월 30일 / 30 November 2023
통권 제13호 / No. 13

발행인 송석랑

발행처 목원대학교 교양교육혁신연구센터

담당 조교 김혜림

발행일 2023년 11월 30일

대전광역시 서구 도안북로 88 목원대학교 캠퍼스타운(I관)

103호 교양교육혁신연구센터 (우편번호 35349)

Tel 042-829-8198

E-mail kl@mokwon.ac.kr

Homepage https://lic.jams.or.kr

편집·인쇄처 오름디자인기획

전화 : 042-825-6157~8

본 학술지는 목원대학교 학술연구지원에 의하여 발행되었음.

◇ 연구센터장 : 송석랑
◇ 편집위원장 : 최혜진
◇ 편 집 위 원 :

구진희(목원대), 김경래(한국교원대), 김순정(성신여대), 김요한(영남대) 
김혜정(경인교대), 배병윤(한라대), 서유석(경상대), 원은석(목원대) 
정옥희(목원대), 조기웅(전북대), 조용림(목원대), 조준희(동국대) 
최병진(제주대), 홍태한(전북대)

◇ 윤리위원장 : 송석랑
◇ 윤 리 위 원 :

서정일(목원대), 서태원(목원대), 심영옥(경희대), 유경아(목원대)
이아람찬(목원대), 이희성(단국대), 장영란(한국외대), 최혜진(목원대)

◇ 표지디자인 : 현승훈