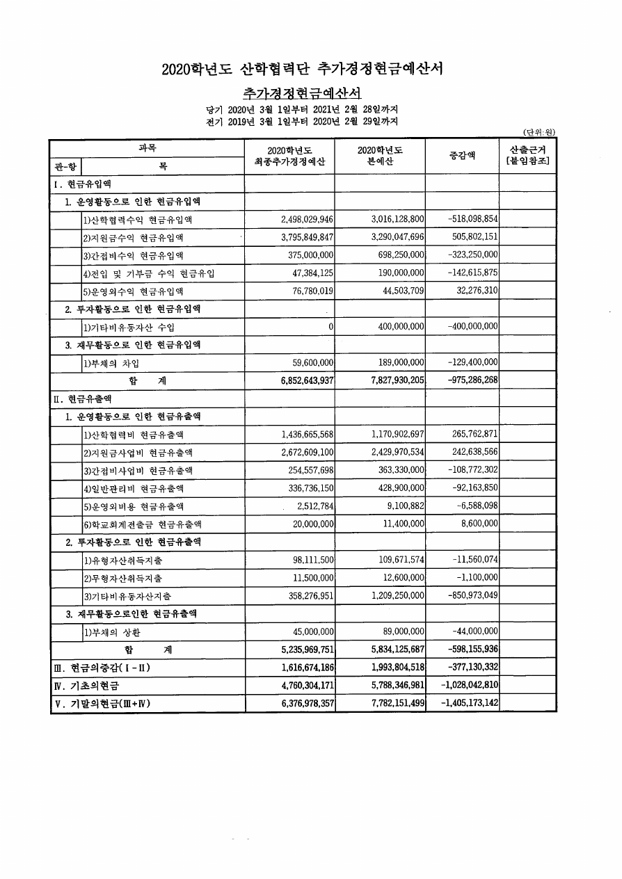
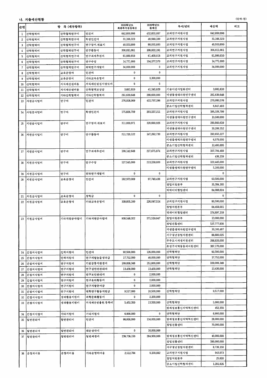
PDF문서2020회계연도 산학협력단 추가경정현금.pdf

닫기

background image

background image

background image

background image

background image

background image

background image

background image